САНКТ-ПЕТЕРБУРГСКИЙ ГОСУДАРСТВЕННЫЙ ТЕХНОЛОГИЧЕСКИЙ УНИВЕРСИТЕТ РАСТИТЕЛЬНЫХ
ПОЛИМЕРОВ
ОТЧЕТ ПО ИНЖЕНЕРНОЙ ПРАКТИКЕ
Биоактивные производные хитозана
ПРОВЕРИЛ: С.Н.С.,
K
.Х.
H
.
ЛЮДМИЛА АЛЕКСАНДРОВНА НУДЬГА
Институт высокомолекулярных соединений Российской академии наук
ВЫПОЛНИЛ: СТ. ГР. 1
56
ЕКИМОВ АЛЕКСАНДР ВЛАДИМИРОВИЧ
САНКТ-ПЕТЕРБУРГ 2004
1 Вступление
1.1 Хитозан – природный полимер XXI века
Уникальные свойства хитина и хитозана привлекают внимание большого числа специалистов самых разных специальностей. Роль полимеров в нашей жизни является общепризнанной, и все области их применения в быту, промышленном производстве, науке, медицине, культуре трудно даже просто перечислить. Если до XX века человеком использовались полимеры природного происхождения – крахмал, целлюлоза (дерево, хлопок, лен), природные полиамиды (шелк), природные полимерные смолы на основе изопрена – каучук, гуттаперча, то развитие химии органического синтеза в XX веке привело к появлению в различных областях деятельности человека огромного разнообразия полимеров синтетического происхождения – пластмасс, синтетических волокон и т.п. Происшедший технологический прорыв не только кардинально изменил нашу жизнь, но и породил массу проблем, связанных с охраной здоровья человека и защитой окружающей среды.
Поэтому закономерным является большой интерес науки и промышленности к поиску и использованию полимеров природного происхождения, таких как хитин и хитозан. Эти полимеры обладают рядом интереснейших свойств, высокой биологической активностью и совместимостью с тканями человека, животных и растений, не загрязняют окружающую среду, поскольку полностью разрушаются ферментами микроорганизмов, могут широко применяться в проведении природоохранных мероприятий.
В настоящее время известно более 70 направлений использования хитина и хитозана в различных отраслях промышленности, наиболее важными из которых во всем мире признаны:
медицина – в качестве средства борьбы с ожирением, связывания и выведения из организма холестерина, профилактики и лечения сердечно-сосудистых заболеваний, производства хирургических нитей, искусственной кожи, лекарственных форм антисклеротического, антикоагулянтного и антиартрозного действия, диагностики и лечения злокачественных опухолей и язвы желудка;
Забиваем Сайты В ТОП КУВАЛДОЙ - Уникальные возможности от SeoHammer
Каждая ссылка анализируется по трем пакетам оценки: SEO, Трафик и SMM.
SeoHammer делает продвижение сайта прозрачным и простым занятием.
Ссылки, вечные ссылки, статьи, упоминания, пресс-релизы - используйте по максимуму потенциал SeoHammer для продвижения вашего сайта.
Что умеет делать SeoHammer
— Продвижение в один клик, интеллектуальный подбор запросов, покупка самых лучших ссылок с высокой степенью качества у лучших бирж ссылок.
— Регулярная проверка качества ссылок по более чем 100 показателям и ежедневный пересчет показателей качества проекта.
— Все известные форматы ссылок: арендные ссылки, вечные ссылки, публикации (упоминания, мнения, отзывы, статьи, пресс-релизы).
— SeoHammer покажет, где рост или падение, а также запросы, на которые нужно обратить внимание.
SeoHammer еще предоставляет технологию Буст, она ускоряет продвижение в десятки раз,
а первые результаты появляются уже в течение первых 7 дней.
Зарегистрироваться и Начать продвижение
пищевая промышленность – в качестве загустителя и структурообразователя для продуктов диетического питания.
1.2 История создания и применения хитозана
Полимеры этой группы заинтересовали ученых-химиков почти 200 лет назад. Хитин был открыт в 1811 году (H. Braconnot, A. Odier), а хитозан в 1859 году (С. Rouget), хотя свое нынешнее название получил в 1894 году (F. Hoppe-Seyler). В первой половине XX века к хитину и его производным был проявлен заслуженный интерес, в частности, к нему имели отношение три Нобелевских лауреата: Е. Fischer (1903) cинтезировал глюкозамин, P. Karrer (1929) провел деградацию хитина с помощью хитиназ и, наконец, W.N. Haworth (1939) установил абсолютную конфигурацию глюкозамина.
Биологически активные свойства хитина и его производного – хитозана - начали изучаться в 1940-50 годах. В Советском Союзе эти исследования проводились учреждениями Министерства обороны и имели закрытый характер. Последнее было связано со способностью хитозана эффективно связывать радиоактивные изотопы и тяжелые металлы, поэтому хитозан исследовался прежде всего как эффективный радиопротектор и детоксикант, а также исследовались возможности применения его для дезактивации объектов, подвергавшихся радиоактивному заражению.
Новый всплеск интереса к производным хитина и, в частности, хитозану произошел в 70-е годы, когда результаты исследований этих соединений начали появляться в открытой печати. Проведенные во всем мире исследования показали уникальные сорбционные свойства хитозана. Обнаружилось отсутствие выраженной субстратной специфичности этого вещества, что означает примерно одинаковую способность связывать как гидрофильные, так и гидрофобные соединения. Кроме того, у хитозана были обнаружены ионообменные, хелатообразующие и комплексообразующие свойства. В дальнейших исследованиях была показана антибактериальная, антивирусная и иммуностимулирующая активность. Комплексные формы хитозана также проявляют высокие антиоксидантные свойства, что нашло свое применение в лечении заболеваний желудочно-кишечного тракта, в лечении механической и ожоговой травмы.
О большом интересе к проблемам изучения этих биополимеров, технологии их получения и использования свидетельствуют восемь международных конференций по хитину и хитозану, проведенных за последние 27 лет: США (1977), Япония (1982), Италия (1985), Норвегия (1988), США (1991), Польша (1994), Франция (1997)
Сервис онлайн-записи на собственном Telegram-боте
Попробуйте сервис онлайн-записи VisitTime на основе вашего собственного Telegram-бота:
— Разгрузит мастера, специалиста или компанию;
— Позволит гибко управлять расписанием и загрузкой;
— Разошлет оповещения о новых услугах или акциях;
— Позволит принять оплату на карту/кошелек/счет;
— Позволит записываться на групповые и персональные посещения;
— Поможет получить от клиента отзывы о визите к вам;
— Включает в себя сервис чаевых.
Для новых пользователей первый месяц бесплатно.
Зарегистрироваться в сервисе
В России за прошедшие годы хитину и хитозану были посвящены семь конференций: Владивосток (1983), Мурманск (1987), Москва (1991, 1995, 1999 и 2001), Санкт-Петербург 2003, из которых две последних имели статус международных. Весной 2000 года было создано Российское Хитиновое Общество, объединившее более 50 региональных отделений.
Все это говорит о нарастающем интересе к хитину и хитозану не только химиков, но и специалистов самого разного профиля – медиков, биологов, микробиологов и биотехнологов.
1.3 Химическое строение и свойства хитина и хитозана
Хитин является главным компонентом панцирей ракообразных и насекомых. По химической структуре он относится к полисахаридам, мономером хитина является N-ацетил-1,4-β-D-глюкопиранозамин (рис. 1).

Рис. 1 Химическая структура хитина.
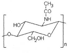
При деацетилировании хитина получается хитозан.По химической структуре хитозан является сополимером D-глюкозамина и N-ацетил-D-глюкозамина. В зависимости от эффективности реакции деацетилирования получаются хитозаны с различной степенью деацетилирования . Степень деацетилирования показывает процентное содержание D-глюкозамина в молекуле хитозана, т.е. если речь идет о хитозане со степенью деацетилирования 85%, то это означает, что в молекуле хитозана в среднем содержится 85% D- глюкозаминовых остатков и 15% N-ацетил-D-глюкозаминовых остатков.

Рис.2 Химическая структура хитозана.
Химические свойства хитозана связаны с его химической структурой. Большое количество свободных аминогрупп в молекуле хитозана определяет его свойство связывать ионы водорода и приобретать избыточный положительный заряд, поэтому хитозан является прекрасным катионитом. Кроме того, свободные аминогруппы определяют хелатообразующие и комплексообразующие свойства хитозана. Химическая структура хитозана показана на рис.2. Сказанноеобъясняетспособность хитозана связывать и прочно удерживать ионы металлов (в частности радиоактивных изотопов и токсичных элементов) за счет разнообразных химических и электростатических взаимодействий.
Большое количество водородных связей, которые способен образовать хитозан, определяют его способность связывать большое количество органических водорастворимых веществ, в том числе бактериальные токсины и токсины, образующиеся в толстом кишечнике в процессе пищеварения.
С другой стороны, обилие водородных связей между молекулами хитозана приводит к его плохой растворимости в воде, поскольку связи между молекулами хитозана более прочные, чем между молекулами хитозана и молекулами воды. Вместе с тем, хитозан набухает и растворяется в органических кислотах – уксусной, лимонной, щавелевой, янтарной, причем при набухании он способен прочно удерживать в своей структуре растворитель, а также растворенные и взвешенные в нем вещества Хитозан также способен связывать предельные углеводороды, жиры и жирорастворимые соединенияза счет гидрофобных взаимодействий и сетчатой структуры, что сближает его по сорбционным механизмам с циклодекстринами.
Расщепление хитина и хитозана до N-ацетил-D-глюкозамина и D-глюкозамина происходит под действием микробных ферментов – хитиназ и хитобиаз, поэтому они полностью биологически разрушаемы и не загрязняют окружающую среду.
Таким образом, хитозан является универсальным сорбентом, способным связывать огромный спектр веществ органической и неорганической природы, что определяет широчайшие возможности его применения в жизни человека.
Несмотря на огромную литературу о связи сорбционных свойств хитозана с его химической структурой, нельзя сказать, что исследования в области химии хитина/хитозана близки к завершению. Постоянно открываемые новые свойства этого вещества, в частности, обнаруженная биологическая активность еще не получила должного объяснения с точки зрения химической структуры. Имеющиеся данные, что характер биологической активности хитозана зависит от его молекулярного веса и степени деацетилирования, нуждаются в дальнейшей проверке и изучении. Этот обзор является тем более актуальным, что выяснение связи химического строения и биологической активности позволит создавать вещества, сохраняющие известные свойства хитозана и обладающие новыми полезными качествами.
2. Биоактивные производные хитозана
2.1 Противобактериальное действие четвертичных аммониевых солей хитозана
Производные соединения хитозана, такие как N,N,N-триметил хитозан, N-N-пропил-N,N-диметил хитозан и N-фурфурил-N,N-диметил хитозан были получены при использовании в качестве исходного продукта хитозана со степенью деацетилирования 96% и следующими молекулярными массами - 2,14·105
; 1,9·104
; 7,8·103
. Аминогруппы хитозана реагируют с альдегидами, образуя промежуточное соединение - основание Шиффа. Четвертичные соли хитозана были получены при реакции основания Шиффа с йодистым метилом. На степень превращения в четвертичное соединение и водорастворимость получившегося производного влияла молекулярная масса исходного образца хитозана. [1]
Хотя хитина в природе много, он имеет ограниченное применение из-за его недостаточной растворимости и реакционной способности. Хитозан растворим уксусной кислоте и других органических растворителях. [2] Хитозан обладает некоторым бактерицидным и фунгицидным действием. Однако хитозан показывает свою биологическую активность только в кислой среде, так как он плохо растворяется при pH выше 6,5. Таким образом, водорастворимые производные хитозана, которые растворяются в кислоте, могут иметь хорошие шансы быть внедренными в медицинскую практику как антибактериальные средства.
Четвертичные аммониевые соли хитозана были исследованы на предмет увеличения растворимости. Опубликована информация о синтезе N-диметилхитозана и получении N-триметилхитозана йодида с формальдегидом и боргидридом натрия. Триметилхитозан йодид аммония был также получен реакцией низкоацетилированного хитозана с йодистым метилом и гидроксидом натрия при контролируемых условиях. N-алкил хитозан был приготовлен введением алкильной группы в аминные группы хитозана (Mv
7,25·105
) через основание Шиффа. Для получения четвертичной аммониевой соли хитозана, которая растворяется в воде, была проведена реакция производных N-алкил хитозана с йодистым метилом (рис. 3). Антибактериальное действие данного производного хитозана усиливалось с увеличением длины цепи алкильного заместителя.

Рис.3 Синтез N-триметилхитозана йодида
Было исследовано влияние молекулярной массы на антибактериальную и фунгицидную активность. При выявлении противобактериального действия четвертичного производного хитозана против Escherichia coli
определяли минимальную ингибирующую концентрацию (МИК) и минимальную бактерицидную концентрацию (МБК) в воде, 0,25% и 0,5% среде уксусной кислоты. Результаты показывают, что антибактериальная активность против Escherichia coli
связана с молекулярной массой. Антибактериальная активность четвертичных аммониевых солей хитозана в среде уксусной кислоты более выражена, чем в воде. Их противобактериальное действие тем более выраженное, чем выше концентрация уксусной кислоты. Так же было найдено – бактерицидное действие производного сильнее, чем хитозана. [1]
Хитозан с молекулярной массой в пределах от10000 до 100000 может быть полезен для ограничения роста бактерий. Хитозан кальмара с молекулярной массой 220000 проявляет наибольшую противобактериальную активность. Хитозан со средней молекулярной массой 9300 эффективен для ограничения роста Escherichia coli
, в то время как хитозан с молекулярной массой 2200 ускорял рост численности бактерий. [1]
В отечественной литературе есть информация о синтезе четвертичных аммониевых соединений хитозана с применением органических оснований, и исследования, посвященные свойствам полученных соединений Для синтеза применялись перегнанные сухие метил- и этилиодид. Иодистоводородную кислоту, образующуюся во время реакции, связывали органическими основаниями: пиридином, 2,4-лутидином, 2,4,6-коллидином и триэтиламином. Полученное соединение выделяли из реакционной смеси фильтрованием, отмывали метанолом, сушили.
Было установлено, что рКа
хитозана 6.30. Был сделан вывод, что повышение степени N-алкилирования будет наблюдаться при использовании оснований с рКа
> 6.30. Опыты показали, что наиболее глубоко реакция идет в присутствии триэтиламина, рКа
которого гораздо выше, чем у хитозана. Установлено, что N-триметил- и N-триэтилхитозаны являются полиэлектролитами и их основность увеличивается с ростом степени замещения. [4]
2.2 Лечение ран с применением
N-карбоксибутил хитозана
У больных, перенесших восстановительную хирургию, донорские участки лечились мягкими прокладками N-карбоксибутилхитозана. При сравнении с контрольными донорскими участками была обнаружена лучшая васкуляризация и отсутствие воспалительных клеток на кожном уровне. Применение N-карбоксибутилхитозана приводило к формированию регулярно организованной кожной ткани и уменьшало аномальное заживление. [2]
Одно из преимуществ N-карбоксибутил хитозана при заживлении ран - обеспечение гелеподобного слоя при контакте с раневыми жидкостями. Данный слой обеспечивает превосходную защиту недавно сформированных тканей от механических повреждений. Внешняя поверхность прокладки принимала вид корки и обеспечивала защиту против вторичных инфекций ввиду бактерицидности полимера. В течение периода заживления форма раны сохранялась, хотя её размер уменьшался быстро и без осложнений, в противоположность контрольным группам. В контрольных группах форма раны была вскоре потеряна после традиционного лечения. [2]
В ранних стадиях восстановления ткани N-карбоксибутил хитозан способствует формированию свободной соединительной ткани, а не больших и плотных волоконных связок, облегчая тем самым диффузию. Соединительная ткань регулярно и надлежащим образом структурирована, без значительных рубцов и обладает хорошей функциональностью т.е. прочностью при растяжении. При образовании эпителия трехмерная решетка является очень важной составляющей. N-карбоксибутил обеспечивает такую решетку и возможно модулирует образование эпителия.
Таким образом N-карбоксибутил хитозан может классифицироваться как новый тип биологически активных перевязочных средств.
3.
Библиография
1. Zhichen Jia, Dondfeng shen, Weiliang Xu// Synthesis and antibacterial activities of quaternary ammonium salt of chitosan// Carbohydrate research 2001, p. 1-6.
2. Graziella Biagini, Aldo Bertani e.t.c.// Wound managment with N-carboxybutil chitosan// Biomaterials 1991, Vol. 12, April, p. 281-285.
3. Hioshi Sashiwa, Norioki Kawasaki e.t.c.// Chemical modifications of chitosan. Part 15 // Carbohydrate research 2003.
4. Л. А. Нудьга, Е. А. Плиско, С. Н. Данилов // N-алкилирование хитозана// Журнал общей химии 1973, том XLIII, с. 2756-2760.
5. Internet
Содержание
1 Вступление.. 2
1.1 Хитозан – природный полимер XXI века.. 2
1.2 История создания и применения хитозана.. 3
1.3 Химическое строение и свойства хитина и хитозана.. 4
2. Биоактивные производные хитозана.. 7
2.1 Противобактериальное действие четвертичных аммониевых солей хитозана.. 7
2.2 Лечение ран с применением N-карбоксибутил хитозана.. 10
3. Библиография.. 11
|