РОССИЙСКИЙ ГОСУДАРСТВЕННЫЙ ГЕОЛОГОРАЗВЕДОЧНЫЙУНИВЕРСИТЕТ
Контрольная работа
по дисциплине: Динамика подземных вод
Откачка проводилась из напорного водоносного горизонта мощностью 40 м. с избыточным напором над кровлей120 м. Опытный куст состоит из эксплуатационной и двух наблюдательных скважин. Дебит откачкиQ=3000 м3
/сут, радиус центральной скважины r0
=0.15 м. Расстояние от центральной до наблюдательных скважин 30 и 80 м.
Провести диагностику результатов откачки и определить параметрыT, k, a*
, , Rвл
, rпр
, используя методы временного и площадного прослеживания.
| Результаты откачки |
| t, час |
,час |
S0
,м |
S1
,м |
S2
, м |
| 0.083 |
-2,49 |
17,15 |
2,26 |
0,36 |
| 0.167 |
-1,79 |
18,13 |
3,07 |
0,87 |
| 1.0 |
0 |
20,61 |
5,68 |
2,82 |
| 2.0 |
0,69 |
21,66 |
6,60 |
3,81 |
| 5,0 |
1,61 |
22,97 |
7,97 |
5,12 |
| 10,0 |
2,3 |
23,96 |
8,89 |
6,10 |
| 24,0 |
3,18 |
25,2 |
10,13 |
7,35 |
| 35,0 |
3,56 |
25,8 |
10,71 |
7,92 |
| 48,0 |
3,87 |
26,18 |
11,12 |
8,33 |
| 60,0 |
4,09 |
26,5 |
11,43 |
8,65 |
| 72,0 |
4,28 |
26,76 |
11,70 |
8,91 |
| 96,0 |
4,56 |
27,17 |
12,10 |
9,32 |
| 108,0 |
4,68 |
27,34 |
12,27 |
9,49 |
| 120,0 |
4,79 |
27,5 |
12,42 |
9,63 |
| 144,0 |
4,97 |
27,74 |
12,68 |
9,89 |
| 168,0 |
5,19 |
28,00 |
12,90 |
10,11 |
Решение:
1. Составим расчетную схему кустовой откачки

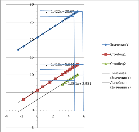
2.Построим графики временного прослеживания откачки в координатахS- Int. по опытным данным.

3. Проведем диагностику откачки и уточним расчетную схему.
Визуальный анализ графиков временного прослеживания понижения уровня показывает что по центральной и 1 наблюдательной скважинам полученные графики имеют вид прямых линий, что свидетельствует о наступлении квазистационарного режима в радиусе 30 м от центральной скважины практически с первых минут. Во второй наблюдательной скважине квазистационар наступает через 20 часов о чем свидетельствует прямолинейность графика на отрезке 
Ац
=20,68
А1
=5,68
А2
=2,82
Визуальный анализ графиков временного прослеживания понижения уровня показывает, что пласт является неограниченным и изолированным, уклоны и формы графиков практически однозначны и показывают снижение уровня на всем ходе откачки. Следовательно, расчетные зависимости для определения имеют вид:



где: - коэффициент водопроводимости; а- коэффициент пьезопроводности; - ордината и угловой коэффициент,определенные по графику центральной скважины; и - ордината и угловой коэффициентнаблюдательных скважин.
Во всех трех скважинах квазистационарный режим наступает спустя 1 час после начала опыта, о чем свидетельствует прямолинейность индикаторных графиков (за исключением начальных участков имеющих меньший угловой коэффициент)на протяжении дальнейшего времени.
4.Параллельность всех прямолинейных участков индикаторных графиков свидетельствует об однородности фильтрационных свойств исследуемой области фильтрации.
5. Значение коэффициента Сварьируется в узком диапазоне 1.40-1.43, что подтверждает сделанный ранее на основе визуального анализа вывод об однородности фильтрационных свойств области фильтрации в радиусе влияния откачки. Отношение , что менее 2. Поэтому используя критерий , окончательно принимаем вывод об однородном строении области фильтрации, определяем среднее арифметическое значение 1.415 и используем его в формуле для определения коэффициента водопроводимости:
Забиваем Сайты В ТОП КУВАЛДОЙ - Уникальные возможности от SeoHammer
Каждая ссылка анализируется по трем пакетам оценки: SEO, Трафик и SMM.
SeoHammer делает продвижение сайта прозрачным и простым занятием.
Ссылки, вечные ссылки, статьи, упоминания, пресс-релизы - используйте по максимуму потенциал SeoHammer для продвижения вашего сайта.
Что умеет делать SeoHammer
— Продвижение в один клик, интеллектуальный подбор запросов, покупка самых лучших ссылок с высокой степенью качества у лучших бирж ссылок.
— Регулярная проверка качества ссылок по более чем 100 показателям и ежедневный пересчет показателей качества проекта.
— Все известные форматы ссылок: арендные ссылки, вечные ссылки, публикации (упоминания, мнения, отзывы, статьи, пресс-релизы).
— SeoHammer покажет, где рост или падение, а также запросы, на которые нужно обратить внимание.
SeoHammer еще предоставляет технологию Буст, она ускоряет продвижение в десятки раз,
а первые результаты появляются уже в течение первых 7 дней.
Зарегистрироваться и Начать продвижение

6. Величину коэффициента пьезопроводности найдем используя коэффициент А уравнения прямой на графиках временного прослеживания для наблюдательных скважин. Использовать данные откачки по центральной скважине в данном случае нельзя, так как неизвестно истинное значение ее радиуса из –за общего скин-эффекта. в итоге получим:
по СКВ 1
23145м2
/час=5.55*105
м2
/сут
по СКВ 2
21340 м2
/час=5.12*105
м2
/сут
среднее значение для всей области питания =5.335*105
7. Коэффициент фильтрации определим по формуле:

8. Коэффициент упругой водоотдачи рассчитаем по формуле:

9. Выполним определение параметров методом площадного прослеживания. Для этого построим график S- Inr по замерам уровней в наблюдательных скважинах на момент t= 10 часов (0.42сут), т.е в период когда во всей исследуемой области фильтрации установился квазистационарный режим.
График площадного прослеживания на момент времениt=0.42 сут.

По графику определим Cr
=2.78 и Ar
= 18.5.Значения параметров можно вычислить по формулам:



Вычислим параметры пласта по формулам:


10. Показатель несовершенства центральной скважины определяется путем сноса на продолжение построенного графика S-Int величины понижения уровня поэтой скважине на момент времени tj
.
Время tj
для построения графика выбирается из условия параллельности графиков S- Int по разным скважинам. Такое условие для однородного пласта наступает после реализации критерия для самой удаленной скважины.
В нашем случае = -1.9, приведенный радиус скважины равен rпр
=0.15м. Показатель несовершенства скважины определим по формуле:

11. Сопоставим графоаналитические определения с результатами аналитических расчетов по данным временного прослеживания по центральной скважине с использованием формулы:


Полученные данные свидетельствуют о совпадении результатов вычислений разными методами.
Список использованной литературы
1. БоревскийБ.В. и др.Методика определения параметров водоносных горизонтов по даннымоткачек. М «Недра» 1999 г.
2. ВеригинН.Н.Гидродинамические ифизико-химические свойства горных пород.М «Недра» 1997 г.
Сервис онлайн-записи на собственном Telegram-боте
Попробуйте сервис онлайн-записи VisitTime на основе вашего собственного Telegram-бота:
— Разгрузит мастера, специалиста или компанию;
— Позволит гибко управлять расписанием и загрузкой;
— Разошлет оповещения о новых услугах или акциях;
— Позволит принять оплату на карту/кошелек/счет;
— Позволит записываться на групповые и персональные посещения;
— Поможет получить от клиента отзывы о визите к вам;
— Включает в себя сервис чаевых.
Для новых пользователей первый месяц бесплатно.
Зарегистрироваться в сервисе
3. Климентов П.П. Кононов В.М. Динамика подземных вод. М «Высшая школа» 1999 г.
4. Ленченко Н.Н.Динамика подземных вод.М «Недра» 2008 г.
5. Ленченко Н.Н.ФисунН.В.Практикум по динамике подземных вод. Часть 1. М «Недра» 2008 г.
6. Мироненко В.А. Шестаков В.М.Основы гидрогеомеханики.М «Недра» 2004 г.
|