ФЕДЕРАЛЬНОЕ АГЕНТСТВО ПО ОБРАЗОВАНИЮ
Нижегородский Государственный Университет им. Н.И. Лобачевского
Механико-математический факультет
Курсовая работа на тему:
«Обслуживание потребителей и фирм автомобильным транспортом»
Выполнила: студентка
648 группы Токарева Т.
Проверила: Тюхтина А.А.
г. Нижний Новгород
2009 год
Аннотация.
Содержание.
- Введение………………………………………………………………………4
- Технико-эксплуатационные показатели работы автомобильного
транспорта……………………………………………………………………………
Маршруты движения автотранспорта. Расчет технико-эксплуатационных
показателей его работы на маршрутах…………………………………………….
3.1. Маятниковый маршрут с обратным холостым пробегом……
3.2. Маятниковый маршрут с обратным не полностью груженным пробегом…………………………………………………………
3.3. Маятниковый маршрут с обратным полностью груженным пробегом…………………………………………………………..
3.4. Кольцевой маршрут………………………………………………
Применение математических методов для организации материалопотока………………………………………………………………………
4.1. Маятниковый маршрут с обратным порожним пробегом…….
4.2. Развозочный маршрут при перевозке мелкопартионных грузов потребителям………………………………………………………………………
1. Введение.
- получить знания о технико-эксплуатационных показателях работы автомобильного транспорта,
- анализировать маршруты движения автотранспорта и рассчитывать его показатели работы на маршруте,
- применять логистическую концепцию построения модели автотранспортного обслуживания потребителей и фирм,
- использовать экономико-математические методы для организации материалопотока
2. Технико-эксплуатационные показатели работы автомобильного транспорта
Работа неподвижного состава автомобильного транспорта оценивается системой технико-эксплуатационных показателей, характеризующих количество и качество выполненной работы.
Технико-эксплуатационные показатели
использования подвижного состава в транспортном процессе можно разделить на две группы.
К первой группе
следует отнести показатели, характеризующие степень использования подвижного состава грузового автомобильного транспорта;
- коэффициенты технической готовности, выпуска и использования подвижного состава,
- коэффициенты использования грузоподъемности и пробега;
- среднее расстояние ездки с грузом и среднее расстояние перевозки;
- время простоя под погрузкой-разгрузкой;
- время в наряде;
- техническая и эксплуатационная скорости.
Вторая группа
характеризует результативные показатели работы подвижного состава:
- количество ездок;
- общее расстояние перевозки и пробег с грузом;
- объем перевозок и транспортная работа.
Наличие в автотранспортном предприятии автомобилей, тягачей, прицепов, полуприцепов называют списочным парком
подвижного состава
Приведем расчет некоторых технико-эксплуатационных показателей работы автомобильного транспорта
Коэффициент технической готовности парка автомобилей за один рабочий день
где - число автомобилей, готовых к эксплуатации, —
списочное число автомобилей
Коэффициент выпуска автомобилей за один рабочий день
где — число автомобилей в эксплуатации
Коэффициент использования автомобилей за один рабочий день
Коэффициент статического использования грузоподъемности
где — масса фактически перевезенного груза, т,
— масса груза, которая могла быть перевезена, т
Коэффициент динамического использования грузоподъемности
Забиваем Сайты В ТОП КУВАЛДОЙ - Уникальные возможности от SeoHammer
Каждая ссылка анализируется по трем пакетам оценки: SEO, Трафик и SMM.
SeoHammer делает продвижение сайта прозрачным и простым занятием.
Ссылки, вечные ссылки, статьи, упоминания, пресс-релизы - используйте по максимуму потенциал SeoHammer для продвижения вашего сайта.
Что умеет делать SeoHammer
— Продвижение в один клик, интеллектуальный подбор запросов, покупка самых лучших ссылок с высокой степенью качества у лучших бирж ссылок.
— Регулярная проверка качества ссылок по более чем 100 показателям и ежедневный пересчет показателей качества проекта.
— Все известные форматы ссылок: арендные ссылки, вечные ссылки, публикации (упоминания, мнения, отзывы, статьи, пресс-релизы).
— SeoHammer покажет, где рост или падение, а также запросы, на которые нужно обратить внимание.
SeoHammer еще предоставляет технологию Буст, она ускоряет продвижение в десятки раз,
а первые результаты появляются уже в течение первых 7 дней.
Зарегистрироваться и Начать продвижение
где _ фактически выполненная транспортная работа, т х км, —
возможная транспортная работа, т х км.
Коэффициент использования пробега
,
где — груженый пробег, км;
- общий пробег, км,
- первый нулевой пробег, км,
-
холостой пробег, км,
- второй нулевой пробег, км
Среднее расстояние ездки с грузом, км

где n- число ездок
Среднее расстояние перевозки, км

где Р
— транспортная работа, т xкм, Q - объем перевозок, т
Техническая скорость, км/ч

где - время движения, ч.
Эксплуатационная скорость, км/ч

где -
время в наряде, ч.
Количество ездок

где - время одной ездки, ч.
Время
одной ездки

где — время движения груженого автомобиля,
— время движения без груза, ч;
- время погрузки груза, ч,
— время разгрузки груза, ч.
Этот показатель можно рассчитать и по формуле:
,
где — время простоя автомобиля под погрузкой и разгрузкой, ч.
Производительность подвижного состава за время в
наряде определяется произведением грузоподъемности автомобиля (в тоннах), коэффициента использования его грузоподъемности q
на количество ездок совершенных автомобилем
Повышение производительности подвижного состава может быть достигнуто улучшением различных показателей работы автомобилей.
Если в формулу определения производительности подвижного состава Q подставим значение количества ездок и время одной ездки,
то получим выражение производительности, которая зависит от технико-эксплуатационных показателей работы подвижного состава:

Каждый показатель, входящий в формулу, оказывает влияние на производительность единицы подвижного состава. Характер и степень влияния этих показателей на производительность выражается определенными зависимостями (рис. 1).
Схема расчета себестоимости перевозок на автотранспортном предприятии представлена в табл. 1.
Столбцы 4,5,6 являются калькуляцией себестоимости автомобильных перевозок. Размер тзатрат по итоговойстроке этих граф определяют делением суммы расходов по статьям на количество единиц транспортной продукции. Так, себетоимость 1 т х км рассчитывают делением полной себестоимости на транспортную работу, т. е. на общее количество выполненных тонно-километров за рассматриваемый период



Рис. 1. Влияние различных показателей на производительность автомобиля:
а
— влияние грузоподъемности, времени о наряде и коэффициента использования грузоподъемности; б —
влияние технической скорости; в
— влияние времени простоя под погрузкой и разгрузкой; г —
влияние коэффициента использования пробега; д
— влияние среднего
Сервис онлайн-записи на собственном Telegram-боте
Попробуйте сервис онлайн-записи VisitTime на основе вашего собственного Telegram-бота:
— Разгрузит мастера, специалиста или компанию;
— Позволит гибко управлять расписанием и загрузкой;
— Разошлет оповещения о новых услугах или акциях;
— Позволит принять оплату на карту/кошелек/счет;
— Позволит записываться на групповые и персональные посещения;
— Поможет получить от клиента отзывы о визите к вам;
— Включает в себя сервис чаевых.
Для новых пользователей первый месяц бесплатно.
Зарегистрироваться в сервисе
расстояния перевозки с грузом
| №п/п |
Статья затрат |
Полная себестоимость, тыс. руб. |
Калькуляция себестоимости |
| 1тхкм |
1 км |
1 ч. |
| 1 |
Заработная плата водителей |
+
|
+
|
—
|
(Условно) + |
| Переменные расходы |
| 2 |
Топливо |
+
|
+
|
+ |
- |
| 3 |
Смазочные и обтирочные материалы |
+
|
+
|
+
|
- |
| 4 |
Техническое обслуживание и ремонт подвижного состава |
+
|
+ |
+
|
- |
| 5 |
Восстановление и ремонт шин |
+
|
+ |
+
|
- |
| 6 |
Амортизация подвижного состава (в части, предназначенной накапитальный ремонт) |
+
|
+ |
+
|
- |
| Постоянные расходы |
| 7 |
Накладные расходы |
+
|
+
|
-
|
+
|
| 8 |
Амортизационные отчисления (в части, предназначенной на полное восстановление) |
+
|
+ |
- |
+
|
| Итого |
Таблица 1.
Расчет себестоимости перевозок на автотранспортном предприятии.
Примечание. Знак « + » —
расходы, которые необходимо рассчитывать по статье;
знак «-» расходы, которые не рассчитываются по статье.
Логистические организации участвуют в транспортном процессе и тем самым оказывают существенное влияние на себестоимость перевозки грузов автомобильным транспортом. Знание работниками организаций влияния эксплуатационных показателей на себестоимость 1 т-км позволяет правильно использовать транспортные средства при доставке продукции потребителям и тем самым снизить себестоимость перевозок грузов.
Проведенные на автомобильном транспорте исследования показали, что изменение дальности перевозки (рис. 2 а)
оказывает существенное влияние на себестоимость. На небольших расстояниях она высокая, а с увеличением его она сокращается.
С увеличением технической скорости и сокращением времени простоя под погрузкой и разгрузкой возрастают пробег и производительность автомобиля при неизменной сумме постоянных расходов, что позволяет снизить себестоимость перевозок, приходящихся на 1 т - км.
При повышении коэффициентов использования грузоподъемности и пробега подвижного состава резко снижается себестоимость перевозок (рис. 2 б)
так как при этом уменьшается сумма и переменных и постоянных расходов, приходящихся на 1 т х км.

Рис. 2. Зависимость себестоимости от различных факторов:
а —
влияние среднего расстояния перевозок (I) и средней техническое скорости движения автомобиля (2); б
— влияние времени простоя под погрузкой и разгрузкой (1), коэффициентов использования грузоподъемности (2) и пробега (3)
Поскольку себестоимость перевозок зависит от объема выполненной работы и затраченных на нее средств, основным условием ее снижения являются рост производительности труда водителей и других работников автотранспортных предприятий, экономия материальных ресурсов (снижение затрат топлива, материалов, запасных частей и т. п.), а также сокращение административно-управленческих расходов путем рационализации управления автотранспортными предприятиями.
Огромную роль в снижении себестоимости перевозок играют эффективная организация перевозок и комплексная механизация погрузочно-разгрузочных работ. Рациональное решение этих вопросов позволяет максимально использовать грузоподъемность автомобилей и обеспечить их минимальный простой при погрузке и разгрузке. Значительное снижение себестоимости достигается применением прицепов, которые резко увеличивают производительность автомобиля и способствуют повышению коэффициента использования пробега.
3. Маршруты движения автотранспорта. Расчет технико-эксплуатационных показателей его работы на маршрутах
Движение автотранспорта происходит по маршрутам.
Маршрут движения —
путь следования автомобиля при выполнении перевозок.
Основные элементы маршрута:
- длина маршрута —
путь, проходимый автомобилем от начального до конечного пункта маршрута;
- оборот автомобиля
— законченный цикл движения, т. е движение от начального до конечного пункта и обратно,
- ездка
— цикл транспортного процесса, т е. движение от начального до конечного пункта
Основные элементы маршрута показаны на рис 3.

Рис. 3. Основные элементы маршрута.
Расстояние, на которое транспортируется груз за ездку, называется длиной ездки с грузом (
l
ег
).
Маршруты движения могут быть маятниковые и кольцевые. Схемы маятниковых маршрутов показаны на рис. 4. При маятниковом маршруте
путь следования автомобиля между двумя грузопунктами неоднократно повторяется.

Рис. 4 Схемы маршрутов.
а
- с обратным холостым пробегом; 6
— с обратным неполностью груженым пробегом, в —
с обратным груженым пробегом; г
— кольцевой маршрут, β— коэффициент пробега автомобиля на маршруте.
Кольцевой маршрут
— маршрут движения автомобиля по замкнутому контуру, соединяющему несколько потребителей (поставщиков).
Разновидностями кольцевых маршрутов являются развозочные, сборные и сборно-развозочные маршруты.
Развозочным
называется такой маршрут, при котором продукция загружается у одного поставщика и развозится нескольким потребителям Сборный маршрут
— это маршрут движения, когда продукция получается у нескольких поставщиков и доставляется одному потребителю. Сборно-развозочный маршрут
— это сочетание развозочного и сборного маршрутов
Необходимые показатели для расчета работы автомобиля на маршрутах:
t
е
- время ездки автомобиля, ч;
t0
— время оборота автомобиля, ч;
tH
—
время, затраченное на нулевой пробег, ч,
— время движения груженого автомобиля, ч;
t
р
—
время разгрузки автомобиля, ч;
t
п
—
время погрузки автомобиля, ч;
tx
— время движения автомобиля без груза, ч;
1ег
—
расстояние груженой ездки, км;
lx
- расстояние ездки автомобиля без груза, км;
Qсут.
— суточный объем перевозки по массе, т;
Wсут. —
суточный грузооборот, ткм;
ne
— количество ездок автомобиля за время работы на маршруте,
— статический коэффициент использования грузоподъемности,
Vt
— техническая скорость, км/ч;
Ax
— количество автомобилей на маршруте,
TH
— время работы автомобиля на маршруте, ч;
q
—
грузоподъемность автомобиля, г,
—
расстояние перевозки в прямом направлении, км:
_
расстояние перевозки в обратном направлении, км;
l
ср.
— среднее расстояние перевояки, км,
— коэффициент использования пробега автомобиля за 1 оборот;
LM
—
общая длина кольцевого маршрута, км;
n0
— количество оборотов.
Рассмотрим расчет технико-экономических показателей на разных маршрутах.
3.1.
Маятниковый маршрут с обратным холостым пробегом.
График работы автомобиля на маршруте приведен на рис. 5


Рис. 5. График работы автомобиля на маятниковом маршруте с обратным холостым пробегом (а) и его схема (б).
Технико-экономические показатели для этого маршрута рассчитываются по следующим формулам:

При условии:

Пример 1.
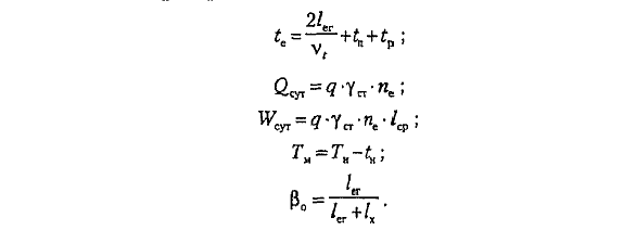
Определить необходимое количество автомобилей для перевозки 320 т груза второго класса. Автомобили работают на маятниковом маршруте с обратным холостым пробегом: грузоподъемность автомобиля q=4т;
длина груженой ездки и расстояние ездки без груза le
г=
15 км; статистический коэффициент использования грузоподъемности =0,8,
время простоя под разгрузкой и разгрузкой t
п
p
=
30 мин, техническая скорость vt
= 25 км/ч; время работы автомобиля на маршруте TM
=8,5 ч.
Решение.
Определяем время оборота автомобиля на маршруте, ч:

Определяем количество оборотов за время работы автомобиля на маршруте, т:

3. Определяем возможную массу груза, перевезенную автомобилем за день, т:

4.Определяем необходимое количество автомобилей для перевозки 320 т груза:

5. Определяем коэффициент использования пробега:

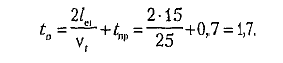
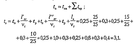
3.2. Маятниковый маршрут с обратным неполностью груженым пробегом.
Схема и график работы автомобиля на маршруте показаны на рис. 6.
Основные показатели для решения задач:

При перевозке одного груза:




Рис. 6. График работы автомобиля на маятниковом маршруте с неполностью груженным пробегом (а) и его схема (б).
Пример 2.
Автомобили должны перевезти грузы массой 300 т на маятниковом маршруте с обратным не полностью груженым пробегом q
= 5 т; l'ег
= 25км; l"ЕГ
= 15 км; =1,0; lх
=10 км; tп=15 мин, tp
= 18мин, vt
= 25 км/ч; Tм
= 9,3 ч. Определить необходимое количество автомобилей для перевозки продукции и коэффициент использования пробега автомобиля за 1 оборот.
Решение.
Определяем время оборота автомобиля, ч

Определяем количество оборотов:

3. Определяем количество ездок:

4.
Определяем производительность автомобиля, т:

5Определяем необходимое количество автомобилей

6Определяем коэффициент использования пробега за 1 оборот

3.3. Маятниковый маршрут с обратным полностью груженым пробегом.
Схема и график работы приведены на рис. 7.


Рис. 7. График работы автомобиля на маятниковом маршруте с обратным полностью груженым пробегом (а) и его схема (б).
Основные показатели для решения задач:


при перевозке однородного груза:

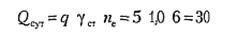
Пример 3.
Автомобиль-самосвал работал на маятниковом маршруте с груженым пробегом и обоих направлениях: q
= 3,5 т; lег
= 5км; lH
= 5 км; tпр
=12 мин. , =1,0; vt
= 25 км/ч; Tм
= 9,3 ч Определить количество автомобилей при объеме перевозок 385 т и коэффициент использования пробега за день.
Решение.
1. Определяем время оборота автомобиля, ч:

2- Определяем количество оборотов и ездок:

3.Объем перевозки груза, т;

4.Необходимое количество автомобилей для перевозки грузов

5. Коэффициент использования пробега автомобиля за один день

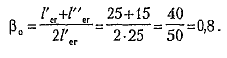
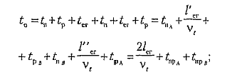
3.4. Кольцевой маршрут.
Схема и график приведены на рис. 8.


Рис. 8. График работы автомобиля на кольцевом маршруте (а) и его схема (б).
Расчет основных показателей для решения задач:
время оборота подвижного состава на кольцевом маршруте
количество оборотов автомобиля за время работы на маршруте
где Тм
—
время работы автомобиля на маршруте, ч;
где nГР
— количество груженых ездок за оборот;
дневная выработка автомобиля,
т; ткм

где 1ег
—
средняя длина груженой ездки за оборот, км:

среднее расстояние перевозки за оборот,
км

среднее время простоя под погрузкой-разгрузкой за каждую ездку
за
оборот,
ч
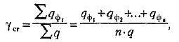
средний коэффициент статического использования грузоподъемности за оборот
Или
Где qф
i
- масса погружаемого в каждом пункте груза, т;
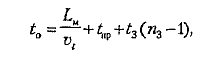
время оборота автомобиля на развозочном маршруте, ч
где t
3
- время на каждый заезд, ч;
n3
- количество заездов.
Пример
4
.
Произвести расчет показателей кольцевого маршрута (схему и график его работы см. рис. 8). Исходные данные для расчета: нулевой пробег lH
= 4 км, время погрузки tп
= 0,4 ч, время разгрузки tp
=0,2 ч, грузоподъемность автомобиля q
= 5 т, время в наряде T
н
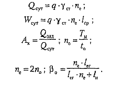
=10 ч, продолжительность работы автохозяйства — 305 дней. Другие данные представлены в табл. 2.
Решение.
При расчете кольцевых маршрутов определяем число оборотов автомобиля на маршруте, а затем производительность и другие технико-эксплуатационные показатели.
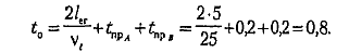
1. Определяем время работы автомобиля на маршруте, ч:

Данные для расчета.
| Участки маршрутов |
Расстояние между грузопунктами, км |
Объем перевозок, тыс. т |
Коэффициент использования грузоподъемности,  |
Техническая скорость, ед. изм. |
| AB
|
lAB
=10 |
QAB
=
250 |
1,0 |
VАВ
= 20,0 |
| ВС
|
lBC
=5 |
- |
-
|
VВС
= 15,0 |
| СД
|
lCD
=12 |
QCD
=
200 |
0,8 |
VС
D
= 25,0 |
| ДЕ
|
lDE
=9 |
QDE
=
150 |
0,6 |
VDE
= 20,0 |
| ЕА
|
lEA
=9 |
- |
-
|
VEA
= 15,0 |
| Нулевой пробег |
VH
= 20,0 |
Таблица 2.
2. Устанавливаем время оборота автомобиля, ч

Время, которое затрачивает автомобиль за оборот, равно 4,36 ч.
3. Определяем число оборотов автомобиля на маршруте за время работы:

принимаем число оборотов п0
=2
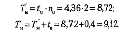
4. Пересчитываем время работы автомобиля на маршруте и в наряде в связи с округлением числа оборотов, ч;

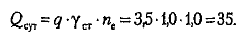
5. Определяем дневную выработку автомобиля в тоннах и тонно-километрах:
а) масса привезенных грузов, т:

б) транспортная работа, т-км

6. Определяем необходимое количество автомобилей для работы на маршруте

7.Определяем суточный пробег автомобиля, км

8.Коэффициент использования пробега на маршруте

4.
Применение математических методов для организации материалопотока.
Применение математических методов и моделей в логистике необходимо в тех случаях, когда проблема сложна и решить ее простейшими методами на основе опыта работы невозможно. В этом случае непродуманное и научно не обоснованное решение может привести к серьезным последствиям. Примеров этому в нашей жизни имеется не мало, в частности, в логистике и экономике. Использование математических методов и моделей позволяет логисту осуществить выбор оптимальных или близких к ним вариантов решений по определенным критериям. Естественно, эти решения научно обоснованы, и логист, принимающий решения, может руководствоваться ими при выборе окончательного решения.
В этом разделе будут рассмотрены некоторые математические модели, которые могут быть использованы логистом при принятии логистических решений при продвижении материалопотока автомобильным транспортом.
На автомобильном транспорте методом линейного программирования решают такие задачи:
- отыскание оптимального числа ездок автомобилей на маршрутах при установленном времени пребывания в наряде (задача
на минимальные потери рабочего времени);
- отыскание оптимального варианта закрепления получателей за поставщиками однородной продукции (задача на минимум пулевых пробегов);
- составление рациональных маршрутов работы подвижного состава — увязка ездок (задача на минимум холостых пробегов);
- организация развозочных и сборочных маршрутов (задача па определение минимального пробега при объезде грузопунктов);
- распределение подвижного состава и погрузочно-разгрузочиых средств по маршрутам работы (задача па максимальное использование рабочего времени автомобилей и погрузочно-разгрузочиых механизмов
и др.).
Все перечисленные задачи базируются на математическом моделировании изучаемого процесса, т. е. на описании количественных закономерностей этого процесса, с помощью математических выражений (математической модели). Математическая модель, как уже было сказано, является абстрактным изображением реального процесса и в меру своей абстрактности может его характеризовать более или менее точно.
Одной из задач в логистической системе является разработка стратегии и логистической концепции построения модели транспортного обслуживания потребителей и фирм. Эта стратегия основывается на расчете рациональных маршрутов перевозки и составлении оптимальных графиков (расписаний) доставки продукции потребителям, т. е. отвечает на вопросы, когда, сколько
и в какое время
должны быть доставлены грузы.
Вариантами организации движения автомобиля могут быть: маятниковый маршрут с обратным порожним пробегом
или развозоч-ный маршрут при перевозке мелкопартиониых грузов потребителям.
Подробно рассмотрим организацию этих маршрутов.
4.1. Маятниковый маршрут с обратным порожним пробегом.
На практике при планировании работы автомобилей по маятниковым маршрутам с обратным холостым пробегом руководствуются единственным правилом: последний пункт разгрузки автомобилей должен быть как можно ближе к автохозяйству. При соблюдении этой основанной на здравом смысле рекомендации обеспечивается минимум пробега без груза. Анализ рассматриваемой задачи методом линейного программирования показал, что такое решение совсем неочевидно. Для доказательства рассмотрим пример.
Пример 5.
Допустим, что с базы А необходимо доставить продукцию потребителям Б1
и Б2.
К обоим потребителям автомобиль может сделать за время в наряде две ездки. Необходимо составить маршрут движения автомобиля, обеспечивающий минимум порожнего пробега.
Условия задачи, схема размещения потребителей, на примере решения которой составляется маршрут движения, приведены на рис.9.

Рис. 9. Схемы размещения потребителей
Решение.
При решении этой задачи могут возникнуть два случая:
1)продукция поставляется в пункт Б2, а затем в Б1, из Б1 автомобиль поступает в АТП (пункт Г);
2)продукция поставляется в пункт Б2,
а потом в Б1, из Б1 автомобиль возвращается в АТП (пункт Г).
Для выбора варианта перевозки продукции произведем расчет коэффициента использования пробега автомобиля и полученные значения сведем в табл. 3.
| Показатель |
Вариант I |
Вариант II |
| Пробег, км: |
| общий |
103,0 |
97,5 |
| порожний |
57,0 |
51,5 |
| груженый |
46,0 |
46,0 |
| Коэффициент использования пробега |
0,44 |
0,47 |
Таблица 3. Коэффициент использования пробега автомобиля β по вариантам
Как видно из таблицы, наиболее эффективен второй вариант, поскольку коэффициент использования пробега во втором случае выше, чем в первом.
Однако если руководствоваться правилом, что наименьший пробег достигается, когда первый пункт погрузки и последний пункт разгрузки находятся поблизости от автотранспортного предприятия, целесообразен первый вариант, Чтобы проверить правильность выбора, решим задачу математическом методом.
Задача составления рациональных маршрутов, обеспечивающих минимальный порожний пробег транспортных средств, сводится к следующей задаче линейного программирования:
минимизировать линейную формулу

При условиях

Допустим, что пункты назначения занумерованы в порядке возрастания разностей 

Тогда оптимальное решение таково:

где L
—
порожний пробег, км;
l
Б
j
0
— расстояние от пункта назначения Бj
, до автотранспортного предприятия (второй нулевой пробег), км;
l
АБ
- расстояние от А до Бj
(груженый пробег), км;
j
— номер (индекс) потребителя (j= 1, 2, …
п);
Xj
— количество автомобилей, работающих на маршрутах с последним пунктом разгрузки Бj
;
N
— число автомобилей, работающих на всех маршрутах;
Qj
— объем перевозок.
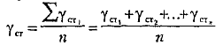
Решая эту задачу, мы должны знать, что наилучшее решение получается при такой системе маршрутов, когда максимальное число автомобилей заканчивает работу в пунктах назначения с минимальными разностями т. е. второго нулевого и груженого пробегов.
Для решения задачи необходимо исходные данные записать в специальную таблицу, с помощью которой произвести все необходимые вычисления по составлению маршрутов (табл. 4).
| Пункт назначения |
Количество груженых ездок |
Столбец разностей |
| Б1
|
 |
Q1
|
 |
 |
| Б2
|
 |
Q2
|
 |
 |
| … |
| Бj
|
 |
Qj
|
 |
 |
| …
|
| Бn
|
 |
Qn
|
 |
 |
Таблица 4. Исходные данные.
Для каждого пункта назначения, т. е. по каждой строке, рассчитывают алгебраические разности , которые записывают в соответствующие клетки столбца разностей.
Рассмотрим применение предложенного алгоритма на примере, воспользовавшись исходными данными, приведенными на рис. 9.
Исходя из этих условий составляем таблицы объема перевозок (ездок) и расстояния перевозок (табл. 5, 6).
| Пункт отправления |
Пункт назначения |
| Б1 |
Б2 |
| А |
2 |
2 |
Таблица 5. Объем перевозок(ездки)
| Пункт отправления |
Автохозяйство |
Пункт назначения |
| Б1 |
Б2 |
| А
|
13 |
8 |
15 |
| Г |
—
|
6 |
7,5 |
Таблица 6. Расстояние перевозок, км.
Составляем рабочую матрицу условий (табл. 7), используя данные таблиц, и решаем ее.
| Пункт назначения |
А
(пункт отправления)
|
Столбец разностей (оценки,) |
| Б, |
6 |
2 |
8 |
-2 |
| Б, |
7,5 |
2 |
15 |
-7,5 |
Таблица 7. Рабочая матрица условий.
Наименьшую оценку (-7,5) имеет пункт Б2
, в который нужно сделать две ездки. Принимаем его последним пунктом маршрута А — Б2 - Г, т. е. получаем маршрут варианта II.
Расчет экономической эффективности применения экономико-математических методов при маршрутизации перевозок определяют по формуле:

где LГР
- пробег подвижного состава с грузом, тыс, км;
β1,
β2
-
коэффициенты использования пробега, вычисленные до применения ЭВМ и на ЭВМ;
С1
- средние затраты на i км пробега подвижного сэстава, коп.;
3
— расходы на выполнение расчетов по решению задач, тыс. руб.
4.2. Развозочный маршрут при перевозке мелкопартионных грузов потребителям.
Постановка задачи.
Заданы пункты потребления Xi
(
i
=1,2,…,n). Груз необходимо развезти из начального пункта Х0
(склад) во все остальные X
i
(потребители). Потребность пунктов потребления в объеме поставки составляет q
1
,
q
2
,…,
qn
. В начальном пункте имеются транспортные средства в количестве d
грузоподъемностью Q1
,Q2,…,
Qd
.
Известно также расстояние перевозки lij
между потребителями.
При решении задачи необходимо учитывать, что количество транспортных средств d
должно быть больше, чем пунктов потребления n
(
d
> п);
в начальном пункте Х0
(склад) количество продукции должно быть больше или равно сумме потребностей всех потребителей . Каждый пункт потребления обслуживается
подвижным составом одного типа (автомобиль грузоподъемностью 2,5 т); груз 2-го класса; γ=0,8.
Для каждой пары пунктов (X
i
,.... Хп
) определяем расстояние перевозки lij
.
Это расстояние должно быть больше или равно нулю, т. е. lij
>0.
Схема размещения пунктов и расстояния между ними приведены рис. 10.

Рис. 10. Схема размещения пунктов и расстояния между ними
Требуется найти т
замкнутых путей l
1
,
l
2
,…
lm
из единственной общей точки X0
и так, чтобы выполнялось условие:

Заключение.
Список литературы.
|