Банк рефератов содержит более 364 тысяч рефератов, курсовых и дипломных работ, шпаргалок и докладов по различным дисциплинам: истории, психологии, экономике, менеджменту, философии, праву, экологии. А также изложения, сочинения по литературе, отчеты по практике, топики по английскому.
Полнотекстовый поиск
Всего работ:
364139
Теги названий





Разделы
Авиация и космонавтика (304)
Административное право (123)
Арбитражный процесс (23)
Архитектура (113)
Астрология (4)
Астрономия (4814)
Банковское дело (5227)
Безопасность жизнедеятельности (2616)
Биографии (3423)
Биология (4214)
Биология и химия (1518)
Биржевое дело (68)
Ботаника и сельское хоз-во (2836)
Бухгалтерский учет и аудит (8269)
Валютные отношения (50)
Ветеринария (50)
Военная кафедра (762)
ГДЗ (2)
География (5275)
Геодезия (30)
Геология (1222)
Геополитика (43)
Государство и право (20403)
Гражданское право и процесс (465)
Делопроизводство (19)
Деньги и кредит (108)
ЕГЭ (173)
Естествознание (96)
Журналистика (899)
ЗНО (54)
Зоология (34)
Издательское дело и полиграфия (476)
Инвестиции (106)
Иностранный язык (62791)
Информатика (3562)
Информатика, программирование (6444)
Исторические личности (2165)
История (21319)
История техники (766)
Кибернетика (64)
Коммуникации и связь (3145)
Компьютерные науки (60)
Косметология (17)
Краеведение и этнография (588)
Краткое содержание произведений (1000)
Криминалистика (106)
Криминология (48)
Криптология (3)
Кулинария (1167)
Культура и искусство (8485)
Культурология (537)
Литература : зарубежная (2044)
Литература и русский язык (11657)
Логика (532)
Логистика (21)
Маркетинг (7985)
Математика (3721)
Медицина, здоровье (10549)
Медицинские науки (88)
Международное публичное право (58)
Международное частное право (36)
Международные отношения (2257)
Менеджмент (12491)
Металлургия (91)
Москвоведение (797)
Музыка (1338)
Муниципальное право (24)
Налоги, налогообложение (214)
Наука и техника (1141)
Начертательная геометрия (3)
Оккультизм и уфология (8)
Остальные рефераты (21692)
Педагогика (7850)
Политология (3801)
Право (682)
Право, юриспруденция (2881)
Предпринимательство (475)
Прикладные науки (1)
Промышленность, производство (7100)
Психология (8692)
психология, педагогика (4121)
Радиоэлектроника (443)
Реклама (952)
Религия и мифология (2967)
Риторика (23)
Сексология (748)
Социология (4876)
Статистика (95)
Страхование (107)
Строительные науки (7)
Строительство (2004)
Схемотехника (15)
Таможенная система (663)
Теория государства и права (240)
Теория организации (39)
Теплотехника (25)
Технология (624)
Товароведение (16)
Транспорт (2652)
Трудовое право (136)
Туризм (90)
Уголовное право и процесс (406)
Управление (95)
Управленческие науки (24)
Физика (3462)
Физкультура и спорт (4482)
Философия (7216)
Финансовые науки (4592)
Финансы (5386)
Фотография (3)
Химия (2244)
Хозяйственное право (23)
Цифровые устройства (29)
Экологическое право (35)
Экология (4517)
Экономика (20644)
Экономико-математическое моделирование (666)
Экономическая география (119)
Экономическая теория (2573)
Этика (889)
Юриспруденция (288)
Языковедение (148)
Языкознание, филология (1140)

Реферат: Яды промышленые

Название: Яды промышленые
Раздел: Рефераты по медицине
Тип: реферат Добавлен 11:27:40 22 июня 2011 Похожие работы
Просмотров: 10 Комментариев: 19 Оценило: 2 человек Средний балл: 5 Оценка: неизвестно     Скачать

Яды промышленные (профессиональные, или производственные) — химические вещества, используемые на производстве и оказывающие вредное действие на организм человека при нарушении правил техники безопасности и гигиены труда.
Промышленные яды вызывают чаще хронические интоксикации. Различают несколько стадий реакций организма на хроническое воздействие промышленных ядов: стадия первичной декомпенсации, стадия компенсации (так называемое привыкание), которая переходит в стадию вторичной декомпенсации. Таким образом, привыкание к промышленным ядам следует рассматривать как явление опасное и недопустимое.
Установлено, что действие меняющихся концентраций промышленных ядов является для организма более вредным, чем действие тех же ядов в постоянных (средних) концентрациях за тот же период времени.
При воздействии на организм некоторых промышленных ядов отмечено возникновение злокачественных новообразований.
Воздействуя на организм родителей и на плод, такие промышленные яды, как тяжелые металлы, включая свинец и ртуть, ароматические соединения, нитро- и аминосоединения, галогенизированные углеводороды (в частности, хлорированные), фосфорорганические вещества, различные радиомиметические соединения, могут оказывать гонадо- и эмбриотропное действие, тератогенное и мутагенное влияние на потомство.
Основные пути профилактики воздействия промышленных ядов на организм: а) исключение из технологии производства высокотоксичных и опасных для жизни ядов или замена их менее токсичными и менее опасными; б) укорочение (в случае необходимости) рабочего дня и увеличение отпусков для лиц, соприкасающихся с ядами; в) надлежащая вентиляция (см.); г) ношение защитной одежды (см.), применение противогаза (см.), респиратора (см.) и в случае необходимости других средств защиты (защитные пасты, мази и др.); д) организация душевых с ежедневной сменой (в случае необходимости) производственного нательного белья;
е) периодические медосмотры, разработка противопоказаний для работы с промышленными ядами, лечебно-профилактическое питание, медикаментозная профилактика (соответствующие ингалятории и т. и.), физическая культура;
ж) научное обоснование актов санитарного законодательства, в частности в области гигиенического нормирования факторов внешней среды.
Очень важным является установление предельно допустимых концентраций вредных веществ в воздухе рабочей зоны, т. е. таких концентраций, которые при ежедневной работе в пределах 8 часов в течение всего рабочего стажа не могут вызвать у работающих заболеваний или отклонений в состоянии здоровья, обнаруживаемых современными методами исследования, непосредственно в процессе работы или в отдаленные сроки (см. табл.). Предельно допустимые концентрации являются обязательным санитарным нормативом, предназначенным для проектирования производственных зданий, технологических процессов, оборудования и вентиляции, а также для проведения предупредительного и текущего санитарн надзора и других видов контроля санитарного режима в производственных условиях и для оценки эффективности оздоровительных мероприятий. Предприятия и проектирующие организации должны добиваться снижения содержания вредных веществ в воздухе рабочей зоны ниже предельно допустимых концентраций, установленных данными нормами.
Соблюдение нормативов ПДК должно обеспечиваться в первую очередь путем соответствующей организации технологического процесса и рационализации оборудования в соответствии с требованиями санитарных норм. При одновременном со-
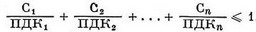
держании в воздухе рабочей зоны нескольких вредных веществ однонаправленного действия (например, фтористый водород и соли фтористоводородной кислоты; сернистый и серный ангидриды, различные хлорированные углеводороды, различные спирты; окись углерода и окислы азота и др.) расчет общеобменной вентиляции надлежит производить путем суммирования объемов воздуха, необходимых для разбавления каждого вещества в отдельности до его предельно допустимой концентрации с учетом загрязнения приточного воздуха. При этом допустимыми для проектирования и санитарного надзора следует считать такие концентрации (С) вредных веществ, которые отвечают формуле:
, т. е. сумма отношений фактических концентраций вредных веществ (C1, С2,... Сn) в воздухе помещений к их предельно допустимым концентрациям (ПДК1, ПДК2, ... ПДКn), которые установлены для их изолированного присутствия, не должны превышать 1 (единицы). При одновременном выделении нескольких газов и паров, не обладающих одинаковым характером действия, например наркотиков в комбинации с раздражающими вредными веществами, количество воздуха при расчете общеобменной вентиляции допускается принимать по той вредности, которая требует подачи наибольшего объема чистого воздуха.
Способ расчета общеобменной вентиляции и контроль за концентрациями при наличии в воздухе нескольких вредных веществ в каждом конкретном случае принимаются по согласованию с органами Государственного санитарного надзора с учетом характера действия смеси.
При совместном действии химических и физических факторов производственной среды, а также при тяжелой физической нагрузке и при других особых условиях необходимость изменения предельно допустимых концентраций в каждом конкретном случае решается органами Государственного санитарного надзора.
Для вредных веществ, предельно допустимые концентрации которых не приведены в нормах, временные предельно допустимые концентрации и условия применения этих веществ в каждом конкретном случае устанавливаются органами Государственного санитарного надзора.
ПДК и стандарты постоянно пересматриваются и дополняются.
Медицинская помощь при отравлении промышленными ядами — см. Отравления (таблица), а также статьи об отдельных промышленных ядах.
Таблица: Предельно-допустимые концентрации (ПДК) вредных веществ в воздухе рабочей зоны (СН 245—71) страницы: 1 2 3 4
* При длительности работы в атмосфере, содержащей окись углерода, не более 1 часа предельно допустимая концентрация окиси углерода может быть повышена до 50 мг/м3 , при длительности работы не более 30 мин.— до 100 мг/м3 , при длительности работы не более 15 мин.—до 200 мг/м. Повторные работы в условиях повышенного содержания окиси углерода в воздухе рабочей зоны могут производиться с перерывом не менее чем в 2 часа.

Оценить/Добавить комментарий
Имя
Оценка
Комментарии:
Хватит париться. На сайте FAST-REFERAT.RU вам сделают любой реферат, курсовую или дипломную. Сам пользуюсь, и вам советую!
Никита22:04:10 04 ноября 2021
.
.22:04:08 04 ноября 2021
.
.22:04:07 04 ноября 2021
.
.22:04:05 04 ноября 2021
.
.22:04:04 04 ноября 2021

Смотреть все комментарии (19)
Работы, похожие на Реферат: Яды промышленые

Назад
Меню
Главная
Рефераты
Благодарности
Опрос
Станете ли вы заказывать работу за деньги, если не найдете ее в Интернете?

Да, в любом случае.
Да, но только в случае крайней необходимости.
Возможно, в зависимости от цены.
Нет, напишу его сам.
Нет, забью.



Результаты(294400)
Комментарии (4230)
Copyright © 2005 - 2024 BestReferat.ru / реклама на сайте