В последние годы проявляется особый интерес к введению в ЖК-по-лимеры с мезогенными группами в основной цепи различных алифатических циклов [1], что позволяет значительно улучшить их растворимость и удобных растворителях и понизить температуры фазовых переходов. В эти циклы могут быть включены хиральные центры. Тогда появится возможность получения оптически активных полимеров, холестериков или хиральных смектиков.
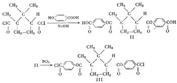
Продолжая ранее начатые нами исследования мезогенных свойств фрагмента типа I [2], содержащего варьируемое центральное ядро R и боковые 4-оксибензоатные группы, мы решили в качестве центрального ядра ввести остаток камфорной кислоты

Ранее было показано, что использование как мономеров дихлорангид-ридов, структура которых соответствует структуре мезогенного фрагмента, позволяет получать методом высокотемпературной безакцепторной поликонденсации широкий набор ЖК-полиэфиров высокой ММ [2]

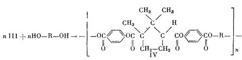
Условия синтеза полимеров отрабатывали на рацемических производ-ных. Дихлорангидрид III был получен в условиях, аналогичных условиям получения камфороилхлорида [3]. Поликонденсацией III с гексамети-ленгликолем-1,6, декаметиленгликолем-1,10, хлоргидрохиноном и гидрохиноном были получены соответствующие полиэфиры IVa-r. За исключением поли(га-фенилен-камфороил-бкс-4-оксибензоата) IVr, который не плавится до температуры деструкции, все они имеют низкие температуры размягчения и не обладают ЖК-свойствами (табл. 1).
Поликонденсация камфороилхлорида с хлоргидрохиноном, гидрохиноном и 4,4'-диоксидифенилом также привела к получению полимеров V— VII, не обладающего ЖК-свойствами (табл. 1).

То обстоятельство, что на основе 4,4'-диоксидифенила и различных алифатических кислот Кригбаум с сотр. получил широкий набор ЖК-по-лиэфиров [4], позволяло надеяться получить ЖК-сополиэфиры сополиконденсацией 4,4'-диоксидифенила, камфороилхлорида и соответствующего алифатического дихлорангидрида. Нами был выбран дихлорангидрид пимелиновой кислоты, так как было известно, что его гомополимер с 4,4'-диоксидифенилом образует нематический тип мезофазы. Следовательно, при введении хиральной добавки можно было получить холестерический тип мезофазы [5].



Рис. 1. Зависимость температур фазовых переходов от состава сополиэфиров VIII: 1 и 2 — температуры плавления и изотропизации

Рис. 2. Спектр кругового дихроизма пленки сополиэфира VIH-10 использован L-камфороилхлорид и в результате получен набор ЖК-со полимеров VIII (рис. 1).

Все сополиэфиры VIII, обладающие ЖК-свойствами, при охлаждении из изотропного расплава образуют планарную текстуру, которую удается «заморозить» в пленке при быстром охлаждении. Планарная текстура сополиэфиров VIII с х>0,5 отражает свет в видимой области (голубой), что часто наблюдается у низкомолекулярных холестеринов [6]. Нами были сняты спектры кругового дихроизма (КД) полученных пленок (рис. 2). Эти спектры по форме аналогичны полученным Кригбаумом и Ватапабе для пленок сополиэфиров 4,4'-диоксидифенила, 3-метиладипи-новой кислоты и алифатических дикарбоновых кислот [7].
Забиваем Сайты В ТОП КУВАЛДОЙ - Уникальные возможности от SeoHammer
Каждая ссылка анализируется по трем пакетам оценки: SEO, Трафик и SMM.
SeoHammer делает продвижение сайта прозрачным и простым занятием.
Ссылки, вечные ссылки, статьи, упоминания, пресс-релизы - используйте по максимуму потенциал SeoHammer для продвижения вашего сайта.
Что умеет делать SeoHammer
— Продвижение в один клик, интеллектуальный подбор запросов, покупка самых лучших ссылок с высокой степенью качества у лучших бирж ссылок.
— Регулярная проверка качества ссылок по более чем 100 показателям и ежедневный пересчет показателей качества проекта.
— Все известные форматы ссылок: арендные ссылки, вечные ссылки, публикации (упоминания, мнения, отзывы, статьи, пресс-релизы).
— SeoHammer покажет, где рост или падение, а также запросы, на которые нужно обратить внимание.
SeoHammer еще предоставляет технологию Буст, она ускоряет продвижение в десятки раз,
а первые результаты появляются уже в течение первых 7 дней.
Зарегистрироваться и Начать продвижение
Мы полагаем, однако, что следует с осторожностью связывать наблюдаемый спектр только с круговым дихроизмом, вызванным (закрученной) холестерической структурой пленок, так как сама планарная текстура является двулучепреломляющей и обладает свойствами двуосного кристалла. Об этом свидетельствует изменение кругового дихроизма при повторном снятии спектра одной и той же пленки. В то же время постоянство длины волны максимума спектра КД свидетельствует о том, что основной вклад в явление кругового дихроизма вносит планарная холестерическая текстура.


Рис. 3. Спектры поглощения и кругового ди- [в].рад.см
г/дМО
ль хроизма растворов полимеров VII (1), VIII-1, (2), VI1I-10 (3) и VIII-4 (4) в хлороформе (о) и диоксане (б)
Рис. 4. Спектры кругового дихроизма полимера VIII-10 в различных растворителях: 1 — 100%-ный хлороформ; 2 — 50% хлороформа+ + 50% диоксана; 3 — 22% хлороформа+ 78% диокеана; 4 — 100% диоксана

Рис. 4. Спектры кругового дихроизма полимера VIII-10 в различных растворителях: 1 — 100%-ный хлороформ; 2 — 50% хлороформа+ + 50% диоксана; 3 — 22% хлороформа+ 78% диокеана; 4 — 100% диоксана
Нами были исследованы хироптические свойства сополиэфиров VIII в растворе (табл. 2). Нелинейная зависимость величины мольного оптического вращения от состава, вероятно, определяется различной ММ этих сополиэфиров [8]. Спектры КД растворов сополиэфиров VIII приведены на рис. 3. Обращает на себя внимание сильное влияние растворителя. Для подобных алкиленароматических полиэфиров хлороформ — более хороший растворитель, чем диоксан [9]. В то же время фрагмент камфорной кислоты, как об этом можно судить на основании величин характеристической вязкости и ММ (табл. 2), является более «гибкой» развязкой, чем фрагмент пимелиновой кислоты. Величина КД в случае сополимеров VIII с большим содержанием фрагментов камфорной кислоты (55%) не зависит от растворителя и прямо пропорциональна содержанию этих фрагментов. Вероятно, она определяется в основном дисимметричным окружением бифенильного хромофора. Резкое изменение величины КД происходит при переходе от хлороформа к диоксану для сополимера VII-10 с £=0,52, что, вероятно, обусловлено изменением конформации полимера, вызванного ухудшением качества растворителя. Эти изменения происходят в широком диапазоне соотношений хлороформ — диоксан (рис. 4) и отражают усредненное влияние растворителя на конформацию макромолекул. Сополимер, содержащий 23% камфорной кислоты, растворяется в диоксане настолько плохо, что нам не удалось получить его истинный спектр КД (опалесцирующие растворы этого полимера проявляют аномальный КД, характерный для агрегирующих систем [10]).
Сервис онлайн-записи на собственном Telegram-боте
Попробуйте сервис онлайн-записи VisitTime на основе вашего собственного Telegram-бота:
— Разгрузит мастера, специалиста или компанию;
— Позволит гибко управлять расписанием и загрузкой;
— Разошлет оповещения о новых услугах или акциях;
— Позволит принять оплату на карту/кошелек/счет;
— Позволит записываться на групповые и персональные посещения;
— Поможет получить от клиента отзывы о визите к вам;
— Включает в себя сервис чаевых.
Для новых пользователей первый месяц бесплатно.
Зарегистрироваться в сервисе
Таким образом, конформация макромолекулы с мезогенными группами в основной цепи определяется соотношением качества растворителя и «гибкости» развязки и может изменяться от статического клубка [11] до конформации упорядоченной [ 12].
Вязкость полученных полимеров измеряли на вискозиметре типа Уббелоде. Мп
находили методом ИТЭК на приборе «Hitachi—Perkin—Elmer» модели 115 в хлороформе. Температуры фазовых переходов определяли на столике для определения температуры плавления «Боэтиус» с поляризационным микроскопом. Спектры ПМР снимали на приборах «JEOLC60L» (60 МГц) и «TeslaBS-497» (100 МГц). Оптическое вращение определяли на спектрополяриметре «Pepol-бО» (Великобритания) для растворов концентрацией 0,1-0,5 мг/мл в CF3
COOH. Спектры УФ и КД записывали на приборах «SpecordUV-VIS» и «Магк III» (Франция) для растворов с концентрацией 0,01—0,05 мг/мл в диоксане.
Камфороил-бис-4-оксибензойную кислоту (II) получали следующим образом. К раствору 72,5 г (0,53 моля) α-оксибензойной кислоты в 600 мл 1 н. NaOH в течение 30 мин при перемешивании прикапывали раствор 60 г (0,25 моля) камфороил хлорида в 200 мл четыреххлористого углерода. Затем при комнатной температуре раствор перемешивали еще 5 ч, следя за тем, чтобы рН не опускался ниже 8. Затем раствор подкисляли НС1 до рН 5 и отфильтровывали выпавший осадок. Его дважды перекристаллизовывали из воды и высушивали. Полученный продукт представлял собой кристаллогидрат II с одной молекулой воды. Выход 12,5 г (11%); Гпл
=177-178°. Спектр ПМР (100 МГц) в ацетоне-de. б, м. д.: а - 8,06 (4Н); б - 7,18 (4Н); в -1,19-1,09 (6Н); г-0,76 (ЗН); 9-3,15-1,0 (5Н).
Вычислено, %: С 63,43; Н 4,88. С2
4Н22
09
. Найдено, %: С 63,37; Н 4,82.
Дихлорангидрид камфороил-бис-4-оксибензойной кислоты (III) получали следующим образом. 12,5 г (0,027 моля), 11,8 г (0,20 моля) РС15
в 50 мл абс. петролейного эфира нагревали при 40° 3 ч до прекращения выделения газа. Затем отгоняли эфир в хлорокись фосфора. Оставшаяся прозрачная желтовая жидкость представляла собой искомый продукт. Выход 10,4 г (81%). Спектр ПМР (100 МГц) в CDCU 8 (м.д.): о-8,08 (ЗН); 6-7,20 (4Н); в - 1,19; 1,09 (6Н); г - 0,86 (ЗН); д - 3,15-1,0 (5Н).
Для поликонденсации в пробирку помещали эквимольные количества диола и дихлорангидрида (по 0,002 моля) в 4 мл дифенилоксида, в течение 15 мин продували аргоном, помещали в масляную баню, нагретую до 160°, и в токе аргона нагревали в течение 2,5 ч. Затем полимер высаждали в толуол, фильтровали и дважды переосаждали из хлороформа или смеси CF3
COOH: СНС1з (1:1 по объему) в метанол. Выход полимеров 95-98%.
ЛИТЕРАТУРА
1.Polk М., Nandu М. ЦJ. Polymer Sci. Polymer. Chem. Ed. 1986. V. 24. № 8. P. 1923.
2.Bilibin A.Yu., Zuev V.V., Skorokhodov S.S. // Makromolek. Chem. Rapid Commun.
1985. B. 6. № 9. S. 601.
3.Bredt J./JBer. 1912. B. 45. № 1. S. 1419.
4.Krigbaum W.R., Watanabe J., Ishikawa T. // Macromolecules. 1983. V. 16. № 8. P. 1271.
5.Shibaeu V.P., Plate N.Л.//Advances Polymer Sci. 1984. V. 60/61. P. 173.
6.Беляков В.А., Сонин А.С. // Оптика холестерических жидких кристаллов. М., 1982. С. 360.
7.Watanabe J., Krigbaum W.R. // J. Polymer Sci. Polymer Phys. Ed. 1985. V. 23. №3. P. 565.
8.Chiellini E., Solaro Д., Galli G., Ledwith A. 11 Advances Polymer Sci. 1985. V 62. P. 143.
9.Lenz R. W. //Recent Advances in Liquid Crystalline Polymers/Ed. by Chapoy L. L. L.; N. Y., 1985. P. 3.
10.Keller D., Bustamante C. // J. Chem. Phys. 1986. V. 84. № 6. P. 2981.
11.Blumstein A., Maret G., Vilasugar S. // Macromolecules. 1984. V. 14. № 8. P. 1543.
12.Chiellini E., Galli G. // Faraday Disc. Chem. Soc. 1985. V. 79. № 16. P. 1.
|