Микросостояния в ансамбле для удобства пронумеруем множеством {…, a, a+1,…i,…}. Построить необходимые математические соотношения, описывающие свойства канонического ансамбля Гиббса, можно проще всего, исходя из хорошо известных формул классической феноменологической термодинамики.
КАНОНИЧЕСКИЙ АНСАМБЛЬ образован из состояний равновесной изохорно-изотермической системы (V,T=const).
Каждое микросостояние совместимо с наблюдаемым макросостоянием коллектива, и это означает, что все они характеризуются одним и тем же значением наблюдаемых макроскопических параметров и свободной энергии A, т.е.:
; (1)
В разных микросостояниях энтропия и внутренняя энергия (Ui; Si) системы могут различаться, но неизменна их свободная энергия. Справедлива цепочка равенств:
; (2)
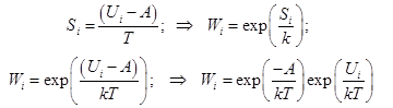
Энтропия S статистического коллектива и термодинамическая вероятность W связаны законом Больцмана-Планка: ; (3)
Отсюда возникает цепочка равенств:
(4)
Термодинамическая вероятность W макросостояния коллектива это число всех приводящих к нему комбинаций всех элементов между их возможными микросостояниями.
Каждая из комбинаций и порождает отдельное микросостояние колектива.
Поэтому всегда W>1. Очевидно минимум W =1 имеет место лишь в предельном случае идеально упорядоченного состояния коллектива (на атомно-молекулярном уровне – это состояния идеального кристалла), а во всех прочих случаях она больше единицы W>1.
Важны некоторые простые и почти очевидные соображения.
1. Вероятности и статистические суммы.
Математическая вероятность w каждого из микросостояний, входящих в макросостояние, это его доля во всём ансамбле, т.е. доля в макросостоянии. Она обратна термодинамической вероятности w =1/W и меньше единицы w <1.
Математические вероятности можно нормировать:
(1.1)
Всем микросостояниям отвечает одинаковая свободная энергия A, и поэтому множитель с нею можно вынести за знак суммы:
(1.2)
Второй сомножитель содержит сумму всех факторов Гиббса. Его называют суммой состояний, или суммой по состояниям, или статистической суммой исследуемого статистического коллектива (термодинамической системы) и обозначают как
(1.3)
Получаются очевидные соотношения,
; (1.4)
Вероятность микросостояния это одно из слагаемых суммы, и его можно выделить ; (1.5)
Часто применяется форма канонического распределения:
; (1.6)
2. Каноническое распределение по состояниям.
Запишем основную формулу:
(2.1)
Если у нескольких микросостояний энергии равны, то они относятся к общему вырожденному энергетическому уровню, а их вероятности одинаковы.
Забиваем Сайты В ТОП КУВАЛДОЙ - Уникальные возможности от SeoHammer
Каждая ссылка анализируется по трем пакетам оценки: SEO, Трафик и SMM.
SeoHammer делает продвижение сайта прозрачным и простым занятием.
Ссылки, вечные ссылки, статьи, упоминания, пресс-релизы - используйте по максимуму потенциал SeoHammer для продвижения вашего сайта.
Что умеет делать SeoHammer
— Продвижение в один клик, интеллектуальный подбор запросов, покупка самых лучших ссылок с высокой степенью качества у лучших бирж ссылок.
— Регулярная проверка качества ссылок по более чем 100 показателям и ежедневный пересчет показателей качества проекта.
— Все известные форматы ссылок: арендные ссылки, вечные ссылки, публикации (упоминания, мнения, отзывы, статьи, пресс-релизы).
— SeoHammer покажет, где рост или падение, а также запросы, на которые нужно обратить внимание.
SeoHammer еще предоставляет технологию Буст, она ускоряет продвижение в десятки раз,
а первые результаты появляются уже в течение первых 7 дней.
Зарегистрироваться и Начать продвижение
В этом случае удобно ввести кратности вырождения уровней gi. Объединяя равные слагаемые в формуле, статистическую сумму выражают через уровни:
; (2.2)
Получают распределение по уровням.
Оно очень удобно для анализа квантовых стационарных движений.
3. Невзаимодействующие подсистемы.
Если части системы (A,B,… K,…) не взаимодействуют между собою, то энергия системы аддитивна и является просто суммой энергий подсистем
; (3.1)
Энергию можно суммировать двояко. Можно найти суммарные энергии всех движений одной частицы, затем уже суммируя энергии частиц. Можно также суммировать энергию одного вида у всех частиц в коллективе, а уже затем суммировать коллективные энергии отдельных движений. Так в качестве подсистем могут оказаться как частицы, так и виды движений.
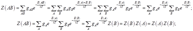
Статистическая сумма системы это мультипликативная функция. Она является произведением статистических сумм подсистем, составляющих систему. Чтобы убедиться в этом, обозначим подсистемы [A,B, …].
Энергетический уровень всей системы это сумма уровней невзаимодействующих подсистем. Если энергии суть EA, EB, то у системы уже EAB=EA+EB.
Если вырожденности (статистические веса) двух подсистем A, B равны gA, gB, то у системы AB это уже gAB=gAgB.
Образуем распределение Гиббса для системы из двух подсистем. Соответственно
(13.2)
Cтатистическая сумма системы обладает свойством мультипликативности: её сомножители это статистические суммы её подсистем.
Статистический подход оперирует исключительно энергетическими уровнями и состояниями в разных комбинациях.
Поэтому в качестве подсистем могут рассматриваться и материальные части коллектива, и отдельные виды движения, у которых можно выделить самостоятельные наборы квантовых состояний.
3.1. Статистические суммы и свободные энергии у невзаимодействующих подсистем.
Так, если статистическая сумма одной частицы равна Q, то для коллектива из N частиц сумма состояний в силу мультипликативности примет вид
;
Более просто это выражение запишется как
. (3.3)
Так же обстоит дело и для различных видов движения. Если каждому отдельному виду движения в системе отвечает своя сумма состояний, то результирующая сумма для совокупности движений есть их произведение.
Например, обозначая статистические суммы одиночной молекулы отдельно для поступательного(t-translation), вращательного(r-rotation), колебательного(V-vibration), электронного(e-electronic), ядерного (n-nuclear) движений (стационарных состояний) в виде qt, qr, qV, qe, qn, следует записать молекулярную сумму Q в виде их произведения
Сервис онлайн-записи на собственном Telegram-боте
Попробуйте сервис онлайн-записи VisitTime на основе вашего собственного Telegram-бота:
— Разгрузит мастера, специалиста или компанию;
— Позволит гибко управлять расписанием и загрузкой;
— Разошлет оповещения о новых услугах или акциях;
— Позволит принять оплату на карту/кошелек/счет;
— Позволит записываться на групповые и персональные посещения;
— Поможет получить от клиента отзывы о визите к вам;
— Включает в себя сервис чаевых.
Для новых пользователей первый месяц бесплатно.
Зарегистрироваться в сервисе
Q trVen =qt× qr× qV × qe× qn; (3.4)
Из-за мультипликативности суммы состояния свободная энергия оказывается аддитивной величиной. Её можно суммировать как по отдельным частицам коллектива, так и по видам движения. Соответственно, свободные энергии частицы и коллектива имеют вид
; (3.5)
Так же и виды движения в коллективе проявляются в свойствах коллектива.
; (3.6)
Суммы состояний и свободные энергии с такими простыми свойствами дают очень хорошее начальное приближение для исследования реального коллектива, в котором важна роль взаимодействий между его элементами – статистическими подсистемами.
4. Каноническое распределение по уровням.
Набором квантовых состояний – уровней определяется любого коллектива целиком определяется его полная статистическая сумма состояний и его свободная энергия
(4.1)
Канонический ансамбль состояний описывает реальную изотермическую систему при постоянной температуре. Коллектив - система может быть макроскопическим, и должен состоять из огромного числа однотипных подсистем.
Если коллектив состоит из микроскопических элементов –атомов и молекул, то в отсутствие взаимодействий между ними получаем модель статистического идеального газа.
Каноническое распределение Гиббса становится распределением Больцмана, а факторы Гиббса превращаются в факторы Больцмана. Статистические свойства идеального газа блестяще описываются даже на основе простейших квантовых моделей молекулярных движений с поправками, посредством которых учитываются свойства симметрии коллектива.
5. Идеальный газ. Распределение Больцмана.
Распределение Больцмана описывает изотермическую систему множества однотипных невзаимодействующих между собою частиц. Поэтому его называют распределением для идеального газа. Это предел распределения Гиббса для коллектива и ансамбля состояний частиц идеального газа.
Для такого случая символ Z полной статистической суммы коллектива заменяется символом Q полной статистической суммы идеального газа.
6. Уровни простейших стационарных движений.
Уровни квантовых систем получают из уравнения Шрёдингера.
6.1) Простейшее поступательное движение. Уровни одномерного ящика.
Поступательные уровни замкнутой системы – «ящика».
; (6.1)
6.2) Простейшее вращательное движение. Ротатор.
Вращательные уровни линейной частицы
; (16.2)
; (16.3)
16.3) Простейшее колебательное движение. Осциллятор (Вибратор).
Колебательные уровни.
; (6.4)
7. Статистические суммы для простейших стационарных движений.
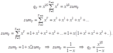
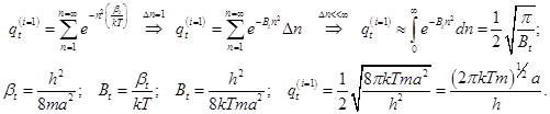
7.1) Поступательная статистическая сумма одномерного движения.
(7.1)
Здесь использован стандартный интеграл – интеграл Пуассона ; (17.2)
ВНИМАНИЕ! Результат предварительный: ; (7.3)
Полученное выражение необходимо скорректировать и учесть неразличимость частиц вследствие перемешивания газа за счёт броуновского движения.
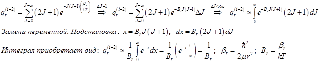
7.2) Вращательная статистическая сумма линейной молекулы.
Расчёт приближённый – для молекул с достаточно большой массой обоих атомов.
(17.4)

Формула применима для частиц с очень близко расположенными вращательными уровнями. Это имеет место у молекул тяжёлых. Для молекул, содержащих водород и его изотопы эта формула не вполне точна, и статистическая сумма вращения вычисляется численно прямым суммированием.
ВНИМАНИЕ! Результат предварительный: ; (7.5)
Полученное выражение необходимо скорректировать и учесть неразличимость ориентаций молекулы, возникающих при её самосовмещении при повороте.
7.3) Статистическая сумма для гармонического колебания.
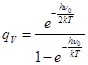
Расчёт проводится от нуля энергии колебания. Квантовое число основного уровня v=1/2 отвечает низшему колебательному уровню
; (7.6)
Если то сумма представляет собой убывающую геометрическую прогрессию. Это даёт возможность выполнить простые преобразования:
; (7.7)
Получено выражение колебательной суммы состояний при отсчёте энергии от запрещённого для осиллятора нулевого значения.
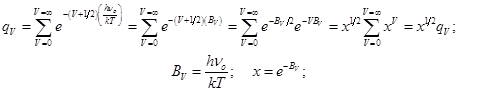
Результат: ; (7.8)
18.2) Вибрационная сумма состояний (от E=0) (1 степень свободы).
Формулу (18.1) можно представить равносильным способом.
; (8.1)
8.3) Вибрационная сумма состояний (от основного уровня V=1/2, E=hn0/2).
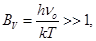
При отсчёте энергии уровней от минимально допустимого значения (от уровня с колебательным квантовым числом V=1/2) статистическая сумма (7.8 или 8.1) упрощается, принимая вид (8.2). Это удобнее для практических вычислений, поскольку энергия колебаний отсчитывается уже непосредственно от уровня основного электронно-колебательного состояния - D, от которого определяется энергия диссоциации молекулы или соответствующей химической связи на нейтральные атомы. Такая диссоциация требует меньших затрат, но возможен распад связи и на заряженные ионы. Для этого необходимы дополнительные затраты энергии на преодолению сил кулоновского притяжения ионов, а энергия диссоциации на ионы возрастает.
; (8.2)
|