Содержание
1. Дайте определение основным видам геодезических чертежей
2. Как выполняются основные поверки и юстировка теодолита?
3. В чем суть геодезического обоснования, его виды
4. Геодезическое сопровождение при монтаже колонн в стаканы фундаментов
5. Задача
Список литературы
1. Дайте определение основным видам геодезических чертежей
Рассмотрим основные виды геодезических чертежей.
Топографический план –
это уменьшенная ортогональная проекция местности на горизонтальную плоскость.
Картой
называется построенное в картографической проекции с учетом кривизны Земли, уменьшенное, обобщенное изображение Земли или отдельных ее частей.
Профиль
представляет уменьшенное изображение вертикального разреза земной поверхности по заданному направлению. Профили используют для проектирования и строительства линейных инженерных сооружений.
Отличительные признаки плана и карты
:
1) На планах изображается меньшая площадь, нет искажений длин линий и углов.
2) На планах не учитывается кривизна Земли.
3) На планах используют более крупные масштабы: 1:500, 1:1000, 1:2000, 1:5000;
на картах – 1:10000, 1:25000, 1:50000, 1:100000.
4) На планах нет параллелей и меридианов, а имеется только координатная сетка.
5) Различается номенклатура, т.е. система разграфки и обозначений отдельных листов карт и планов.
Масштаб
– отношение длины отрезков на планах или картах к горизонтальному проложению этого отрезка на местности. Масштабы бывают: а) численный (в виде дроби), б) линейный (в виде линии), в) поперечный, позволяющий строить на чертежной бумаге с помощью измерителя и масштабной линейки отрезки с погрешностью равной 0,1 мм.
Под точностью масштаба
понимают отрезок на местности соответствующий минимальному расстоянию на плане в 0,1 мм. Например, точность масштаба 1:500 соответствует 0.05м.
Исполнительная геодезическая документация предназначена для регистрации значений линейных и угловых размеров, координат, расстояний, отметок, уклонов и других геометрических параметров элементов, конструкций и частей зданий (сооружений), инженерных сетей, элементов благоустройства, знаков закрепления пунктов геодезической разбивочной основы с целью определения их соответствия проектной документации и требованиям нормативных документов, оценки качества строительства, а также нанесения проложенных инженерных сетей на топографические планы.
Забиваем Сайты В ТОП КУВАЛДОЙ - Уникальные возможности от SeoHammer
Каждая ссылка анализируется по трем пакетам оценки: SEO, Трафик и SMM.
SeoHammer делает продвижение сайта прозрачным и простым занятием.
Ссылки, вечные ссылки, статьи, упоминания, пресс-релизы - используйте по максимуму потенциал SeoHammer для продвижения вашего сайта.
Что умеет делать SeoHammer
— Продвижение в один клик, интеллектуальный подбор запросов, покупка самых лучших ссылок с высокой степенью качества у лучших бирж ссылок.
— Регулярная проверка качества ссылок по более чем 100 показателям и ежедневный пересчет показателей качества проекта.
— Все известные форматы ссылок: арендные ссылки, вечные ссылки, публикации (упоминания, мнения, отзывы, статьи, пресс-релизы).
— SeoHammer покажет, где рост или падение, а также запросы, на которые нужно обратить внимание.
SeoHammer еще предоставляет технологию Буст, она ускоряет продвижение в десятки раз,
а первые результаты появляются уже в течение первых 7 дней.
Зарегистрироваться и Начать продвижение
Основой исполнительной геодезической документации являются рабочие геодезические чертежи
проектной документации.
Исполнительная геодезическая документация создается главным образом в виде исполнительных схем (чертежей) с нанесением на них параметров направлений и величин отклонений от проектных положений установленных (смонтированных) строительных конструкций. Пояснительные записки или другая информация (диаметр арматуры труб, согласовывающие подписи и т.п.) указываются только по дополнительным требованиям.
Для составления геодезических чертежей, решения геодезических задач, в том числе геодезического обеспечения строительства, на поверхности земли располагают ряд точек, связанных между собой единой системой координат. Эти точки маркируют на поверхности земли или в зданиях центрами (знаками). Совокупность закрепляемых на местности или зданиях точек (пунктов), положение которых определено в единой системе координат, называют геодезическими сетями
.
Развитие (создание) геодезических сетей осуществляется по принципу “от общего к частному” – от классов с наивысшей точностью геодезических измерений к последующим классам. Соответственно этому геодезические сети подразделяются на государственные геодезические сети, сети сгущения и съемочные сети.
Государственная геодезическая сеть (ГГС) является главной геодезической основой топографических съемок всех масштабов и используется при решении инженерно-технических и научных задач, связанных с изучением нашей планеты. Государственная геодезическая сеть подразделяется на четыре класса (1, 2, 3 и 4), различающихся между собой точностью измерения углов и расстояний, длиной сторон и порядком последовательного развития.
Геодезические сети сгущения развиваются в отдельных районах при недостаточной плотности пунктов ГГС для обоснования съемок масштаба 1:5000 и крупнее, а также при городском промышленном и транспортном строительстве.
Съемочные сети служат непосредственно для съемки контуров и рельефа местности, а также для геодезических измерений при строительстве.
Специальные геодезические сети используются при строительстве уникальных сооружений, предъявляющих к геодезическим работам особые требования. Иногда съемочные и специальные геодезические сети называют опорными сетями.
Сервис онлайн-записи на собственном Telegram-боте
Попробуйте сервис онлайн-записи VisitTime на основе вашего собственного Telegram-бота:
— Разгрузит мастера, специалиста или компанию;
— Позволит гибко управлять расписанием и загрузкой;
— Разошлет оповещения о новых услугах или акциях;
— Позволит принять оплату на карту/кошелек/счет;
— Позволит записываться на групповые и персональные посещения;
— Поможет получить от клиента отзывы о визите к вам;
— Включает в себя сервис чаевых.
Для новых пользователей первый месяц бесплатно.
Зарегистрироваться в сервисе
Опорные сети создают для обеспечения практически всех видов инженерно-геодезических работ. Эти сети служат основой: для производства топографических съемок
; разбивочных работах при строительстве зданий и сооружений, при составлении исполнительной документации; для наблюдений за осадками и деформациями оснований сооружений и самих сооружений. Инженерно-геодезические плановые и высотные опорные сети представляют собой систему геометрических фигур, вершины которых закреплены на местности специальными знаками, координаты которых определены в единой системе координат.
2. Как выполняются основные поверки и юстировка теодолита?
Поверки позволяют выявить отклонение в приборе от геометрических условий и оптико-механических требований, юстировкой наиболее полно устраняют эти отклонения. Исследования определяют постоянные прибора, неустранимые отклонения для введения в результаты измерений соответствующих поправок, правильность работ отдельных узлов теодолита, ошибки диаметров лимба и т.п. По результатам исследований выявляют пригодность теодолита для выполнения измерений данного класса точности.
Обязательными поверками на каждом пункте перед наблюдениями являются следующие.
· Подъемные и наводящие винты должны вращаться плавно.
· Вращение алидады должно быть плавным.
Ось цилиндрического уровня должна быть перпендикулярна к вертикальной оси вращения прибора
.
Предварительно плоскость лимба приводят в горизонтальное положение по невыверенному уровню, для чего поворотом алидады устанавливают цилиндрический уровень параллельно линии, соединяющей два подъемных винта, и, вращая их в противоположные стороны, приводят пузырек уровня в нуль-пункт. Затем алидаду поворачивают на 90° и вращением третьего винта приводят пузырек уровня в нуль-пункт. При этом ось цилиндрического уровня занимает горизонтальное положение zz, образуя с осью вращения w прибора угол β (рис. 1). К отсчету по горизонтальному кругу прибавляют 180° и полученное значение поворотом алидады устанавливают на горизонтальном круге, т. Е. поворачивают алидаду на 180°. При этом ось цилиндрического уровня, сохраняя с осью вращения угол β, занимает положение z'z' и от горизонтального положения на угол 2α.
При юстировке необходимо на половину дуги отклонения привести пузырек уровня к нуль-пункту третьим подъемным винтом, а в нуль-пункте – исправительными винтами уровня.
Рис. 1 - К поверке оси цилиндрического уровня теодолита (первого условия)
Следует заметить, что ошибка в отсчете по горизонтальному кругу из-за невыполнения этого условия, т. Е. из-за наклона вертикальной оси теодолита, не исключается при выводе среднего из результатов измерений при круге право и круге лево.
Горизонтальная нить сетки должна быть перпендикулярна к вертикальной оси вращения теодолита
.
Вертикальную ось вращения теодолита тщательно устанавливают в отвесное положение, после чего левым краем горизонтальной нити наводят на точку. Вращая наводящим винтом, медленно вращают трубу по азимуту. Если изображение точки не сходит с горизонтальной нити, то условие выполнено. В противном случае снимают защитный колпачок с окулярной части трубы, ослабляют винты, которыми пластина сетки нитей скреплена с корпусом трубы, и поворачивают сетку так, чтобы при перемещении трубы горизонтальная нить не сходила с точки. Эту же юстировку можно выполнить, совмещая вертикальную нить сетки с нитью отвеса, подвешенного в 10-15 м от теодолита.
Визирная ось зрительной трубы должна быть перпендикулярна к горизонтальной оси ее вращения
При взаимно-перпендикулярном положении осей при трубы ось образует плоскость, которую называют коллимационной. Если угол β между этими осями отличается от 90° на угол с, называемый коллимационной ошибкой, то при вращении трубы ось zz образует две конические поверхности, и при наведении на точку А вместо отсчета М (рис. 2) получим отсчет
M1
= M + c
После перевода трубы через зенит угол β между визирной осью и осью вращения трубы сохраняется, при наведении перекрестия нитей на точку А по горизонтальному кругу получим отсчет.
Складывая левые и правые части формул (1.65) и (1.66), находим

Следовательно, среднее из отсчетов по горизонтальному лимбу при круге право (П) и круге лево (Л), после изменения суммы на 180°, свободно от влияния коллимационной ошибки.
Если коллимационная ошибка с превышает 2t, где t - точность отсчитывания по горизонтальному кругу, то выполняют юстировку, для чего на горизонтальном круге наводящим винтом алидады устанавливают отсчет М =М2
+ с. При этом перекрестие сетки нитей сойдет с точки А.
Рис. 2 - К поверке третьего условия
Сняв колпачок с окулярной части трубы и ослабив один из вертикальн исправительных винтов, боковыми исправительными винтами перемещают пластину, на которую нанесена сетка нитей, до совмещения перекрестия нитей с изображением точки А. После юстировки поверку повторяют и убеждаются в выполнении условия. Затем винты сетки слегка затягивают и колпачок. При z ≈ 90° величина с практически не влияет на разность направлений, измеренных при одном положении круга, т. Е. на горизонтальный угол. В горной местности при наблюдении при одном положении круга коллимационная ошибка может исказить горизонтальный угол.
Ось вращения трубы должна быть перпендикулярна к вертикальной оси вращения теодолита
При выполнении этого условия при отвесном положении вертикальной оси теодолита, установленном по уровню при алидаде горизонтального круга, визирная ось трубы при вращении образует отвесное положение коллимационной плоскости (на рис. 3.плоскость 0Аа). Если условие не выполняется, то при вращении трубы визирная ось образует наклонную плоскость 0Аα1
при одном положении вертикального круга и 0Аα2
- при другом. Для выполнения поверки теодолит устанавливают в 10-20 м от стены, перекрестие сетки нитей при круге право наводят на высоко расположенную точку А, закрепляют алидаду, опускают зрительную трубу примерно до горизонтального положения и отмечают на стене точку α1
, на которую проектируется перекрестие нитей сетки. Затем трубу переводят через зенит и при круге лево наводят на точку А, опустив трубу, получают ее проекцию α2
. Если точки α1
и α2
совпадут или отрезок α1
α2
не превышает ширину биссектора сетки (15-20»), то условие выполнено. При невыполнении условия юстировку выполняют в специальных мастерских.
Рис. 3 - К поверке четвертого условия
Следует заметить, что среднее из отсчетов по горизонтальному кругу пру, П и Л свободно от влияния этой ошибки.
Компенсатор отсчетной системы вертикального круга должен обеспечивать неизменность отсчета по вертикальному кругу при наклоне оси вращения теодолита на углы до ±3'.
Теодолит устанавливают на штативе так, чтобы один из подъемных винтов был направлен в сторону наблюдаемой точки А. После приведения основной оси прибора в отвесное положение наводят на точку А и делают отсчет а1
по вертикальному кругу. Затем вращением подъемного винта наклоняют теодолит вперед на 2-3 деления уровня, снова наводят на точку А и берут отсчет а2
по вертикальному кругу. После этого наклоняют прибор на 2-3 деления уровня в противоположную сторону, визируют на точку А и берут отсчет a3
. Все отсчеты в пределах точности отсчета по микрометру должны совпадать, т. Е. a1
≈ a2
≈ a3
. При невыполнении условия юстировку выполняют в специальной мастерской.
Визирная ось оптического центрира должна совпадать с осью вращения теодолита.
Вертикальную ось вращения теодолита приводят в отвесное положение, теодолит устанавливают над точкой местности. При вращении алидады изображение точки не должно смещаться с центра оптического центрира более чем на 0,5 радиуса малой окружности. При большем смещении выполняют юстировку.
3. В чем суть геодезического обоснования, его виды
Геодезические обоснования позволяют получить информацию о рельефе и ситуации местности, и служат не только для проектирования, но и для проведения других видов обоснований. В процессе геодезических изысканий выполняют работы по созданию геодезического обоснования и топографической съемке в разных масштабах на участке строительства, производят трассирование линейных сооружений, геодезическую привязку геологических выработок, точек геофизической разведки и многие другие работы.
Геологические обоснования дают возможность получить представление о геологическом строении местности, физико-геологических явлениях, прочности грунтов, составе и характере подземных вод и т.п. Эти сведения позволяют сделать оценку условий строительства сооружения.
В процессе геодезических обоснований определяют характер изменения уровней воды, уклоны, изучают направление и скорости течений, вычисляют расходы воды, производят промеры глубин и т.д.
К геодезическим обоснованиям также относятся: геотехнический контроль, оценка опасности и риска от природных и техногенных процессов; обоснование мероприятий по инженерной защите территорий; локальный мониторинг компонентов окружающей среды, научные исследования в процессе инженерных изысканий, авторский надзор за использованием изыскательской продукции и др.
Содержание и объемы геодезических обоснований определяются типом, видом и размерами планируемого сооружения, местными условиями и степенью их изученности, а также стадией проектирования.
Различные виды сооружений, технология строительства которых имеет много общего и обоснования для которых проводятся по схожей схеме, могут быть объединены в группы: площадные и линейные сооружения.
Основные задачи инженерно-геодезических обоснований – изучение природных и экономических условий района будущего строительства, составление прогнозов взаимодействия объектов строительства с окружающей средой, обоснование их инженерной защиты и безопасных условий жизни населения.
Каждая стадия инженерно-геодезических обоснования обеспечивает материалами соответствующую стадию проектирования.
В связи с этим различают следующие обоснования:
- предварительные на стадии технико-экономического обоснования или технико-экономического расчета;
- на стадии проекта;
- на стадии рабочей документации.
Обоснования делятся на экономические и технические.
Экономические проводят для определения экономической целесообразности строительства сооружения в конкретном месте с учетом обеспеченности его строительными материалами, сырьем, транспортом, водой, энергией, рабочей силой и т.п. Экономические обоснования обычно предшествуют техническим.
Технические обоснования ведут для того, чтобы дать исчерпывающие сведения о природных условиях участка для наилучшего учета и использования их при проектировании и строительстве.
Для оценки участка предполагаемого строительства комплексно проводят следующие обоснования: основные – инженерно-геодезические, инженерно-геологические и гидрогеологические, гидрометеорологические; а также климатологические, метеорологические, почвенно-геоботанические и другие. Основные изыскания выполняют в первую очередь для всех типов сооружений.
4. Геодезическое сопровождение при монтаже колонн в стаканы фундаментов
При сооружении кирпичного здания сначала от строительных осей на фундаменте строят контур внешней и внутренней поверхностей несущих стен. В процессе кладки не реже двух раз на 1 м высоты проверяют горизонтальность рядов кирпичей и нитяным отвесом - вертикальность стены. Дверные и оконные проемы, перегородки и т.п. разбивают от осей несущих стен рулеткой.
Горизонтальность и высоту несущих стен перед укладкой плит перекрытий проверяют нивелиром и Г-образной рейкой. При обнаружении отклонений их исправляют путем изменения толщины цементной стяжки. После укладки плит перекрытия оси здания выносят на уровень следующего этажа). При использовании в конструкции здания колонн на их фундаменты переносят соответствующие строительные оси и закрепляют их рисками (рис. 4). На фундаменты колонн помещают опорные башмаки, установочные риски, которые совмещают с ориентирными рисками на фундаменте. Отметку дна стакана определяют геометрическим нивелированием.

Рис. 4 - Схема ориентирных и установочных рисок на фундаменте и опорных башмаках колонны: 1 - ориентирные риски фундаментного блока; 2 - установочная риска; 3 - ориентирные риски опорного башмака; 4 - отверстие для установки колонны; 5 - опорный башмак (стакан); 6 - фундамент
Перед монтажом колонн на них наносят риски. Установочные риски маркируют с четырех сторон колонны на разных высотах. Высотную риску в виде черты наносят в нижней части колонны на расстоянии не менее 100 мм от основания, такую же риску маркируют в верхней части колонн. Колонну поднимают за верхнюю часть и устанавливают в стакан, на дно которого кладут металлическую пластину, ее толщину определяют путем геометрического нивелирования с учетом установки всех колонн на одном уровне по высоте.
С помощью деревянных клиньев или специальной оснастки колонну перемещают до совпадения установочных рисок на ней с ориентирными рисками на стакане. При высоком положении риски на колонне ее проектируют нитяным отвесом. С помощью расчалок колонну устанавливают в вертикальное положение, контроль вертикальности осуществляют двумя теодолитами, уставленными так, чтобы их коллимационные плоскости пересекались на колонне примерно под углом 90° (рис. 5).
После этого стакан бетонируют.

Рис. 5 - Выверка колонн по вертикали: 1 - ориентирная риска; 2 - визирный луч; 3 - установочная риска
При строительстве сборных крупнопанельных зданий на фундамент в пределах зоны монтажа выносят строительные оси. На этажах разбивку делают от строительных осей элементов стен, лестниц и т.п., для установки в проектное положение элементов конструкций используют телескопические откосы, упоры, различные захваты и т.п.
При строительстве сборных крупнопанельных зданий на фундамент в пределах зоны монтажа выносят строительные оси. На этажах разбивку делают от строительных осей элементов стен, лестниц и т.п., для установки в проектное положение элементов конструкций используют телескопические откосы, упоры, различные захваты и т.п.
При возведении высотных зданий фундамент устанавливают в виде монолитной плиты на всю площадь здания. В плиту закладывают металлические центры, взаимное положение которых определяют с высокой точностью путем включения в опорную геодезическую сеть, от пунктов этой сети определяют и закрепляют положение всех строительных осей. На каждый новый этаж пункты опорной сети переносят методом вертикального проектирования.
5. Задача
Определить румб линии 1-2 по известному азимуту А1-2
= 168°27`
Решение
Географическим (истинным) азимутом
линии называется горизонтальный угол Аи
, измеренный по ходу часовой стрелки от северного направления географического меридиана точки до ориентируемой линии. Пределы изменения географического азимута – от 0° до 360°.
Румбом линии
местности в данной точке называют горизонтальный угол r
, измеренный от ближайшего направления меридиана (северного или южного) до направления данной линии. Пределы изменения румба от 0° до 90°. Название румба зависит от названия меридиана: географический (истинный), дирекционный или магнитный.
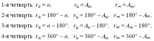
Дирекционный румб rα
, географический (истинный) rи
и магнитный румб rт
линии вычисляются по формулам:
Номер четверти определяется по значению азимута: в 1-й четверти азимут изменяется от 0° до 90°, во 2-й четверти от 90° до 180°, в 3-й четверти – от 180° до 270°, в 4-й четверти – от 270° до 360°. Полное написание румба включает его числовое значение и название четверти (1-я – СВ, 2-я – ЮВ, 3-я – ЮЗ, 4-я – СЗ), например rт
= ЮВ: 45°10'. В нашем случае А1-2
= 168°27`.
Определим по значениям ориентирных углов четверть, в которой находятся линии 1-2: 168°27` - 2 четверть
Вычислим значение результатов по формуле:
r=180°-168°27`=12°33`; ЮВ: 12°33`
Список литературы
1. Большаков В.Д., Гайдаев П.А. Теория математической обработки геодезических измерений. М.: Недра, 2007.
2. Большаков В.Д., Деймлих Ф., Васильев В.П., Голубев А.Н. Радиогеодезические и электрооптические измерения. М.: Недра, 2005.
3. Геодезия. М.: Недра, ч. I 2007г., ч. II2007г. Авторы: Ч.I Гиршберг М.А., ч. II Селиханович В.Г.
4. Левчук Г.П., Новак В.Б., Конусов В.К. Прикладная геодезия. Основные методы и принципы инженерно-геодезических работ. М.: Недра, 2001.
5. Пеллинен Л.П. Высшая геодезия (Теоретическая геодезия). М.: Недра, 2000.
6. Справочник геодезиста кн. 1, кн. 2. М.: Недра 2005. Ред. Большаков В.Д., Левчук Г.П.
|