Міністерство освіти і науки України
Приватний вищий навчальний заклад
Європейський університет
Запорізька філія
Контрольна робота
з дисципліни: Теорія ймовірності і математична статистика
Варіант № 5 - Схема Бернуллі
Виконав
Перевірив:
Запоріжжя,
2007р.
СХЕМА БЕРНУЛЛІ
У багатьох задачах теорії ймовірностей, статистики та повсякденної практики треба досліджувати послідовність (серію) п
випробувань. Наприклад, випробування "кинуто 1000 однакових монет" можна розглядати як послідовність 1000 більш простих випробувань - "кинута одна монета". При киданні 1000 монет імовірність появи герба або надпису на одній монеті не залежить від того, що з'явиться на інших монетах. Тому можна казати, що у цьому випадку випробування повторюються 1000 разів незалежним чином.
Означення 1.
Якщо усі п випробувань проводити в однакових умовах і імовірність появи події А в усіх випробуваннях однакова та не залежить від появи або непояви А в інших випробуваннях, то таку послідовність незалежних випробувань називають схемою Бернуллі.
Нехай випадкова подія А
може з'явитись у кожному випробуванні з імовірністю Р(А)
= р або не з'явитись з імовірністю q
= Р{А)
= 1 - р.
Поставимо задачу: знайти імовірність того, що при п
випробуваннях подія А
з'явиться т
разів і не з'явиться п - т
разів. Шукану імовірність позначимо Рп
(т).
Спочатку розглянемо появу події А
три рази в чотирьох випробуваннях. Можливі такі події

тобто їх
Якщо подія А
з'явилася 2 рази в 4 випробуваннях, то можливі такі події


У загальному випадку, коли подія А
з'являється т
разів у п
випробуваннях, таких складних подій буде

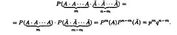
Обчислимо імовірність однієї складної події, наприклад,

Імовірність сумісної появи п
незалежних подій дорівнює добутку ймовірностей цих подій згідно з теоремою множення ймовірностей, тобто

Кількість таких складних подій і вони несумісні. Тому, згідно з теоремою додавання ймовірностей несумісних подій, маємо

Формулу (1) називають формулою Бернуллі.
Вона дозволяє знаходити імовірність появи події А т
разів при п
випробуваннях, які утворюють схему Бернуллі.
Зауваження 1.
Імовірність появи події Арп
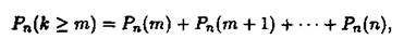
випробуваннях схеми Бернуллі менш т разів знаходять за формулою
Забиваем Сайты В ТОП КУВАЛДОЙ - Уникальные возможности от SeoHammer
Каждая ссылка анализируется по трем пакетам оценки: SEO, Трафик и SMM.
SeoHammer делает продвижение сайта прозрачным и простым занятием.
Ссылки, вечные ссылки, статьи, упоминания, пресс-релизы - используйте по максимуму потенциал SeoHammer для продвижения вашего сайта.
Что умеет делать SeoHammer
— Продвижение в один клик, интеллектуальный подбор запросов, покупка самых лучших ссылок с высокой степенью качества у лучших бирж ссылок.
— Регулярная проверка качества ссылок по более чем 100 показателям и ежедневный пересчет показателей качества проекта.
— Все известные форматы ссылок: арендные ссылки, вечные ссылки, публикации (упоминания, мнения, отзывы, статьи, пресс-релизы).
— SeoHammer покажет, где рост или падение, а также запросы, на которые нужно обратить внимание.
SeoHammer еще предоставляет технологию Буст, она ускоряет продвижение в десятки раз,
а первые результаты появляются уже в течение первых 7 дней.
Зарегистрироваться и Начать продвижение

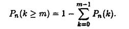
Імовірність появи події А не менше т разів можна знайти за формулою

або за формулою

Імовірність появи події А хоча б один раз у п
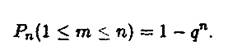
випробуваннях доцільно знаходити за формулою

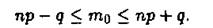
Зауваження 2. У багатьох випадках треба знаходити найбільш імовірне значення то
числа т
появ події А. Це значення т
визначається співвідношеннями

Число то
повинно бути цілим. Якщо (п
+ 1)р
- ціле число, тоді найбільше значення імовірність має при двох числах

Зауваження 3. Якщо імовірність появи події А в кожному випробуванні дорівнює р
, то кількість п
випробувань, які необхідно здійснити, щоб з імовірністю Р
можна було стверджувати, що подія А з'явиться хоча б один раз, знаходять за формулою,

Приклад 1.
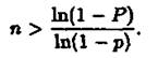
Прилад складено з 10 блоків, надійність кожного з них 0.8. Блоки можуть виходити з ладу незалежно один від одного. Знайти імовірність того, що
а) відмовлять два блоки;
б) відмовить хоча б один блок;
в) відмовлять не менше двох блоків.
Розв'язання.
Позначимо за подію А
відмову блока. Тоді імовірність події А
за умовою прикладу буде
Р(А) =р =
1-0.8 = 0.2, тому д = 1-р = 1-0.2=0.8.
Згідно з умовою задачі п = 10. Використовуючи формулу Бернуллі та Зауваження 1, одержимо

Приклад 2.
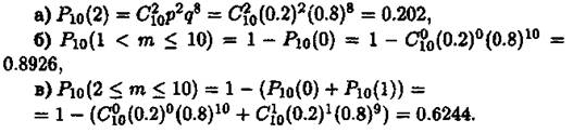
За одну годину автомат виготовляє 20 деталей. За скільки годин імовірність виготовлення хоча б однієї бракованої деталі буде не менше 0.952, якщо імовірність браку будь-якої деталі дорівнює 0.01?
Розв'язання.
Застосовуючи формулу (2), знайдемо спочатку таку кількість виготовлених деталей, щоб з імовірністю р = 0.952 можна було стверджувати про наявність хоча б однієї бракованої деталі, якщо імовірність браку за умовою р =
0.01


Отже, за час(годин) автомат з імовірністю 0.952 виготовить хоча б одну браковану деталь.
Приклад 3.
При новому технологічному процесі 80 % усієї виготовленої продукції має найвищу якість. Знайти найбільш імовірне число виготовлених виробів найвищої якості серед 250 виготовлених виробів.
Розв'язання.
Позначимо шукане число то-
Згідно Зауваження
За умовою прикладу п =
250, р =
0.8, q
—
0.2, тому


Але то повинно бути цілим числом, тому то = 200.
СПИСОК ВИКОРИСТАНО
І
Л
І
ТЕРАТУРИ
1. Барковський В.В., Барковська Н.В., Лопатін О.К. теорія ймовірностей та математична статистика. – К.: ЦУЛ, 2002. – 448с.
2. Гмурман В.Е. Теория вероятностей и математическая статистика. – М.: Высшая школа, 1980.
3. Гмурман В.Е. Руководство к решению задач по теории вероятностей и математической статистике. – М.: Высшая школа, 1975.
Сервис онлайн-записи на собственном Telegram-боте
Попробуйте сервис онлайн-записи VisitTime на основе вашего собственного Telegram-бота:
— Разгрузит мастера, специалиста или компанию;
— Позволит гибко управлять расписанием и загрузкой;
— Разошлет оповещения о новых услугах или акциях;
— Позволит принять оплату на карту/кошелек/счет;
— Позволит записываться на групповые и персональные посещения;
— Поможет получить от клиента отзывы о визите к вам;
— Включает в себя сервис чаевых.
Для новых пользователей первый месяц бесплатно.
Зарегистрироваться в сервисе
4. Гнеденко Б.В. Курс теории вероятностей. – М.: наука, 1988.
5. Леоненко М.М., Мішура Ю.С. та ін. Теоретико-ймовірностні та статистичні методи в економетриці та фінансовій математиці. – К.: Інформтехніка, 1995.
|