|
Содержание
:
Введение. 3
Глава 1. Экология. 4
1.1 Определение экологии, факторы и действия
4
1.2 Экологические аспекты.. 5
1.3 Мероприятия по охране окружающей среды…………………………………...6
Глава 2. Экологические системы.. 7
2.1 Экологическая система и ее классификация. 7
2.2 Основные типы природных экосистем и биомов. 8
2.3 Биотическая структура экологической системы..
9
2.4 Разделение экологической системы на блоки,
принципы функционирования………………………………………………….11
2.5 Характер связей в экосистеме…………………………………………………..14
Заключение. 17
Список используемой литературы.. 18
Введение
Живые организмы и их неживое (абиотическое) окружение неразделимо связаны друг с другом, находятся в постоянном взаимодействии. Любая единица (биосистема), включающая все совместно функционирующие организмы (биотическое сообщество) на данном участке и взаимодействующая с физической средой таким образом, что поток энергии создает четко определенные структуры и круговорот веществ между живой и неживой частями, представляет собой экологическую систему.
Экологическая система,
или экосистема,
— основная функциональная единица в экологии, так как в нее входят организмы и неживая среда — компоненты, взаимно влияющие на свойства друг друга и необходимые условия для поддержания жизни в той ее форме, которая существует на Земле. Термин «экосистема»
впервые был предложен в 1935 г. английским экологом А. Тенсли
(1871—1955).
Само же представление об экосистеме возникло значительно раньше. Упоминание об единстве организмов и среды можно найти в самых древних письменных памятниках истории. Однако только в конце XIX в. Стали появляться высказывания такого рода, при этом практически одновременно в американской, европейской и русской литературе (К. Мебиус, 1877; С. Форбс, 1877; В. Докучаев, 1886 и др.).
В настоящее время широкое распространение получило следующее определение экосистемы. Экосистема — это любая совокупность организмов и неорганических компонентов, в которой может осуществляться круговорот веществ.
По Н. Ф. Реймерсу (1990), экосистема — это любое сообщество живых существ и его среда обитания, объединенные в единое функциональное целое, возникающее на основе взаимозависимости и причинно-следственных связей, существующих между отдельными экологическими компонентами.
Следует подчеркнуть, что совокупность специфического физико-химического окружения (биотопа) с сообществом живых организмов (биоценозом) и образует экосистему. А. Тенсли (1935) предложил следующее соотношение: Экосистема = Биотоп + Биоценоз
Забиваем Сайты В ТОП КУВАЛДОЙ - Уникальные возможности от SeoHammer
Каждая ссылка анализируется по трем пакетам оценки: SEO, Трафик и SMM.
SeoHammer делает продвижение сайта прозрачным и простым занятием.
Ссылки, вечные ссылки, статьи, упоминания, пресс-релизы - используйте по максимуму потенциал SeoHammer для продвижения вашего сайта.
Что умеет делать SeoHammer
— Продвижение в один клик, интеллектуальный подбор запросов, покупка самых лучших ссылок с высокой степенью качества у лучших бирж ссылок.
— Регулярная проверка качества ссылок по более чем 100 показателям и ежедневный пересчет показателей качества проекта.
— Все известные форматы ссылок: арендные ссылки, вечные ссылки, публикации (упоминания, мнения, отзывы, статьи, пресс-релизы).
— SeoHammer покажет, где рост или падение, а также запросы, на которые нужно обратить внимание.
SeoHammer еще предоставляет технологию Буст, она ускоряет продвижение в десятки раз,
а первые результаты появляются уже в течение первых 7 дней.
Зарегистрироваться и Начать продвижение
Глава 1.
1.1
Экология
Термин «Экология» впервые был введён в 1869 году Геккелем. По определению Геккеля «Экология» - наука об экономии природы (наука о жилище – греч.). Экология
– наука об отношении организма или групп организмов к окружающей среде в соответствии с уровнем организации окружающей жизни.
Существует два вида экологии:
1) Аутэкология
– взаимоотношение со средой отдельного организма.
2) Синэкология
– комплексное изучение групп организмов, составляющих определённое единство.
Экология быстро развивается на стыке с другими науками. Существует эерографическая, химическая, математическая экологии.
Задачи экологии как науки:
1) Исследование закономерности организации жизни, в т.ч. и в связи с антропогенным воздействием на отдельные экологические системы и всю биосферу в целом.
2) Создание научной основы рационального использования природных ресурсов.
3) Восстановление нарушенных природных систем.
4) Регулирование численности популяции живых организмов.
5) Сохранение эталонных участков биосферы.
Экологические факторы и их действия
Экологический фактор
– это любое условие среды, способное оказать прямое или косвенное воздействие на живые организмы хотя бы на одной из фаз их развития.
Экологические факторы делятся на две категории:
1) Факторы неживой природы или абиотические факторы.
2) Факторы живой природы или биотические факторы.
Абиотические факторы в свою очередь делятся на:
1) Климатические (освещённость, температура, влажность, атмосферное давление, скорость движения ветра)
2) Почвенно-грунтовые (плотность, механический состав, влагоёмкость, воздухопроницаемость)
3) Орографические (рельеф, высота над уровнем моря)
4) Химические (газовый состав воздуха, количество растворённых в воде солей и т.д.)
Биотические факторы в свою очередь делятся на:
1) Зоогенные (животный мир)
2) Фитогенные (факторы растительности)
3) Микробиогенные (влияние живых организмов)
4) Антропогенные (влияние человека)
Экологические факторы можно классифицировать по степени постоянства их воздействия на живые организмы или по периодичности. Бывают:
Сервис онлайн-записи на собственном Telegram-боте
Попробуйте сервис онлайн-записи VisitTime на основе вашего собственного Telegram-бота:
— Разгрузит мастера, специалиста или компанию;
— Позволит гибко управлять расписанием и загрузкой;
— Разошлет оповещения о новых услугах или акциях;
— Позволит принять оплату на карту/кошелек/счет;
— Позволит записываться на групповые и персональные посещения;
— Поможет получить от клиента отзывы о визите к вам;
— Включает в себя сервис чаевых.
Для новых пользователей первый месяц бесплатно.
Зарегистрироваться в сервисе
1) Первичные периодические факторы, т.е. факторы, связанные с вращением Земли вокруг Солнца и вокруг своей оси. Это смена времён года, смена дня и ночи.
2) Вторичные периодические факторы, которые являются следствием первичных периодических факторов. Это температура, влажность, количество растворённого в воде кислорода, количество растительной пищи и другие.
3) Непериодические факторы. Это почвенно-грунтовые факторы, факторы, связанные со стихийными бедствиями, большинство антропогенных воздействий.
1.2 Экологические аспекты
Автотранспорт является источником загрязнения атмосферы, количество автомашин непрерывно растет. Сегодня на долю автотранспорта приходится более 80% всех загрязнений. Основные компоненты, выбрасываемые в атмосферу при сжигании различных видов топлива в деталях всех видов, - нетоксичные диоксид углерода СО2 и водяной пар Н2О. Однако кроме них в атмосферу выбрасываются и вредные вещества, такие как оксид углерода, оксид серы, азота соединения свинца, сажа, углеводороды, в том числе канцерогенный бензапирен С2Н12, несгоревшие частицы топлива и т.п.
По расчетам специалистов, «вклад» автомобильного транспорта в атмосферу составляет до 90% по окиси углерода и 70% по окиси азота. Наиболее значимые факторы отрицательного влияния автомобильного транспорта на человека и окружающую среду следующие:
- загрязнение воздуха;
- шумовое воздействие;
- фототехническое воздействие.
1.3 Мероприятия по охране окружающей среды
С момента, когда автомобиль стал массовым, автомобильные дороги, города неизбежно сопровождают автомобильные заторы, приводящие к ряду значительных проблем и неудобств для водителей. Автомобильные заторы и массовая автомобилизация:
- является основным источником загрязнения воздуха в городах (более 80-90%);
- является основной причиной существующего ухудшения здоровья человека;
- увеличивает время в пути и пробег в несколько раз, дестабилизируют работу транспорта;
- снижают двигательную активность, также ведущую к ухудшению физического состояния;
- требует больших мест под парковки, стоянки, остановки;
- снижает эффективность работ экстренных служб (пожарные, скорая помощь, милиция);
- срывают работу общественного транспорта.
Кажущаяся большая скорость автомобиля по сравнению с общественным транспортом, застревающим в тех же пробках, вынуждает гаражам пересаживаться из общественного транспорта в личный автомобиль. Это вызывает новый виток автомобилизации и усугубления проблемы пробок.
Загрязнение атмосферы городов зависит непосредственно от интенсивности автомобильного движения, организации дорожного движения, степени мастерства вождения, технического состояния транспортных средств и планово-предупредительной системы ТО и ТР автомобилей, а также применения антитоксичных устройств.
Основные пути снижения экологического ущерба от транспорта заключается в следующем:
1. оптимизация движения автомобильного транспорта;
2. разработка альтернативных энергоисточников;
3. дожигание и очистка органического топлива;
4. создание (модификация) двигателей, использующих альтернативные топлива;
5. защита от шума;
6. экономические инициативы по управлению автомобильным парком и движением.
Глава 2
2.1 Экологическая система.
Экологическая система
– биоценоз и биотоп, составляющие два нераздельных элемента, действующих друг на друга и образующих более или менее устойчивую систему. Масштабы экосистем: капля воды – пруд, лес – океан).
По определению английского ботаника А. Тенсли (1935) экосистемой называют любую устойчивую совокупность организмов и неорганических компонентов, в которой может осуществляться круговорот веществ.
Сообщества организмов связаны с неорганической средой материально-энергетическими связями. Растения существуют за счет постоянного поступления в них углекислого газа, воды, кислорода, минеральных солей. Гетеротрофы (животные) живут за счет автотрофов (растений), но нуждаются в поступлении неорганических соединений – кислорода и воды.
В любом конкретном местообитании запасов неорганических соединений хватило бы ненадолго, если бы эти запасы не возобновлялись. Возврат биогенных элементов в среду происходит как в течение жизни организмов так и после их смерти, в результате разложения трупов и растительных остатков.
Таким образом, сообщество образует с неорганической средой определенную систему, в которой поток атомов, вызываемый жизнедеятельностью организмов, имеет тенденцию замыкаться в круговорот.
А. Тенсли подчеркивал, что неорганические и органические факторы
выступают как равноправные компоненты
и мы не можем отделить организмы от конкретной окружающей их среды.
На Земле выделяют 3 типа природных экосистем:
1) морские экосистемы
(открытого океана, морских побережий, речных дельт, и т.д.);
2) пресноводные экосистемы
(реки, озера, болота);
3) наземные экосистемы
(пустыни, леса, тундры, степи, и т.д.)
Классификация экологической системы
Существующие на Земле экосистемы разнообразны.
Выделяют:
- микроэкосистемы
, обычно составляющие индивидуальные консорции (например, ствол гниющего дерева);
- мезоэкосистемы
(лес, пруд и т. д.);
- макроэкосистемы
(континент, океан и др.)
и глобальную —
биосфера.
Крупные наземные экосистемы называют биомами.
Каждый биом включает в себя целый ряд меньших по размерам, связанных друг с другом экосистем. Существует несколько классификаций экосистем. Например, одна из них, основанная на особенностях макроструктуры, приведена в таблице 1.
Таблица 1
2.2 Основные типы природных экосистем и биомов
| Наземные биомы
|
Вечнозеленый тропический дождевой лес
Полувечнозелеиый тропический лес: выраженный влажный и сухой сезоны
Пустыня: травянистая и кустарниковая
Чапараль — районы с дождливой зимой и засушливым летом
Тропические грасленц и саванна
Степь умеренной зоны
Листопадный лес умеренной зоны
Бореальные хвойные леса
Тундра: арктическая и альпийская
|
| Типы пресноводных экосистем
|
Ленточные (стоячие воды): озера, пруды и т. д.
Логические (текучие воды): реки, ручьи и т. д.
Заболоченные угодья: болота и болотистые леса
|
| Типы морских
экосистем
|
Открытый океан (пелагическая)
Воды континентального шельфа (прибрежные воды)
Районы апвеллинга (плодородные районы с продуктивным рыболовством)
Эстуарии (прибрежные бухты, проливы, устья рек, соленые марши и т.д)
|
Наземные биомы здесь выделены по естественным или исходным чертам растительности, а типы водных экосистем по геологическим и физическим особенностям. Перечисленные в таблице 1, 16 основных типов экосистем представляют собой ту среду, на которой развилась человеческая цивилизация, представляют основные биотические сообщества, поддерживающие жизнь на Земле.
2.3
Биотическая структура экологической системы
Экосистема имеет определенную функциональную структуру. В нее входят группы организмов, различаемые по способу питания – автотрофы
и гетеротрофы
.
Автотрофы
(самопитающие) — организмы, образующие органическое вещество своего тела из неорганических веществ посредством фотосинтеза
и хемосинтеза
.
Фотосинтез
осуществляют фотоавтотрофы — все хлорофиллоносные (зеленые) растения и микроорганизмы.
Хемосинтез
наблюдается у некоторых бактерий, использующих в качестве источника энергии окисление водорода, серы, сероводорода, аммиака, железа. Хемоавтотрофы
в природных экосистемах играют относительно небольшую роль, за исключением чрезвычайно важных нитрифицирующих бактерий.
Автотрофы составляют основную массу всех живых существ и полностью отвечают за образование всего нового органического вещества в любой экосистеме, т.е. являются производителями продукции — продуцентами экосистем
.
Гетеротрофы
(питающиеся другими) — организмы, потребляющие органическое вещество других организмов и продуктов их жизнедеятельности. Это все животные, грибы и большая часть бактерий. В отличие от автотрофов-продуцентов гетеротрофы выступают как потребители и деструкторы (разрушители) органических веществ.
Итак, для поддержания круговорота веществ в экосистеме необходимо:
1) наличие запаса неорганических веществ (молекул) в усвояемой форме;
2) 3 функционально различные экологические группы организмов:
¾продуценты
– автотрофные организмы, способные строить свое тело за счет неорганических соединений;
¾консументы
– гетеротрофные организмы, потребляющие органическое вещество продуцентов или других консументов и трансфомирующие его в новые формы;
¾редуценты
– гетеротрофные организмы, живут за счет мертвого органического вещества, переводя его в неорганические соединения.

Рис.1
Классификация эта относительная, так как и консументы, и сами продуценты выступают частично в роли редуцентов, в течение жизни выделяя в окружающую среду минеральные продукты обмена веществ.
В принципе круговорот атомов может поддерживаться в системе и без промежуточного звена — консументов, за счет деятельности двух других групп. Однако такие экосистемы встречаются скорее как исключения, например на тех участках, где функционируют сообщества, сформированные только из микроорганизмов. Роль консументов выполняют в природе в основном животные.
Экосистемы в природе могут иметь самые разные масштабы. В качестве отдельных экосистем можно рассматривать, например, и подушку лишайников на стволе дерева, и разрушающийся пень с его населением, и небольшой временный водоем, луг, лес, степь, пустыню, весь океан и, наконец, всю поверхность Земли, занятую жизнью.
2.4 Разделение экологической системы на блоки,
принципы функционирования
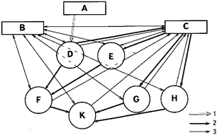
Если при разделении экосистемы с функциональных позиций начинать с самых крупных блоков, или элементов, то первый шаг такого анализа приведет к выявлению трех элементов:
1 -
радиации Солнца (источник превратимой энергии);
2 -
массы неживых компонентов;
3 -
массы живых компонентов экосистемы.
Блоки 2 и 3 характеризуются энергетическими и вещественными (материальными) взаимосвязями.
От блока 1 к блокам 2 и 3 идут односторонние энергетические воздействия, которые после ряда трансформаций уходят за пределы системы в виде тепла (длинноволнового излучения).
Последующее пристальное рассмотрение экосистемы приводит к расчленению описанных выше элементов на более дробные.
В частности, при характеристике компонентов биогеоценоза В.Н. Сукачев выделял следующие компоненты (природные явления): атмосферу, горные породы, гидрологические условия, растительность, животный мир, микроорганизмы и почвы.
Видимо, при функциональном подходе на сходном уровне подробности следует несколько видоизменить набор компонентов.
Гидрологические условия
- результат тех или иных свойств, присущих ряду элементов системы. Поэтому они сами по себе могут в ряде случаев и не рассматриваться в виде элемента системы (если их выделять таким образом, то лучше в виде элемента системы рассматривать воду).
Учитывая характер трансформации энергии и вещества, можно выделить следующие элементы, или блоки, экосистемы:
А -
радиацию Солнца;
В -
атмосферу (конкретнее - определенную смесь газов, взвешенных твердых и жидких веществ, взаимодействующую с другими блоками экосистемы);
С -
почвогрунт (без учета живых организмов);
D
-
автотрофные, а точнее - фотоавтотрофные, организмы;
Е -
хемоавтотрофные организмы;
F
-
хемогеторотрофов-биофагов первого порядка;
G
-
хемогетеротрофов-сапрофагов;
Н -
прототрофов-сапрофагов;
К -
хемогетеротрофов-биофагов высших порядков (в основном - второго и третьего).
Если попытаться представить графически потоки энергии, вещества и информации между выделенными девятью блоками, то получится весьма сложная и трудно читаемая картина. Поэтому целесообразно привести две схемы, которые показывают характер вещественно-энергетических взаимосвязей в экосистеме (см. рис. 2,3). Потоки вещества, в принципе, могут иметь характер круговорота в замкнутом цикле. Значительная часть химических элементов действительно с той или иной скоростью длительное время циркулирует в экосистеме. Однако для некоторых задач нужно иметь в виду, что полной замкнутости даже по веществу не достигается ни в отдельной экосистеме, ни в биосфере в целом. Часть вещества из блока С переходит в геологические циклы с совершенно иной шкалой времени, часть из блока В диссипируется за пределы биосферы. Элемент А, естественно, не связан вещественными взаимодействиями с другими блоками.

Рис. 2. Потоки непревратимой и сильные потоки превратимой энергии между основными блоками экосистемы: 1
- превратимая энергия фотосинтетически активной радиации (ФАР); 2 -
превратимая энергия химических связей; 3 -
потоки тепла (непревратимой энергии); х -
поток внутреннего тепла Земли, у -
тепловое излучение в космос. Блоки: А -
радиация Солнца, В -
атмосфера; С
- почвогрунт, D
-
фотоавтотрофные организмы; Е -
хемоавтотрофные организмы; F
-
хемогетеротрофы-биофаги первого порядка; G
-
хемогетеротрофы-сапрофаги; Н -
прототрофы-сапрофаги; К -
хемогетеротрофы-биофаги высших порядков.

Рис. 3. Основные потоки превратимой энергии и потоки вещества между блоками экосистемы (блоки те же, что и на рис.2):
1 -
энергия ФАР; 2 -
энергия химических связей (органических, а для блока Е -
неорганических веществ); 3 -
потоки неорганических веществ.
Потоки превратимой энергии однонаправлены. Фотосинтетически активная радиация (ФАР) идет от А
к D
и затем происходит дальнейшая трансформация энергии химических связей органических веществ. Несколько особняком стоит взаимосвязь С-Е.
Элемент В
не участвует в трансформации превратимой энергии. Непревратимая энергия (тепло) не может служить источником для непосредственного использования организмами, однако является условием протекания многочисленных взаимодействий.
Блоки А, В, С
служат источником сигналов, однако сами не способны к восприятию и переработке информации. Эта способность присуща живым организмам, которые могут реагировать на существенные для них сигналы, так как обладают памятью (хранение и накопление наследственной информации - в нуклеиновых кислотах, а для индивидуума - также в нервной системе и других образованиях, преобразование информации экосистемой - в процессе отбора и реализации фенотипов), а также имеют "программу" поведения.
2.5 Характер связей в экосистеме
Выше упоминалось о связях трех типов (вещественных, энергетических и информационных) между компонентами экосистемы. Исторически прежде всего начали изучать вещественно-энергетические взаимосвязи в рамках классической трофодинамики и моделей типа "хищник-жертва".
В последнее время выясняется очень большая роль трофических связей так называемого нехищного типа, которые особенно характерны для низших организмов водной среды. Эти связи осуществляются путем выделения в раствор различных метаболитов. Несомненно, что такого рода "экологический метаболизм" имеет место в почвах наземных экосистем.
Таким образом, в экосистеме можно выявить связи разной природы. Исследователи стремятся к анализу все новых и новых типов связей (например, сенсорных). Это, с одной стороны, открывает новые интересные перспективы, а с другой - все более проблематичной становится возможность отыскания неких универсальных единиц для измерения силы взаимодействия организмов друг с другом в рамках целой экосистемы.
С одной стороны, к такого рода оценкам можно подойти через информационные показатели зависимости между компонентами, с другой - через определение энергетических последствий тех или иных взаимодействий ("энергия как валюта"). Видимо, возможно совмещение этих двух подходов. Однако во всех случаях на окончательный результат большое влияние будут оказывать характер наших предварительных допущений, степень генерализации, принципы выделения элементов системы и другие факторы, в сильной мере зависящие от биологической интуиции и опыта исследователя.
Термины "эффективность функционирования", "стабильность" и "степень организованности" не имеют однозначного определения, когда они касаются экосистем или их крупных блоков, однако в последнее время эти понятия все чаще обсуждаются.
Для выяснения эффективности функционирования, видимо, необходимо допустить наличие "щели" у системы (телеономический подход). Поскольку такие допущения могут быть различны, то и оценки эффективности функционирования также будут разными.
Говоря о живых организмах, часто предполагают их стремление к максимизации биомассы, которое в крайних случаях приводит к так называемым экологическим взрывам. В то же время подчеркивается их "стремление" к сохранению устойчивости, структурной организованности в условиях хаосогенной среды.
Имеющиеся формальные критерии организованности можно, в принципе, использовать при описании и сравнении различных моделей экосистем. Однако таких критериев недостаточно. С биологической точки зрения не всегда упорядоченность (структурная негэнтропия) прямо тождественна организованности, если иметь в виду (а биолог всегда имеет это в виду) эффективность выполнения жизненно важных функций. При формальной оценке упускаются многие критерии, определяемые пока только качественно.
Касаясь оценки степени организации на уровне сообщества, следует говорить о суммарном (аддитивном) потоке тепла на единицу поверхности за единицу времени. Тогда поток тепла (непревратимой энергии) при прочих равных условиях и будет характеризовать степень организованности. Другими словами, чем более организован биоценоз (и соответствующая экосистема), тем большую энергетическую плату он должен отдавать на поддержание этой организованности.
Отсюда следует, что высокоорганизованное сообщество вынуждено минимизировать энергетический вклад в накопление биомассы. Это в некоторой степени противоречит тенденции максимизировать биомассу, проявляющуюся в потенциально возможных вспышках размножения и экспансиях в свободные ниши.
Выше разбирались некоторые подходы к разделению экосистемы на блоки, выделению связей и к оценке этих особенностей. Такой анализ учитывал прежде всего участие разных компонентов в трансформации и передаче вещества, энергии и информации. Однако по отношению к наиболее сложным биотическим компонентам таких подходов недостаточно. Для познания биоценозов обязательно требуется рассмотрение их в разных аспектах. При этом множество организмов экосистемы (общее число особей, биомасса, продуктивность и т.д.) как бы разбивается на различные группы (подмножества) по тому или иному признаку. Такие процедуры в самом общем смысле нередко именуют "анализом структуры".
Заключение
Экосистемой называют совокупность физико-химических и биологических компонентов, с помощью которой осуществляется биотический круговорот веществ, движущийся благодаря направленному потоку энергии. Вещественно-энергетические потоки регулируются при участии информационных взаимодействий. Границы экосистемы определяет исследователь, исходя из конкретных задач.
На уровне экосистем, особенно элементарном (неделимом), представляется возможным рассмотреть более детально, глубоко и последовательно, основные свойства и закономерности их функционирования, важные как в теоретическом плане, так и для решения прикладных задач.
Экологическая система
- единый природный или природно-антропогенный комплекс, образованный живыми организмами и средой их обитания, в котором живые и косные экологические компоненты соединены между собой причинно-следственными связями, обменом веществ и распределением потока энергии.
Список литературы
1. Воронков Н.А. Основы общей экологии: Учебник для студентов высших учебных заведений. - М.: Агар, 1999. - 96 с.
2. Лебедева М.И., Анкудимова И.А.. Экология: Учеб. Пособие. Тамбов: Изд-во Тамб. гос. техн. ун-та, 2002. 80 с.
3. Маглыш С.С. Общая экология: Учебное пособие – Гродно: ГрГУ, 2001 – 111 с.
4. Николайкин Н.И., Николайкина Н.Е., Мелехова О.П. – 3-е изд., стереотип. – М.:Дрофа, 2004. – 624 с.
5. Степановских А.С. Экология: Учебник для вузов. – М.:ЮНИТИ-ДАНА, 2001. – 703 с.
6. Чернова Н.М., Былова А.М. Общая экология: Учебник для студентов педагогических вузов. – М.:Дрофа, 2004. – 416 с.
|