Банк рефератов содержит более 364 тысяч рефератов, курсовых и дипломных работ, шпаргалок и докладов по различным дисциплинам: истории, психологии, экономике, менеджменту, философии, праву, экологии. А также изложения, сочинения по литературе, отчеты по практике, топики по английскому.
Полнотекстовый поиск
Всего работ:
364139
Теги названий





Разделы
Авиация и космонавтика (304)
Административное право (123)
Арбитражный процесс (23)
Архитектура (113)
Астрология (4)
Астрономия (4814)
Банковское дело (5227)
Безопасность жизнедеятельности (2616)
Биографии (3423)
Биология (4214)
Биология и химия (1518)
Биржевое дело (68)
Ботаника и сельское хоз-во (2836)
Бухгалтерский учет и аудит (8269)
Валютные отношения (50)
Ветеринария (50)
Военная кафедра (762)
ГДЗ (2)
География (5275)
Геодезия (30)
Геология (1222)
Геополитика (43)
Государство и право (20403)
Гражданское право и процесс (465)
Делопроизводство (19)
Деньги и кредит (108)
ЕГЭ (173)
Естествознание (96)
Журналистика (899)
ЗНО (54)
Зоология (34)
Издательское дело и полиграфия (476)
Инвестиции (106)
Иностранный язык (62791)
Информатика (3562)
Информатика, программирование (6444)
Исторические личности (2165)
История (21319)
История техники (766)
Кибернетика (64)
Коммуникации и связь (3145)
Компьютерные науки (60)
Косметология (17)
Краеведение и этнография (588)
Краткое содержание произведений (1000)
Криминалистика (106)
Криминология (48)
Криптология (3)
Кулинария (1167)
Культура и искусство (8485)
Культурология (537)
Литература : зарубежная (2044)
Литература и русский язык (11657)
Логика (532)
Логистика (21)
Маркетинг (7985)
Математика (3721)
Медицина, здоровье (10549)
Медицинские науки (88)
Международное публичное право (58)
Международное частное право (36)
Международные отношения (2257)
Менеджмент (12491)
Металлургия (91)
Москвоведение (797)
Музыка (1338)
Муниципальное право (24)
Налоги, налогообложение (214)
Наука и техника (1141)
Начертательная геометрия (3)
Оккультизм и уфология (8)
Остальные рефераты (21692)
Педагогика (7850)
Политология (3801)
Право (682)
Право, юриспруденция (2881)
Предпринимательство (475)
Прикладные науки (1)
Промышленность, производство (7100)
Психология (8692)
психология, педагогика (4121)
Радиоэлектроника (443)
Реклама (952)
Религия и мифология (2967)
Риторика (23)
Сексология (748)
Социология (4876)
Статистика (95)
Страхование (107)
Строительные науки (7)
Строительство (2004)
Схемотехника (15)
Таможенная система (663)
Теория государства и права (240)
Теория организации (39)
Теплотехника (25)
Технология (624)
Товароведение (16)
Транспорт (2652)
Трудовое право (136)
Туризм (90)
Уголовное право и процесс (406)
Управление (95)
Управленческие науки (24)
Физика (3462)
Физкультура и спорт (4482)
Философия (7216)
Финансовые науки (4592)
Финансы (5386)
Фотография (3)
Химия (2244)
Хозяйственное право (23)
Цифровые устройства (29)
Экологическое право (35)
Экология (4517)
Экономика (20644)
Экономико-математическое моделирование (666)
Экономическая география (119)
Экономическая теория (2573)
Этика (889)
Юриспруденция (288)
Языковедение (148)
Языкознание, филология (1140)

Лабораторная работа: Изучение возможностей экспертных систем

Название: Изучение возможностей экспертных систем
Раздел: Рефераты по информатике
Тип: лабораторная работа Добавлен 11:38:31 08 июля 2011 Похожие работы
Просмотров: 14 Комментариев: 22 Оценило: 2 человек Средний балл: 5 Оценка: неизвестно     Скачать

ФЕДЕРАЛЬНОЕ АГЕНТСТВО ПО ОБРАЗОВАНИЮ

СТАРООСКОЛЬСКИЙ ТЕХНОЛОГИЧЕСКИЙ ИНСТИТУТ (ФИЛИАЛ)

МОСКОВСКОГО ГОСУДАРСТВЕННОГО ИНСТИТУТА

СТАЛИ И СПЛАВОВ

(ТЕХНОЛОГИЧЕСКОГО УНИВЕРСИТЕТА)

Лабораторная работа №1

По дисциплине: «Интеллектуальные и информационные системы»

«Изучение возможностей экспертных систем»

Выполнила:

Морева Л.Н.

ИС-07-1в

Проверил:

Глущенко А.И.

Старый Оскол, 2011


Цель работы: целью является проектирование и разработка фрагмента экспертной системы.

Предметная область:

Автосервис. Диагностика неисправностей автомобилей

Краткое описание предметной области:

Ни для кого не секрет, что без диагностики автомобиля сегодня, невозможно произвести его качественный ремонт, соответственно для этих целей необходимо качественное диагностическое оборудование. И такое оборудование должно присутствовать на любой серьезной станции технического обслуживания. Диагностическое оборудование для автомобилей позволяет быстрее и точнее найти неисправность в автомобиле, особенно в ходовой его части, в двигателе, трансмиссии, электронике. По сути, быстрая и точная диагностика, и как следствие оперативный и качественный ремонт и являет собой качественный сервис, которого так жаждут как владельцы дорогих авто, так и те, кто ездит на машинах среднего класса.

Для удобства анализа предметной области данные сведены в таблицу.

1. В ней столбцы обозначены названиями неисправности, а строки - названиями причин неисправности. На пересечении соответствующих столбцов и строк стоит знак "+", если причина действительно принадлежит исследуемой неисправности. Одни и те же причины могут являться признаками одной и той же неисправности, поэтому некоторые из них (причин) перекрываются.

Продукционная модель

Объект®

Атрибут¯

1. Топливная система 2. Снижение производительности топливного насоса 3. Засорение топливного фильтра 4. Засорение (деформация) сливного топливопровода 5. Не герметичность системы
1. Повышение расхода топлива + - - + +

2. Затрудненный пуск

+ + + + -
3. Неустойчивый холостой ход + - + + +

4. Подтеки топлива

+ - - - +

5. Запах в салоне

- - - - +

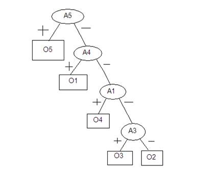
Семантическая модель

Программа:

#include<iostream.h>

#include<conio.h>

main ()

{

int z;

clrscr();

cout<<"\nvvedite nomer polomki ot 1 do 5";

cin>>z;

switch(z)

{

case 5:cout<<"05";break;

case 4:cout<<"01";break;

case 1:cout<<"04";break;

case 3:cout<<"03";break;

case 2:cout<<"02";break;

default:cout<<("polomok net");

}

getch();

return 0;

}


Контрольные вопросы

1. Что Вы понимаете под экспертной системой?

2. Дайте определение базы знаний экспертной системы?

3. Что представляет собой подсистема вывода экспертной системы?

4. Чем отличается прямой и обратный порядок логического вывода?

5. Дайте понятие фреймовой модели представления знаний.

6. Какие модели представления знаний Вы знаете?

7. Какие функции выполняет инженер по знаниям?

8. Чем отличается база данных от базы знаний?

Оценить/Добавить комментарий
Имя
Оценка
Комментарии:
trendlive.ru Раскрутила свои видео, сайты с помощью сервиса трендов хештегов сайта trendlive.ru
02:43:59 28 июня 2022
Хватит париться. На сайте FAST-REFERAT.RU вам сделают любой реферат, курсовую или дипломную. Сам пользуюсь, и вам советую!
Никита05:30:55 05 ноября 2021
.
.05:30:53 05 ноября 2021
.
.05:30:52 05 ноября 2021
.
.05:30:50 05 ноября 2021

Смотреть все комментарии (22)
Работы, похожие на Лабораторная работа: Изучение возможностей экспертных систем

Назад
Меню
Главная
Рефераты
Благодарности
Опрос
Станете ли вы заказывать работу за деньги, если не найдете ее в Интернете?

Да, в любом случае.
Да, но только в случае крайней необходимости.
Возможно, в зависимости от цены.
Нет, напишу его сам.
Нет, забью.



Результаты(294399)
Комментарии (4230)
Copyright © 2005 - 2024 BestReferat.ru / реклама на сайте