План
1.1 Роль семейных отношений в формировании коммуникативных качеств подростков.
1.2. Психологическая характеристика группы и коллектива.
1.2.1. Социально-психологическая характеристика групп.
1.2.2 Социальная коллективность. Отношения между индивидом и группой.
1.2.3 Понятие “самооценка”.
1.3 Психологическая характеристика и особенности межличностных взаимоотношений детей подросткового возраста.
2.1 Описание практической части.
Заключение
Приложение
Введение
Будет неправильным рассмотрение становления личности индивида в отрыве от общества, в котором он живет, от системы отношений в которые он включается. По словам К. Маркса, общество "не состоит из индивидов, а выражает сумму тех связей и отношений, в которых эти индивиды находятся друг к другу". Природа межличностных отношений сложна. В них проявляются как сугубо индивидуальные качества личности – её эмоциональные и волевые свойства, интеллектуальные возможности, так и усвоенные личностью нормы и ценности общества. Вступая в межличностные отношения самых разнообразных по форме, содержанию, ценностям, структуре человеческих общностях – в детском саду, в классе, в дружеском кругу, в различного рода формальных и неформальных объединениях, - индивид проявляет себя как личность и представляет возможность оценить себя в системе отношений с другими. Анализ социальной ситуации развития позволяет раскрыть содержание межличностных отношений в детских группах. В детских и подростковых группах могут быть выделены функционально – ролевые, эмоционально – оценочные и личностно – смысловые отношения между сверстниками.
В последнее время, с притоком новых социальных взглядов, когда многое меняется и нажитое за последние десятилетия переходит в небытие необходимо находить новые цели, новые способы деятельности, которые бы давали нам больше, позволяли бы более продуктивно работать в новой сложившейся ситуации. Отход от тоталитарного общества и попытки прийти к более демократичному укладу жизни требует от нас пересмотра многих аспектов окружающей нас действительности.
В данной работе планируется подойти к решению некоторых из обозначенных проблем и оказать реальную помощь в которой нуждается практика современной общеобразовательной школы.
Забиваем Сайты В ТОП КУВАЛДОЙ - Уникальные возможности от SeoHammer
Каждая ссылка анализируется по трем пакетам оценки: SEO, Трафик и SMM.
SeoHammer делает продвижение сайта прозрачным и простым занятием.
Ссылки, вечные ссылки, статьи, упоминания, пресс-релизы - используйте по максимуму потенциал SeoHammer для продвижения вашего сайта.
Что умеет делать SeoHammer
— Продвижение в один клик, интеллектуальный подбор запросов, покупка самых лучших ссылок с высокой степенью качества у лучших бирж ссылок.
— Регулярная проверка качества ссылок по более чем 100 показателям и ежедневный пересчет показателей качества проекта.
— Все известные форматы ссылок: арендные ссылки, вечные ссылки, публикации (упоминания, мнения, отзывы, статьи, пресс-релизы).
— SeoHammer покажет, где рост или падение, а также запросы, на которые нужно обратить внимание.
SeoHammer еще предоставляет технологию Буст, она ускоряет продвижение в десятки раз,
а первые результаты появляются уже в течение первых 7 дней.
Зарегистрироваться и Начать продвижение
Цель работы: изучить влияние статусного положения ребенка в группе на формирование уровня его самооценки.
В данной работе нами решались следующие задачи:
1) Проанализировать литературные источники по данной проблеме.
2) Рассмотреть формы организации общения в подростковой среде.
3) На основе анализа источников построить схему исследования межличностных отношений и самооценки детей подросткового возраста.
4) Подготовить и провести необходимые исследования, позволяющие подтвердить или опровергнуть гипотезу.
Гипотеза: чем выше статус ребёнка в группе, тем выше его самооценка
Предмет исследования: межличностные отношения в коллективе подростков.
Объект исследования:
1.1 Роль семейных отношений в формировании
коммуникативных качеств подростков.
Мы хотим кратко рассмотреть влияние семейных отношений в
формировании коммуникативных качеств подростка.
Одной из самых главных особенностей подросткового возраста - смена авторитетов и перестройка взаимоотношений со взрослыми.
Ребенок принимает различие двух миров - детского и взрослого - и то, что отношения между ними неравноправны, как нечто бесспорное, само собой разумеющееся. Подростки стоят где-то "посередине", и эта промежуточность положения определяет многие свойства их психологии, включая и самосознание.
Французскими психологами (Б. Заззо, 1969) был поведён опрос детей от 5 до 14 лет, на предмет того, считают ли они себя "маленькими", "большими" или "средними" (не по росту, а по возрасту); при этом выяснилась эволюция самих эталонов "роста". Дошкольники часто сравнивают себя с младшими и потому утверждают, что они "большие".
Школьный возраст дает ребенку готовый количественный эталон сравнения - переход из класса в класс; большинство детей считают себя "средними", с отклонениями преимущественно в сторону " большого ".С 11 до 12 лет точка отсчета меняется; ее эталоном все чаще становиться взрослый, "расти" - значит становиться взрослым.
Советские психологи, начиная с Л. С. Выготского, чувство взрослости считают главным новообразованием подросткового возраста, но попытка сравнения себя со взрослыми и ориентация на их ценности показывает ребенку его несамостоятельность. Однако он не считает такое положение нормальным, стремясь его преодолеть. Отсюда противоречивость чувства взрослости - подросток претендует быть взрослым и в то же время знает, что уровень его притязаний далеко не во всем подтвержден и оправдан.
Сервис онлайн-записи на собственном Telegram-боте
Попробуйте сервис онлайн-записи VisitTime на основе вашего собственного Telegram-бота:
— Разгрузит мастера, специалиста или компанию;
— Позволит гибко управлять расписанием и загрузкой;
— Разошлет оповещения о новых услугах или акциях;
— Позволит принять оплату на карту/кошелек/счет;
— Позволит записываться на групповые и персональные посещения;
— Поможет получить от клиента отзывы о визите к вам;
— Включает в себя сервис чаевых.
Для новых пользователей первый месяц бесплатно.
Зарегистрироваться в сервисе
В дальнейшем нами будет рассмотрены способы, которыми дети пытаются показать или доказать себе свою взрослость.
Главной потребностью переходного возраста как раз и является это
«достижение» взрослости и освобождение от опеки и правил родителей.
Из всех факторов социализации самым важным и влиятельным была и остается родительская семья как первичная ячейка общества, влияние семьи ребёнок испытывает с самого раннего возраста, когда он наиболее восприимчив. Семейные условия, включая социальное положение, род занятий, материальный уровень и уровень образования родителей, в значительной мере предопределяют жизненный путь ребенка. Кроме сознательного, целенаправленного воспитания, которое дают ему родители, на ребенка воздействует вся внутрисемейная атмосфера, причем эффект этого воздействия накапливается с возрастом, преломляясь в структуре личности.
По данным ленинградского социолога Э. К. Васильевой (1975), у родителей с высшим образованием доля детей с высокой успеваемостью (средний балл выше 4) втрое выше, чем в группе семей с образованием родителей ниже семи классов. Эта тенденция сохраняется и в старших классах, хотя дети уже имеют навык самостоятельной работы.
Следующий важный фактор – это атмосфера семейных отношений.
Неблагоприятные семейные условия характерны для подавляющего большинства так называемых трудных подростков.
Значительное влияние на личность подростка оказывает стиль его взаимоотношений с родителями, который лишь отчасти обусловлен их социальным положением.
Родители влияют на своих детей посредством нескольких механизмов. Во-первых, подкрепление: поощрение поступков ребёнка, которые родители читают правильными и наказание в противном случае. Родители внедряют в сознание ребенка определенную систему норм, соблюдение которых постепенно становиться для ребенка привычкой и внутренней потребностью. Во-вторых, идентификация: подражание своим родителям, стремясь стать такими как они. В-третьих, понимание: зная внутренний мир ребенка и чутко откликаясь на его проблемы, родители тем самым формируют его самосознание и коммуникативные качества.
Семейная социализация не сводиться к непосредственному «парному» взаимодействию ребенку с родителями. Так, эффект идентификации может быть нейтрализован встречной ролевой взаимопомощи: например, в семье, где оба родителя хорошо ведут своё хозяйство, ребёнок может и не выработать подобных навыков, хотя у него перед глазами хороший образец. Семья не нуждается в проявлении этих качеств и не требует от ребёнка этого; напротив, в семье, где мать бесхозяйственна, эту роль может взять на себя старшая дочь. Не менее важен механизм психологического противодействия: юноша, чья свобода резко ограничена, как правило вырабатывает повышенную тягу к самостоятельности, а тот, кому все разрешают, вырасти зависимым. Поэтому конкретные свойства личности ребенка в принципе невыводимы ни из свойств его родителей (ни по сходству, ни по контрасту), ни из отдельно взятых методов воспитания (Д. Баумринд, 1975).
Вместе с тем весьма важны эмоциональный тон семейных взаимоотношений и преобладающий в семье тип контроля и дисциплины.
Эмоциональный тон отношений между родителями и детьми психологи представляют в виде шкалы, на одном полюсе которой стоят максимально близкие, теплые, доброжелательные отношения (родительская любовь), а на другом - далекие, холодные и враждебные. В первом случае основными средствами воспитания являются внимание и поощрение, во втором - строгость и наказание. Множество исследований доказывают преимущества первого подхода. Ребёнок, который в детстве был лишён родительской любви и внимания вырастает с низкой самооценкой и недоверчивостью к людям. Изучение юношей и взрослых, страдающих психофизиологическими и психосоматическими нарушениями, невротическими расстройствами, трудностями в общении, умственной деятельности или учебе, показывает, что все эти явления значительно чаще наблюдаются у тех, кому в детстве недоставало родительского внимания и тепла. Недоброжелательность или невнимание со стороны родителей вызывает неосознанную взаимную враждебность у детей. Эта враждебность может проявляться как явно, по отношению к самим родителям, так и скрытно. Безотчетная, немотивированная жестокость, проявляемая некоторыми подростками и юношами по отношению к посторонним людям, не сделавшим им ничего плохого, нередко оказывается следствием детских переживаний. Если же эта бессильная агрессия направляется внутрь, она дает низкое самоуважение, чувства вины, тревоги и т.д.
Таким образом, вырастает индивид, как правило потерянный для общества, его недоверчивость может подкрепляться фобиями, если же психика достаточно сильна, то в ответную реакцию на стрессы проявляется пограничная шизофрения (отсутствие основных или же всех чувств и эмоций) .
Эмоциональный тон семейного воспитания существует не сам по себе, а в связи с определенным типом контроля и дисциплины, направленных на формирование соответствующих черт характера. Разные способы родительского контроля также можно представить в виде шкалы, на одном полюсе которой высокая активность, самостоятельность и инициатива ребенка, а на другом - пассивность, зависимость, слепое послушание (Г. Элдер, 1971) .
За этими типами отношений стоит не только распределение власти, но и разное направление внутрисемейной коммуникации: в одних случаях коммуникация направлена преимущественно или исключительно от родителей к ребенку, в других - от ребенка к родителям.
Разумеется, способы принятия решений в большинстве семей варьируют в зависимости от предмета: в одних вопросах старшеклассники имеют почти полную самостоятельность, в других (например, в финансовых) - право решать остается за родителями. Кроме того, родители не всегда практикуют один и тот же стиль дисциплины: отцы, как правило, воспринимаются юношами и на самом деле бывают более жесткими и авторитарными, чем матери, так что общий семейный стиль в известной мере компромиссный. Отец и мать могут взаимно дополнять, а могут и подрывать влияние друг друга.
Наилучшие взаимоотношения старшеклассников с родителями складываются обычно тогда, когда родители придерживаются демократического стиля воспитания.
Этот стиль в наибольшей степени способствует воспитанию самостоятельности, активности, инициативы и социальной ответственности. Поведение ребенка направляется в этом случае последовательно и вместе с тем гибко и рационально: родитель всегда объясняет мотивы своих требований и поощряет их обсуждение подростком; власть используется лишь в меру необходимости; в ребенке цениться как послушание, так и независимость; родитель устанавливает правила и твердо проводит их в жизнь, но не считает себя непогрешимым; он прислушивается к мнениям ребенка, но не исходит только из его желаний.
1.2. Характеристика группы и коллектива.
1.2.2 Социальная коллективность. Отношения между индивидом и группой.
Коллектив – высшая форма развития малой группы. Существуют различные формы коллективных отношений, которые проходят определенные этапы своего развития. Развитие коллектива проходит через следующий ряд этапов: номинальная группа, группа-ассоциация, группа-кооперация.
От кооперации до коллектива группа проходит уровень автономизации, для которого характерно довольно высокое внутреннее единство по всем общим качествам, кроме интергрупповой активности. Именно на этом уровне члены группы идентифицируют себя с ней (моя группа). Однако группа-автономия может уйти в сторону от коллектива. Возможно развитие группы в отрицательном направлении, когда развитие группы приводит ее к положению замкнутой из вне группы, но отличающейся внутригрупповой антипатией, межличностным эгоцентризмом и эгоизмом, агрессивностью.
Социальная коллективность заключается в том, что, объединяя людей общими социальными и производственными интересами, она ставит высшей своей целью создание условий для раскрытия индивидуальности каждого члена общества и отвечает за реализацию полноценного развития личности. Термин “ Социальная психология” так обозначен Л.С. Выготским: Психология, исследующая социальную обусловленность психики отдельного человека”. “Коллективная” психология в его понятии, совпадает с традиционным “Все в нас социально, но это не означает, что все свойства психики отдельного человека присуще всем другим членам данной группы” [1,128]. В результате развития своих членов развивается и сам коллектив: чем ярче и богаче индивидуальность, выше уровень развития каждого члена коллектива, тем более дееспособным, человечным в общественном своем качестве является и коллектив в целом. Суть социального коллективизма не сводится к совместной деятельности для достижения общей цели. И даже не сводится к умению жить сообща, вместе решая все вопросы. Состояние и зрелость социальной коллективности определяется тем, насколько социальное, общественное прониклось личным, индивидуальным интересом.
Любое взаимодействие людей, даже при минимальном их количестве, начинается с распределения функций. Без этого не возможно существование группы как единого целого. Группа может быть понята через личность, так как человеческая личность является главным материалом для ее создания. А.В. Петровский [9,112] считает при классификации групп определять степень их развития, учитывая характер межличностных отношений, формирующихся в зависимости от ценностно-ориентационного единства группы (оптимальное совпадение целей, связывающих личность, группу, общество).
Иерархия реальных контактных групп может быть представлена следующим образом:
Диффузная группа - в ней взаимоотношения опосредуются не содержанием групповой деятельности, а только симпатиями и антипатиями.
Ассоциация - группа, в которой взаимоотношения опосредуются только личностно значимыми целями.
Корпорация - взаимоотношения опосредуются личностно значимыми, но ассоциальным по своим установкам содержанием групповой деятельности.
Коллектив - взаимодействия опосредуются личностнозначимым и общественно ценным содержанием групповой деятельности (бригада, экипаж, расчет).
В них оптимально могут сочетаться личные, коллективные и общественные цели и ценности. До сих пор мы исходили из того, что группа в целом ставит своей задачей достижение максимального сближения во взглядах и выборах, стремясь выработать общую позицию. Однако нам известно, что это предположение верно лишь от части. В действительности при множестве разных обстоятельств и особенно, если требуется изменение, происходит обратное: преобладает напряжение и расхождение во мнениях. Значительное число социальных установок человека имеет отношение к одной или нескольким социальным группам или связаны с ними. Характер этой связи не является простым, ясным. С одной стороны - установки человека связаны с социальными установками, обычно проявляющимися в группах, к которым он принадлежит. С другой стороны - изменение влияния престижа, лидерства мнений, отвержение членских групп теми кто занимает в них низкий статус, а также влияние внешних групп на уровень притязаний показывает, что социальные установки часто бывают связаны с нечленскими группами.
Как признание этого факта - термин “референтная группа”, впервые употребленный Хаймоном, стал использоваться для обозначения любой группы, с которой индивид соотносит установки. Одновременно стала развиваться общая теория референтных групп. Это понятие используется для обозначения двух видов отношений между индивидом и группой [14].
Замечена закономерность: чем ближе по уровню своего развития группа находится к коллективу, тем более благоприятные условия она создает для проявления лучших сторон личности и торможения того, что в ней есть худшего. И напротив, чем дальше группа по уровню своего развития отстоит от коллектива, (а ближе к корпорации), тем больше возможности она представляет для проявления в системе взаимоотношений худших сторон личности с одновременным торможением лучших устремлений.
1.2.3 Понятие “самооценка”.
Самооценка – это оценка личностью самой себя, своих возможностей, способностей, качеств и места среди других людей. Самооценка относится к фундаментальным образованиям личности. Она в значительной степени определяет ее активность, отношение к себе и другим людям [4,24].
Различают общую и частную самооценку. Частной самооценкой будет, например, оценка своей внешности, различных черт характера. В общей, или глобальной самооценке отражается одобрение или неодобрение, которое переживает человек по отношению к самому себе.
Человек может оценивать себя адекватно и неадекватно (завышать либо занижать свои успехи, достижения). Самооценка может быть высокой и низкой, различаться по степени устойчивости, самостоятельности, критичности.
Процесс формирования глобальной самооценки противоречив и неравномерен. Это обусловлено тем, что частные оценки, на основе которых формируется глобальная самооценка, могут находится на разных уровнях устойчивости и адекватности. Кроме того, они могут по-разному взаимодействовать между собой: быть согласованными, взаимно дополнять друг друга или противоречивыми, конфликтными. В глобальной самооценке отражается сущность личности.
Итоговым измерением Я, формой существования глобальной самооценки является самоуважение личности. Самоуважение — устойчивая личностная черта, и поддержание его на определенном уровне составляет важную заботу личности. Самоуважение личности определяется отношением ее действительных достижений к тому, на что человек претендует какие цели перед собой ставит.
Совокупность таких целей образует уровень притязаний личности. В его основе лежит такая самооценка, сохранение которой стало для личности потребностью. Уровень притязаний – это тот практический результат, которого субъект рассчитывает достичь в работе. В своей практической деятельности человек обычно стремится к достижению таких результатов, которые согласуются с его самооценкой, способствуют ее укреплению, нормализации. Как фактор, определяющий удовлетворенность или неудовлетворенность деятельностью, уровень притязаний имеет большое значение для лиц, ориентированных на избежание неудач, а не на достижение успехов. Существенные изменения в самооценке появляются в том случае, когда сами успехи или неудачи связываются субъектом деятельности с наличием или отсутствием у него необходимых способностей.
Следовательно, функции самооценки и самоуважения психической жизни личности состоят в том, что они выступаю внутренними условиями регуляции поведения и деятельности человека. Благодаря включению самооценки в структуру мотивации деятельности личность постоянно соотносит свои возможности, психические ресурсы с целями и средствами деятельности.
Знания, накопленные человеком о самом себе, а также глобальная самооценка, формирующаяся на основе таких знаний, позволяют сформировать многомерное образование, которое называется «Я – концепцией» и составляет ядро личности. Я - концепция — это более или менее осознанная, переживаемая как неповторимая система представлений человека о себе, на основе которой он строит взаимодействие с другими людьми, осуществляет регуляцию своего поведения и деятельности.
Таким образом, важнейший компонент целостного самосознания личности, каким является самооценка, выступает необходимым условием гармонических отношении человека как с самим собой, так и с другими людьми, с которыми он вступает в общение и взаимодействие.
Самооценка-отношение человека к своим способностям, возможностям, личностным качествам, а также к внешнему облику. Она может быть правильной (адекватной), когда мнение человека о себе совпадает с тем, что он в действительности собой представляет. В тех же случаях, когда человек оценивает себя не объективно, когда его мнение о себе резко расходится с тем, каким его считают другие, самооценка чаще всего бывает неадекватной.
Если человек недооценивает себя по сравнению с тем, что он в действительности есть, то у него самооценка заниженная. В противном же случае самооценка у него завышена.
Неадекватная самооценка осложняет жизнь не только тех, кому она свойственна, но и окружающих. Конфликтные ситуации, в которых оказывается человек, очень часто являются следствием его неправильной самооценки.
Знать самооценку человека очень важно для установления отношений с ним, для нормального общения.
Самооценка является сложным личностным образованием. В ней отражается то, что человек узнает о себе от других, и его собственная активность, направленная на осознание своих действий и личностных качеств.
1.3. Психологическая характеристика и особенности межличностных взаимоотношений детей подросткового возраста.
Межличностные отношения ребенка со сверстниками, возникающие стихийно или организуемые взрослыми, имеют отчетливо выраженные возрастные социально – психологические характеристики.
Фаза индивидуализации, характеризуется уточнением и развитием представлений о самом себе – формированием образа "Я". По сравнению с начальной школой у детей интенсивно развивается самосознание, расширяются контакты со сверстниками. Участие в работе различных общественных организаций, кружков по интересам, спортивных секций выводит подростка на орбиту широких социальных связей. Развитие ролевых отношений сочетается с интенсивным формированием личностных взаимоотношений, которые с этого времени приобретают особо важное значение.
Взаимоотношения со сверстниками становятся более избирательными и стабильными. При сохранении высоко ценимых свойств "хорошего товарища" повышается роль нравственного компонента во взаимооценках. Морально – волевые характеристики партнера становятся важнейшим основанием предпочтений. Статус личности более всего связан с волевыми и интеллектуальными свойствами ученика. Высоко оцениваются сверстники, которых отличают готовность и умение быть хорошим товарищем. Доброта, как и в начальной школе, остается одним из ведущих оснований межличностного выбора.
Выявлено, что "предпочитаемые" и "отверженные" подростки в классе отличаются разными системами ориентаций. "Предпочитаемые" в большей степени ориентированы на совместную деятельность. Когда они осознают угрозу утраты статуса, их стратегия поведения становиться активной и деятельность приобретает более интенсивный, целенаправленный, организованный характер. Ученики с неблагоприятным положением в классе фиксированы главным образом на взаимоотношениях со сверстниками. В случае угрозы их и без того неблагополучному положению в группе они аффективно реагируют на ситуацию и даже готовы вовсе разорвать отношения со сверстниками. Значимость эмоциональных связей в группах сверстников столь велика, что их нарушения, сопровождающиеся стойкими состояниями тревоги и психологического дискомфорта, могут оказаться причиной неврозов.
Как популярные, так и непопулярные школьники отличаются по уровню социального развития личности. Первые демонстрируют более зрелые подходы к анализу конфликтов. Они анализируют ситуации достаточно объективно и рассматривают их даже несколько отстранённо. Восприятие событий у непопулярных ограничено рамками конкретной конфликтной ситуации. Они либо уходят от решения, либо, ориентируясь на сиюминутный результат, не задумываются о последствиях предпринятых ими действий.
Обостренная потребность в индивидуализации личности в сочетании с максимализмом в оценках окружающих, которые тоже стремятся обрести и продемонстрировать свою индивидуальность, может осложнять процессы группового развития. "Индивидуализация рождает напряженную потребность, которая была бы одновременно самораскрытием и проникновением во внутренний мир другого.
Уровень развития коллективных отношений определяет специфику процессов индивидуализации. В классах, где взаимоотношения основаны на доверии, взаимопомощи, ответственности, проявления самобытности, независимо от статуса членов группы, встречают поддержку и способствуют интеграции личности в группе. Обогащенной оказывается не только личность, проявляющая творческую инициативу, смелость в отказе от отрицательных традиций, но и коллектив. В группах с низким уровнем коллективных отношений проявления индивидуальности пресекаются без учета их нравственного содержания. Необычность одноклассника воспринимается как нежелательный фактор и несет в себе угрозу для персонализации остальных. В классах с подобным типом межличностных отношений индивидуализация одного происходит за счет деиндивидуализации других.
Каждый подросток психологически принадлежит к нескольким группам: семье, школьному классу, дружеским компаниям и т. п. Если цели и ценности групп не противоречат друг другу, формирование личности подростка проходит в однотипных социальных условиях. Противоречивость норм и ценностей различных групп ставит подростка в позицию выбора. Нравственный выбор может сопровождаться межличностными и внутриличностными конфликтами.
Из множества сфер общения подростком выделяется референтная группа сверстников, с требованиями которой он считается и на мнение которой ориентируется в значимых для себя ситуациях.
Потребность в общении со сверстниками, которых не могут заменить родители, возникает у детей очень рано и с возрастом усиливается. Уже у дошкольников отсутствие общества сверстников отрицательно сказывается на развитии коммуникативных способностей и самосознания. Поведение же подростков по своей сути является коллективно-групповым.
Во-первых, общение сверстников очень важный канал информации; по нему подростки узнают многие необходимые им вещи, которые им по тем или иным причинам не сообщают взрослые, например, подавляющую часть информации о вопросам пола подросток получает от сверстников, поэтому их отсутствие может задержать его психосексуальное развитие или придать ему нездоровый характер.
При сходстве внешних контуров социального поведения глубинные мотивы, скрывающиеся за юношеской потребностью в аффиляции, индивидуальны и многообразны. Один ищет в обществе сверстников подкрепления самоуважения, признания своей человеческой ценности. Другому важно чувство эмоциональной сопричастности, слитности с группой. Третий черпает недостающую информацию и коммуникативные навыки. Четвертый удовлетворяет потребность властвовать, командовать другими. Большей частью эти мотивы и переплетения не осознаются.
Следует отметить, что коммуникативные черты и стиль общения юношей и девушек не совсем одинаковы. Это касается и уровня общительности и характера аффиляции.
На первый взгляд мальчики во всех возрастах общительнее девочек. С самого раннего возраста они активнее девочек вступают в контакт с другими детьми, затевают совместные игры и т.д. чувство принадлежности к группе сверстников для мужчин всех возрастов значительнее важнее, чем для женщин.
Однако различия между полами в уровне общительности не столько количественные, сколько качественные. Содержание совместной деятельности и собственный успех означает для мальчиков больше, чем наличие симпатии к другим участникам игры.
С ранних возрастов мальчики тяготеют к более экстенсивному, а девочки – к интенсивному общению; мальчики чаще всего играют большими группами, а девочки – по двое или по трое. Разные способы социализации мальчиков и девочек, существующие во всех человеческих обществах, с одной стороны – создают и воспроизводят психологические половые различия. Причем речь идет не просто о количественных различиях в степени общительности мальчиков и девочек, но о качественных различиях в структуре и содержании их общения и жизнедеятельности.
Юношеские группы удовлетворяют в первую очередь потребность в свободном, нерегламентированном взрослыми общении. Свободное общение – не просто способ проведения досуга, но средство самовыражения, установления новых человеческих контактов, из которых постепенно выкристаллизовывается что-то интимное, исключительно свое.
Разные виды общения могут существовать, выполняя разные функции, их удельный вес и значимость с возрастом меняется. Меняются и привилегированные места встреч. У подростков это чаще всего двор или своя улица.
Разные формы и места общения не только сменяются друг друга, но и сосуществуют, отвечая разным психологическим потребностям.
Если компании формируются лавным образом на базе совместных развлечений, то человеческие контакты в них, будучи эмоционально значимыми, обычно остаются поверхностно. Качество совместного времяпрепровождения часто оставляют желать лучшего.
Некоторые из таких компаний перерастают в антисоциальные.
Юношеские группы и их соперничество – всеобщий факт человеческой истории. Явление это многоуровневое. Саамы глубинный, универсальный его пласт – противопоставление. «Мы» и «Они» по территориальному принципу – существуют практически везде. Однако ослабление влияние семьи, особенно отцовского начала, повышает степень идентификации мальчика-подростка и группой, создавая та называемый «эффект стаи».
2.1.1. Социометрический эксперимент. Метод социометрии.
Для того чтобы использовать количественные характеристики при изучении социальных взаимодействий в группе применяется так называемая социометрическая процедура, или социометрия (впервые предложенная в 30-х годах Д. Морено) [3].
Социометрия – это система некоторых приёмов, дающих возможность выяснить количественное определение предпочтений, безразличий или неприятий, которые получают индивиды в процессе межличностного общения и взаимодействия.
Опрашиваемого обычно просят установить последовательность своего выбора, следуя порядку предпочтения. Порядок выборов имеет при анализе характера и закономерностей межличностного общения. В группах до 10-15 человек более целесообразно количество выборов не ограничивать, в группах же до 30-40 человек лучше позволить делать 3-5 выборов.
Результаты ответов переносят на так называемые матрицы выбора. Их число соответствует числу критериев. Для удобства обработки данных каждый член группы получает свой номер и далее на протяжении всех этапов эксперимента фигурирует под ним.
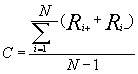
Исходя из данных матрицы, можно определить величину социометрического статуса любого члена группы. Она равна сумме полученных данным членом группы выборов, деленной на число членов без одного:

Ri+ - положительные выборы, полученные i-членом,
Ri- - отрицательные.
Индекс групповой "сплоченности", согласно социометрическим данным, определяется как отношение числа взаимных выборов к теоретически возможному для данной группы их количеству.
Однако социометрический анализ может дать лишь самое общее описание этой коммуникативной сети. И его нельзя использовать для определения мотивов тех или иных выборов одних членов группы другими, данный эксперимент не привёдет нас к выяснению причин предпочтения и изоляции.
Благодаря введению методической процедуры выделения мотивационного ядра возникает возможность перейти от исследования поверхностного слоя общения к исследованию более глубинных его пластов. Под мотивационным ядром здесь понимается система мотивов, образующая психологическую основу индивидуальной предпочитаемости, проявляемой индивидами в социометрическом исследовании. Выявление мотивационного ядра предпочтительности оказывается полезным всякий раз, когда возникает вопрос, почему социометрическая картина в данной группе именно такова; почему такой –то член группы предпочитает такого – то; почему некоторая часть группы числится в категории "лидеров", а другая – в категории "отверженных". Содержание мотивационного ядра выбора партнера в структуре межличностных отношений может служить показателем того уровня, которого достигла данная группа как коллектив. На первых, начальных этапах развития вновь созданных групп при выборе партнера члены группы исходят из эмоционально – личностных симпатий, но затем по мере становления коллектива содержание мотивационного ядра изменяется – выборы обусловлены ориентацией не на внешние достоинства личности, а на её моральные и деловые качества.
2.1.2. Методика изучения самооценки (Т. Дембо-С. Рубинштейн)
Для исследования была применена методика изучения самооценки качеств личности Т. Дембо - С. Рубинштейна.
Целью данной методики является выявление уровня самооценки школьника по заранее заданным качествам личности; выбор тех или иных качеств личности обусловлен целями исследования (например, установленных с помощью других методов трудностей в общении, для получения дополнительной информации можно предложить для оценки такое качество как общительность).
Методика предполагает следующую процедуру проведения: Ребенку предлагается ряд шкал, условно обозначающих проявление различных черт личности, и следующая инструкция: "Допустим, что на этой линии расположились все люди мира в порядке повышения их состояния здоровья (пример со шкалой здоровья): внизу – самые больные люди, вверху – самые здоровые (те, которые никогда не болеют). Как ты думаешь, где твое место среди всех людей мира по состоянию здоровья?".
Пример шкалы:

Высота самооценки определяется с помощью условного разбиения шкал на отрезки в соответствии с пяти-бальной системой. При этом одно деление на шкале является равным 0,5 балла. Исходя из этого подсчитывается средний балл самооценки. "Нормальной", "Средней" самооценкой принято считать самооценку со средним баллом 2.5 и немного выше; "Высокой" – со средним баллом 4–5; "Низкой" – со средним баллом 0-2.5.
2.2 Результаты социометрического опроса.
В результате мы определили следующие диагностические показатели:
а). В результате статусные категории каждого ребенка:
в экспериментальной группе “А”:
лидеры – 9 человек.
предпочитаемые – 3 человека.
принебрегаемые – 8 человек.
отверженные – 5 человек.
в экспериментальной группе “В”:
лидеры – 7 человек.
предпочитаемые – 7 человека.
принебрегаемые – 7 человек.
отверженные – 4 человек.
Исходя из полученных данных можно сделать вывод (смотри график 3.1.):
в экспериментальной группе “А” более 50% детей имеют неблагоприятный статус, а 48% относятся к первой и второй статусным группам;
в экспериментальной группе “В” более 50% детей имеют благоприятный статус, т.е относятся к первой и второй статусным группам, а 44% имеют третий и четвертый статус.
Рассмотрев отдельно мальчиков и девочек по определению социометрического статуса (см. график 3.2.) очевидно, что:
в экспериментальной группе “А” 38 % мальчиков имеют первую статусную категорию (лидеры), что на 13 % больше, чем в экспериментальной группе “В” (25 %);
из графика также видно, что: 8 % мальчиков экспериментальной группы “А” относятся к предпочитаемым, а в экспериментальной группе “Б” их –25 %;
к третьей статусной категории относятся 23 % в экспериментальной группа “А” и 33 % в экспериментальной группе “Б”;
к четвертой статусной категории относятся 31 % мальчиков экспериментальной группы “А”, что на 4 % меньше, чем в экспериментальной группе “Б” (17 %).
Сравнив данные графика также можно видеть, что:
в экспериментальной группе “А” 34 % девочек имеют первую статусную категорию, а в экспериментальной группе “Б” - 31 %.
к предпочитаемым относятся 8% девочек в экспериментальной группе “А” и 31 % в экспериментальной группе “Б”;
третью статусную категорию (принебрегаемые) имеют 50 % девочек в экспериментальной группе “А” и 23 % в экспериментальной группе “Б”;
к категории отверженные относятся в экспериментальной группе “А” 8% и в экспериментальной группе “Б” 15 %.
Изучив полученные результаты по определению социологического статуса каждого члена группы можно сделать вывод, что в экспериментальной группе “Б” эмоциональный климат группы для каждого воспитанника более благоприятный, теплый, чем в экспериментальной группе “А”.
б.) В экспериментальной группе “А” уровень благополучия взаимоотношений (УБВ) можно определить как низкий, т.к. в группе преобладают дети с неблагоприятным статусом – 52 %.
В экспериментальной группе “Б” УБВ – высокий, т.к. большинство детей находятся в благоприятных (1 и 2) статусных категориях – 56%.
Вывод: низкий УБВ в экспериментальной группе “А” означает неблагополучие большинства детей в системе межличностных отношений, их неудовлетворенность в общении, признании сверстниками.
Результаты проведения представленной методики в группах детей младшего подросткового возраста выглядят следующим образом:
в экспериментальной группе “А” (график 3.3.) из общего количества детей:
28% имеют высокий уровень самооценки;
56% имеют средний уровень самооценки;
16% имеют низкий уровень самооценки;
в экспериментальной группе “Б” (график 3.3.) из общего количества детей:
36% имеют высокий уровень самооценки;
52% имеют средний уровень самооценки;
12% имеют низкий уровень самооценки.

Сопоставляя статусное положение каждого ребенка группы с присущим ему уровнем самооценки, мы получили следующие результаты
А). В экспериментальной группе “А”:
из общего количества детей первого статуса (лидеры) 78% детей имеют высокий уровень самооценки и 22% имеют средний уровень самооценки;
из всех детей находящихся во втором статусе (предпочитаемые) 100% детей имеют средний уровень самооценки;
100% детей, относящихся к третей статусной категории (принебрегаемые) имеют средний уровень самооценки;
из всех детей, находящихся в четвертой статусной категории (отверженные)- 80% имеют низкий уровень самооценки и 20% детей имеют средний уровень самооценки.
В). В экспериментальной группе Б:
из общего количества детей первого статуса (лидеры) 71% имеют высокий уровень самооценки и 29% имеют средний уровень самооценки;
из всех детей находящихся во втором статусе (предпочитаемые) 57% имеют высокий уровень самооценки и 43% имеют средний уровень самооценки;
из всех детей третей статусной категории (принебрегаемые) 100 % имеют средний уровень самооценки;
из всех детей находящихся в четвертой статусной категории (отверженные) 25% имеют средний уровень самооценки и 75% имеют низкий уровень самооценки.
В результате исследования связи самооценки школьника с его статусным положением в системе межличностных отношений мы пришли к следующим выводам: самооценка подростка в целом тем ниже, чем ниже его статусное положение в группе.
Заключение
В процессе проведенного исследования влияния статусного положения ребенка в группе на формирование уровня его самооценки можно сказать, что наша гипотеза подтвердилась, так как по полученным результатам мы видим, что чем выше статус ребенка в группе, тем более высокий уровень самооценки выявляется в процессе экспериментов.
Изучение природы межличностных отношений непростая задача. В своей работе мы попытались решить одну достаточно важную задачу – процесс влияния взаимоотношений между подростками, в их повседневной, обыденной форме, а именно, те его аспекты, которые раскрываются в непосредственном общении между подростками, в совместной деятельности разнопланового характера, на формирование уровня самооценки школьника, а соответственно и на формирования уровня его притязаний.
1) Бурлачук Л.Ф., Морозов С.М. Словарь – справочник по психодиагностике. – СПб.: Питер Ком, 1999г.
2) Выготский Л.С. Собрание сочинений: в 6 т. – М.: Просвещение, 1984.
3) Давыдов В. В., Драгунова Т. В., Ительсон Л. Б., Петровский А. В. Возрастная и педагогическая психология: учебник для студентов пед. институтов. - М.: Просвещение, 1979.
4) Карпенко Л.А., Петровский А. В. Краткий психологический словарь. - М.: Просвещение, 1981.
5) Крылов А.А. Практикум по общей и экспериментальной психологии. – Л.: Издательство Ленинградского Университета, 1987.
6) Кондратьева С.В. Практическая психология: учебно-методическое пособие. – Минск: Университетское, 1997.
7) Немов Р. С. Психология. Учебник для студентов высш. пед. учеб. заведений. В 3-х кн-х. Кн. 1 Общие основы психологии- 2-е изд. - М.: Просвещение, ВЛАДОС, 1994.
8) Петровский А.В., Абраменкова В.В. Социальная психология: учебное пособие для студентов пед. Институтов. - М.: Просвещение, 1987.
9) Петровский А.В. Личность. Деятельность. Коллектив. – М.: Знание, 1982. –
Приложение
Опросный лист №1.
Социометрический эксперимент.
Инструкция: Выбери из вашего класса трёх учеников в порядке твоего предпочтения и укажи их фамилии в прямоугольниках, расположенных после задания. Через тире укажи номер причины, по которой ты делаешь свой выбор (на другой стороне опросного листа написаны 14 причин). Напиши внизу листа свою фамилию и имя.
Отвечать нужно искренне и точно. Гарантируем неразглашение ваших ответов.
Напиши 3 фамилии учеников из Вашего класса (мальчика или девочку) с кем бы Ты больше всего хотел дружить и заниматься интересным делом.
Напиши через запятую фамилии тех, кто Тебе больше всего не нравится в твоем классе.
Дата заполнения ________________
Класс__________
Имя ___________________________
Причины твоего выбора:
Потому что он веселый и с ним можно общаться.
Потому что он не жадный.
Потому что мы живем рядом.
Потому что мы вместе ходим на одну секцию.
Потому что мы давно учимся в одной школе.
Потому что мы вместе отдыхали летом.
Потому что с ним интересно.
Потому что много знает.
Потому что подсказывает и мы вместе делаем домашнее задание.
Потому что мы обмениваемся книгами.
Потому что мы вместе играем на компьютере.
Потому что он очень сильный и защищает меня.
Потому что он (она) мне нравиться.
Потому что мне нужен такой друг (подруга).
Опросный лист №2.
Методика самооценки качеств личности
(м. Т. Дембо – С. Рубинштейн)

Дата заполнения ________________
Класс__________________________
Имя ______________________________________
|