ФЕДЕРАЛЬНОЕ АГЕНСТВО ПО ОБРАЗОВАНИЮ
ГОСУДАРСТВЕННОЕ ОБРАЗОВАТЕЛЬНОЕ УЧРЕЖДЕНИЕ
ВЫСШЕГО ПРОФЕССИОНАЛЬНОГО ОБРАЗОВАНИЯ
«ЛИПЕЦКИЙ ГОСУДАРСТВЕННЫЙ ТЕХНИЧЕСКИЙЦ УНИВЕРСИТЕТ»
Кафедра химии
Зачетная задача по предмету:
«Аналитические методы анализа в мониторинге объектов окружающей среды»
на тему:«Анализ почвы»
Выполнил:
студент ХМФ гр. АХ-06-1
Ирхина Э.Е.
Проверил:
Дергунова Елена Сергеевна
Липецк 2010 г.
Введение
Почва – особое природное образование, сформировавшееся в результате длительного преобразования поверхностных слоев литосферы под совместным взаимообусловленным взаимодействием гидросферы, атмосферы, живых и мертвых организмов. Почва состоит из органических, минеральных, органоминеральных комплексных соединений, почвенной влаги, воздуха и живых существ, населяющих ее.
Почва является одним из элементов биосферы, которые обеспечивают циркуляцию химических веществ в системе окружающая среда — человек. Причем это относится не только к эндогенным химическим веществам, но и к экзогенным химическим веществам, поступающим в почву с выбросами промышленных предприятий, сточными водами, выбросами авто- и авиатранспорта, при обработке сельскохозяйственных земель
Почва является местом сбора и хранения большого числа загрязнителей, куда они попадают в результате техногенной деятельности человека и выбросов загрязнителей из природных источников. Она не обладает свойством подвижности, характерным для других природных сред, и наиболее подвержена загрязнению. Кроме того, многие соединения, попадая в почву, вследствие химических и микробиологических превращений могут стать более токсичными, чем исходные. Из почвы может происходить загрязнение воды, воздуха, пищевых продуктов и других элементов биосферы канцерогенными и радиоактивными веществами.
Вследствие этого необходимо регулярно проводить мониторинг почв в различных раонах города и области.
В данной зачетной задаче проводился общий анализ почвы, отобранной в Усманском районе, Липецкой области.
1
Мониторинг почв
Мониторинг состояния почв предназначен для регулярных наблюдений за химическим загрязнением почв, их состоянием; обеспечивает сбор, передачу и обработку полученной информации в целях своевременного выявления негативных процессов, прогнозирования их развития, предотвращения вредных последствий и определения степени эффективности осуществляемых природоохранных мероприятий.
Забиваем Сайты В ТОП КУВАЛДОЙ - Уникальные возможности от SeoHammer
Каждая ссылка анализируется по трем пакетам оценки: SEO, Трафик и SMM.
SeoHammer делает продвижение сайта прозрачным и простым занятием.
Ссылки, вечные ссылки, статьи, упоминания, пресс-релизы - используйте по максимуму потенциал SeoHammer для продвижения вашего сайта.
Что умеет делать SeoHammer
— Продвижение в один клик, интеллектуальный подбор запросов, покупка самых лучших ссылок с высокой степенью качества у лучших бирж ссылок.
— Регулярная проверка качества ссылок по более чем 100 показателям и ежедневный пересчет показателей качества проекта.
— Все известные форматы ссылок: арендные ссылки, вечные ссылки, публикации (упоминания, мнения, отзывы, статьи, пресс-релизы).
— SeoHammer покажет, где рост или падение, а также запросы, на которые нужно обратить внимание.
SeoHammer еще предоставляет технологию Буст, она ускоряет продвижение в десятки раз,
а первые результаты появляются уже в течение первых 7 дней.
Зарегистрироваться и Начать продвижение
В отличие от воды и атмосферного воздуха, которые являются лишь миграционными средами, почва является наиболее объективным и стабильным индикатором техногенного загрязнения. Она четко отражает эмиссию загрязняющих веществ и их фактического распределения в компонентах городской территории. Наиболее крупные промышленные города образуя обширные зоны загрязнений, постепенно превращаются в сплошные техногенные территории, представляющие серьезную опасность для здоровья проживающего на них населения.
В этой связи, постоянное наблюдение за содержанием промышленных токсикантов в почвах и тенденцией их содержанием является наиболее актуальным.
Одним из наиболее мощным факторов, приводящим к загрязнению окружающей среды, является промышленность.
Зона существенного загрязнения почв химическими элементами в окрестностях промышленных предприятий занимает площадь радиусом 10 км с гораздо большей протяженность (до 30 км и более) в направлении господствующих ветров, а также в направлении стока поверхностных и грунтовых вод.
Источниками загрязнения почвы являются:
· выбросы вредных веществ в атмосферный воздух от стационарных и передвижных источников загрязнения;
· полигоны промышленных и бытовых отходов;
· несанкционированные свалки промышленных и бытовых отходов;
· средства химической защиты растений и минеральные удобрения.
На загрязнение почвы значительное влияние оказывают проливы нефтепродуктов, неорганизованные сбросы ливневых и талых вод, а также санитарное состояние городской территории.
Классификкация почв
Основной единицей классификации почв является тип почв. Понятие «тип почв». Под типом почв понимают почвы, образованные в одинаковых условиях и обладающие сходными строением и свойствами.
К одному типу почв относятся почвы:
· 1) со сходными процессами превращения и миграции веществ;
· 2) со сходным характером водно-теплового режима;
· 3) с однотипным строением почвенного профиля по генетическим горизонтам;
· 4) со сходным уровнем природного плодородия;
· 5) с экологически сходным типом растительности.
Широко известны такие типы почв, как подзолистые, черноземы, красноземы, солонцы, солончаки и др.
Каждый тип почв последовательно подразделяется на подтипы, роды, виды, разновидности и разряды.
Сервис онлайн-записи на собственном Telegram-боте
Попробуйте сервис онлайн-записи VisitTime на основе вашего собственного Telegram-бота:
— Разгрузит мастера, специалиста или компанию;
— Позволит гибко управлять расписанием и загрузкой;
— Разошлет оповещения о новых услугах или акциях;
— Позволит принять оплату на карту/кошелек/счет;
— Позволит записываться на групповые и персональные посещения;
— Поможет получить от клиента отзывы о визите к вам;
— Включает в себя сервис чаевых.
Для новых пользователей первый месяц бесплатно.
Зарегистрироваться в сервисе
Подтипы почв представляют собой группы почв, различающиеся между собой по проявлению основного и сопутствующего процессов почвообразования и являющиеся переходными ступенями между типами. Например, при развитии в почве наряду с подзолистым процессом дернового процесса формируется подтип дерново-подзолистой почвы. При сочетании подзолистого процесса с глеевым процессом в верхней части почвенного профиля формируется подтип глееподзолистой почвы.
Подтиповые особенности почв отражаются в особых чертах их почвенного профиля. При выделении подтипов почв учитываются процессы и признаки, обусловленные как широтнозональными, так и фациальными особенностями природных условий. Среди последних первостепенную роль играют термические условия и степень континентальности климата.
В пределах подтипов выделяются роды и виды почв. Роды почв выделяются внутри подтипа по особенностям почвообразования, связанным прежде всего со свойствами материнских пород, а также свойствами, обусловленными химизмом грунтовых вод, или со свойствами и признаками, приобретенными в прошлых фазах почвообразования (так называемые реликтовые признаки).
Роды почв выделяются в каждом типе и подтипе почв. Самые распространенные из них:
· 1) обычный род, т. е. отвечающий по своему характеру подтипу почв; при определении почв название рода «обычный» опускается;
· 2) солонцеватые (особенности почв определяются химизмом грунтовых вод);
· 3) остаточно-солонцеватые (особенности почв определяются засоленностью пород, которая постепенно снимается);
· 4) солончаковатые;
· 5) остаточно-карбонатные;
· 6) почвы на кварцево-песчаных породах;
· 7) почвы контактно-глеевые (формируются на двучленных породах, когда супесчаные или песчаные толщи подстилаются суглинистыми или глинистыми отложениями; на контакте смены наносов образуется осветленная полоса, образующаяся за счет периодического переувлажнения);
· 8) остаточно-аридные.
Виды почв выделяются в пределах рода по степени выраженности основного почвообразовательного процесса, свойственного определенному почвенному типу.
Для наименования видов используют генетические термины, указывающие на степень развития этого процесса. Так, для подзолистых почв — степень подзолистости и глубина оподзоливания; для черноземов — мощность гумусового горизонта, содержание гумуса, степень выщелоченности; для солончаков — характер распределения солей по профилю, морфология поверхностного горизонта (пухлые, отакыренные, выцветные).
Внутри видов определяются разновидности почв. Это почвы одного и того же вида, но обладающие различным механическим составом (например, песчаные, супесчаные, суглинистые, глинистые). Почвы же одного вида и одного механического состава, но развитые на материнских породах разного происхождения и разного петрографического состава, выделяются как почвенные разряды.
Дерново-подзолистые почвы - отличаются невысоким содержанием гумуса (0,5-2,5%) и небольшим гумусовым слоем (10-20 см), в связи с этим - невысоким естественным плодородием и, как правило, кислой реакцией (рН=4-5). В большинстве случаев они пере увлажнены.
Нуждаются в дренажных и других осушительных работах, увеличении гумусового горизонта, а также регулярном известковании и внесении повышенных доз органических удобрений или землевании.
Дерново-карбонатные почвы. В отличие от дерново-подзолистых почв обладают более высокой продуктивностью (гумус - 2-4%), меньшей кислотностью рН=6 и более благоприятными физико-механическими показателями. Для получения высоких урожаев нуждаются только в повышенных дозах органических и минеральных удобрений.
Серые лесные почвы. По многим показателям близки к дерново-карбонатным почвам (только несколько выше кислотность (рН—5,5-6,5). Они склонны к замыванию и переуплотнению. Нуждаются в периодическом известковании, углублении пахотного горизонта, а также в удобрении фосфором и азотом.
Торфяно-болотные почвы. Характеризуются высоким естественным плодородием и большим содержанием азота (2-4%), низким содержанием фосфора, высокой кислотностью (рН=3,5-5) и низкими физико-механическими свойствами. Нуждаются в регулировании водного режима (осушение-орошение), внесении фосфорно-калийных удобрений, регулярном известковании и внесении микроэлементов.
Черноземные почвы. Лучшие из почв по всем показателям (уровню плодородия, глубине гумусового горизонта (если не эродированы), содержанию макро- и микроэлементов и физико-механическим параметрам почвы). Оподзоленные черноземы склонны к заиливанию и переуплотнению, а карбонатные черноземы бедны железом : в доступной для растений форме (провоцируется хлороз винограда и плодовых).
2 Методика определения гигроскопической влаги почвы
Навеску почвы 2-5 г берут на аналитических весах в предварительно высушенных при температуре 100-105 0
С и взвешенных стеклянных бюксах (бюксы взвешивают с крышками). Бюксы с почвой в течение 5 ч выдерживают в сушильном шкафу при температуре 100-1050
С. С помощью щипцов с резиновыми наконечниками бюксы вынимают из сушильного шкафа, закрывают крышками, охлаждают в эксикаторе и взвешивают. Условились считать, что выдерживание почвы в течение 5 ч при температуре 100-1050
С приводит к полной потере гигроскопической влаги. Если необходимо проверить полноту удаления гигроскопической влаги, бюксы с почвой снова ставят в сушильный шкаф на 1,5-3 ч и взвешивают. Высушивание прекращают, если масса равна или больше результата предыдущего взвешивания (увеличение массы может произойти за счет окисления некоторых компонентов почв). Расчет массовой доли гигроскопической влаги (%) проводят по уравнению:

Где m – масса воздушно-сухой почвы, г; m1
– масса высушенной почвы, г.
2.1 Определение C и органических соединений по Тюрину
Приборы и реактивы:Аналитические весы, Колба коническая термостойкая на 100 мл.,воронка стеклянная диаметром 3см,бюретка на 25 мл.,пипетка медицинская,фильтровальная бумага, хромовая смесь 0,4н,соль Мора 0,2 н, ФАК 0,2%,KMnO4
.
Ход работы:
Взять мелкодисперсную навеску 0,5 г,Поместить в колбу емкостью 100 мл. Затем в колбочки пипеткой прилить по каплям 10 мл 0,4 н р-ра K2
Cr2
O7
в H2
SO4
.Осторжно взболтать и поставить на эл. плитку.Кипятят 5 минут,одновременно проводят холостое кипячение без почвы, только 10 млK2
Cr2
O7.
После кипячения колбы охлаждают. Смывают капли хромовой смеси дистиллированной водой в колбочку и, добавив 4-5 капель 0,2% р-ра ФАК, титруют 0,2 н соли Мора.Переход окраски из вишнево-фиолетовой в зеленую. Одновременно проводят холостое титрование. По объему соли Мора, пошедшего на титрование,определяют колличество хромовой смеси, не израсходованной на окисление органического вещ-ва почвы. При титровании солью Мора избытка K2
Cr2
O7
происходит реакция:
6FeO4
(NH4
) 2
SO4
+K2
Cr2
O7
+7H2
SO4
=Cr2
(SO4
)3
+3Fe2
(SO4
)3
+6(NH4
)2
SO4
+ K2
SO4
+7H2
O
Содержание углерода вычисляют по формуле:
C%=((Vхол
-Vраб
)*N*0.003*100)/a ,
Где Vхол
-объем соли Мора(мл) пошедший на титрование 10 мл K2
Cr2
O7
.
2.2 Определение фенола в почве
Приборы и реактивы: п-нитроаналин,NaNo2
(1н), Н2
SО4
(разбавл), Na2
CO3
(2н), смесь: уксуская кислота- бутанол- вода (3:5:2)
Ход работы:
Растворяют 5г фенола в дистиллированной воде , разбавляют до 1л.Отбирают 1мл этого раствора , содержащий 5 мл фенола , вносим в делительную воронку, прибавляем 1 мл H2
SО4
, 25 мл Na2
СО3
, 2,5 мл п-нитроаналина. Затем прибавляем еще 50 мл H2
SО4
и экстрагируют краситель 50 мл хлорбензола. Бензольный экстракт фильтруют в 50 мл колбу и доводят до метки чистым хлорбензолом (0,1 мл фенола содержит).
Далее вносим на покрытое смесью стекло, следующие концентрации: 5,0; 10,0; 20,0; 70,0; и Х мкг. Помещаем пластинку в хроматографическую камеру. Пятна фенола (розово-сиреневого цвета) появляются на расстоянии 1-15 см от стартовой линии.(Rf
=0.1).
Каждое пятно экстрагируют изопропанольной смесью и измеряют оптическую плотность экстрактов при λ=540нм.
По градуировочному графику находят содержание фенола.
2.3 Определение общей щелочности и щелочности, обусловленной карбонат-ионами
Навеску почвы массой 40,0 г помещают в сухую колбу или другую емкость вместимостью 250 мл. К почве с помощью мерного цилиндра приливают 100 мл. 1 М раствора KCl. Содержимое колбы взбалтывают 1 час и фильтруют через складчатый фильтр в сухую коническую колбу. Чтобы получить прозрачные фильтраты, на фильтр переносят как можно больше почвы. Первые порции фильтрата могут опалесцировать, их перефильтровывают. Вытяжка должна быть прозрачной.
В полученной 1 М KCl-вытяжке определяют концентрацию карбонат-ионов. Для этого из мерной колбы в коническую колбу для титрования вместимостью 100 мл прибавляют 25 мл аликвоты раствора и несколько капель фенолфталеина. Титруют 0,01 М раствором H2
SO4
до обесцвечивания розовой окраски раствора. Записывают объем титранта V1
, пошедший на титрование.
Далее определяют общую щелочность. Для этого из мерной колбы в коническую колбу для титрования вместимостью 100 мл прибавляют 25 мл аликвоты раствора и несколько капель метилового-оранжевого. Титруют 0,01 М раствором H2
SO4
до изменения окраски раствора из желтой в оранжевую. Записывают объем титранта V2
, пошедший на титрование.
Концентрацию карбонат-ионов и общую щелочность вычисляют по формулам:
= ;
;
где н – нормальность кислоты; Vа
– объем аликвоты, мл; V0
– объем, добавленный к навеске почвы, мл; m – навеска почвы, г.
2.4 Методика комплексонометрического определения валового содержания железа в почвах
На конических колбах вместимостью 250 мл делают отметку на уровне, соответствующем объему 50 мл. В колбу помещают 25 мл фильтрата, полученного после отделения кремниевой кислоты, добавляют 5-7 капель концентрированной азотной кислоты и нагревают до кипения, окисляя Fe(II).
Затем в колбу добавляют 10-15 капель 25%-ного раствора аммиака, помещают кусочек индикаторной бумаги Конго-рот и добавляют по каплям сначала 25%-ный раствор аммиака, а затем 10%-ный до перехода синей окраски индикаторной бумаги в бурую. Если при этом выпадет осадок, его растворяют несколькими каплями 1 н. HCl. В колбу приливают 5 мл 1 н. HCl, и объем жидкости дистиллированной водой доводят до отметки, соответствующей 50 мл. Содержимое колбы нагревают до 50-60 °С, добавляют 1-3 капли 10%-ного раствора сульфосалициловой кислоты и титруют 0,01 М раствором комплексона III до перехода лиловой окраски сульфосалицилата железа в бледно-желтую комплексоната железа. Скорость реакции невелика, поэтому последние порции титранта добавляют медленно. Если в этой же порции анализируемого раствора будет определяться алюминий, нельзя добавлять избытка титранта.
2.5 Определение кальция и магния при совместном присутствии
Константы устойчивости этилендиаминтетраацетатов кальция и магния различаются на 2 порядка. Поэтому эти ионы нельзя оттитровать раздельно, используя только различие в константах устойчивости комплексонатов. При pHопт
~ 10 в качестве металлоиндикаторов используют эриохромовый черный Т. При этих условиях определяют сумму кальция и магния. В другой аликвотной части создают pH > 12, вводя NaOH, при этом магний осаждается в виде гидроксида, его не отфильтровывают, и в растворе определяют комплексонометрический кальций в присутствии мурексида, флуорексона или кальциона, являющихся металлоиндикаторами на кальций. Магний определяют по разности.
Выполнение определения.
1. Определение суммы кальция и магния.
Отбирают пипеткой 10 мл анализируемого раствора (водной вытяжки почвы) из мерной колбы вместимостью 100 мл в коническую колбу для титрования вместимостью 100 мл, прибавляют 2-3 мл буферного раствора с pH 10, 15 мл воды, перемешивают и прибавляют на кончике шпателя 20-30 мг смеси эриохромового черного Т и хлорида натрия. Перемешивают до полного растворения индикаторной смеси и титруют раствором ЭДТА до изменения окраски раствора из винно-красной в голубую.
2. Определение кальция.
Отбирают пипеткой 10 мл анализируемого раствора (водной вытяжки почвы) в коническую колбу для титрования вместимостью 100 мл, прибавляют 2-3 мл раствора NaOH или KOH, разбавляют водой примерно до 25 мл, вводят 20-30 мг индикаторной смеси мурексида, флуорексона, или кальциона с хлоридом натрия и титруют раствором ЭДТА до изменения окраски раствора от одной капли раствора ЭДТА.
Изменение окраски в конечной точке титрования зависит от выбранного металлоиндикатора. При использовании мурексида окраска изменяется из розовой в фиолетовую; при использовании флуорексона – из желтой с зеленой флуоресценцией в бесцветную или розовую с резким уменьшением интенсивности флуоресценции; при использовании кальциона – из бледно-желтой в оранжевую. В последнем случае щелочную среду создают только 2 М раствором KOH.
3. Определение магния. Объем титранта, израсходованный на титрование магния, вычисляют по разности объемов ЭДТА, пошедшей на титрование при pH 10 и при pH 12.
2.6 Методика определения обменной кислотности
Навеску почвы, пропущенной через сито с отверстиями диаметром 1-2 мм, массой 40 г помещают в колбу вместимостью 250 мл. В колбу приливают 100 мл 1М раствора KCl и взбалтывают в течение 1 ч. Часовое взбалтывание суспензии может быть заменено трехминутным взбалтыванием с последующим суточным настаиванием. Содержимое колбы фильтруют в сухую коническую колбу или другую емкость. Первые 10 мл фильтрата выбрасывают.
После того, как суспензия будет профильтрована полностью, 50 мл фильтрата помещают в коническую колбу вместимостью 250 мл, добавляют 2-3 капли фенолфталеина и титруют 0,02-0,1М раствором NaOH до появления розовой окраски, не исчезающей в течение 1 мин.
Обменную кислотность (Ноб
) рассчитывают по уравнению:

Где V и V1
– объем NaOH, пошедший на титрование соответственно аликвоты вытяжки и контрольной пробы; н – молярная концентрация NaOH, ммоль/мл; Vал
и V0
– объем аликвоты вытяжки и общий объем добавленного к почве 1М KCl, мл; m - навеска почвы, г.
Реагенты:
1М раствор KClрастворяют в 300-400 мл дистиллированной воды, раствор фильтруют и объем доводят до 1 л. Значение рН раствора соответствует 5,6-6,0 (рН дистиллированной воды, находящейся в равновесии с СО2
атмосферного воздуха, имеет рН около 5,6).
2.7 Методика определения гидролитической кислотности
В сухую колбу вместимостью 250 мл помещают навеску почвы, пропущенной через сито с отверстиями диаметром 1 мм, массой 40,0 г. В колбу приливают 100 мл 1М раствора СН3
СООNa и взбалтывают в течение часа. Часовое взбалтывание может быть заменено 3 минутным с последующим 18-20 часовым настаиванием с периодическим (4-5 раз) взбалтыванием суспензии. Суспензию взбалтывают круговыми движениями и фильтруют через сухой складчатый фильтр. Первые порции (около 10 мл) фильтрата выбрасывают. Если затем при фильтровании получают мутный раствор, его перефильтровывают. Аликвоту фильтрата 50 мл помещают в коническую колбу вместимостью 250 мл, добавляют 2-3 капли фенолфталеина и титруют 0,02-0,1 н раствором NaOH до слабо-розовой окраски, не исчезающей в течение 1 мин. Гидролитическую кислотность рассчитывают по уравнению:
Нг
моль(+)/100 г почвы = [VнV0
100]/[Vал
m],
Где V и н – объем и концентрация раствора NaOH, ммоль/мл; Vал
- объем аликвоты вытяжки, мл; V0
– объем добавленного к навеске почвы раствора ацетата натрия, мл; m - навеска почвы, г. Если полученный результат умножают на 1,75 для компенсации неполного извлечения из почв кислотных компонентов при однократной обработке почвы экстрагирующим раствором, в комментарии к результатам анализа делают соответствующую оговорку.
Реагенты:
1М раствор СН3
СООNa с рН 8,3. Навеску ацетата натрия 82,0 г СН3
СООNa или 136,0 г СН3
СООNax3Н2
О растворяют в дистиллированной воде ,(если необходимо, фильтруют), доводят объем до 1 л и измеряют рН. Величину рН доводят до 8,3 растворами СН3
СООNa или NaOH с массовой долей 10%. Контроль рН раствора может быть осуществлен с помощью фенолфталеина. Раствор ацетата натрия при добавлении фенолфталеина должен иметь слабо-розовую окраску.
2.8 Методика определения концентрации фосфатов в 0,03 н.
K
2
SO
4
-вытяжках (по Карпинскому – Замятиной)
Навеску почвы массой 20,0 г помещают в сухую колбу или другую емкость вместимостью 250 мл. К почве с помощью мерного цилиндра приливают 100 мл. 0,03 н. раствора K2
SO4
. Содержимое колбы взбалтывают 5 мин и фильтруют через складчатый фильтр в сухую коническую колбу. Чтобы получить прозрачные фильтраты, на фильтр переносят как можно больше почвы. Первые порции фильтрата могут опалесцировать, их перефильтровывают. Вытяжка должна быть прозрачной.В полученной 0,03 н. K2
SO4
-вытяжке определяют концентрацию фосфатов. Для этого в мерную колбу вместимостью 50 мл. помещают 20-40 мл. вытяжки. В колбу добавляют 8 мл. реагента Б. Объем жидкости в колбе доводят дистиллированной водой до метки, тщательно перемешивают и через 10 мин. Измеряют оптическую плотность раствора при длине волны 630-882 нм.
Перед окрашиванием анализируемого раствора необходимо приготовить шкалу стандартных растворов для получения градуировочной кривой. С этой целью в мерные колбы вместимостью 50 мл. приливают по 2 мл. 0,6 н. K2
SO4
, что обеспечит концентрацию сульфата калия в находящемся в колбе растворе приблизительно такую же, какую получают при анализе 40 мл K2
SO4
-вытяжки. Затем в каждую из колб с помощью бюретки приливают стандартный раствор с содержанием фосфора 0,005 мг P в 1 мл. В колбы добавляют 0,5; 1,0; 3,0; 5,0; 7,0 и 10,0 мл стандартного раствора. В колбы приливают дистиллированную воду приблизительно до объема 35 – 40 мл, реагент Б. Содержимое колб тщательно перемешивают, через 10 мин измеряют оптическую плотность и строят градуировочную кривую в координатах: оптическая плотность – количество фосфора в мерной колбе. По градуировочной кривой находят концентрацию фосфора в анализируемых растворах. Результаты анализа выражают в мг/л:
P, мг/л = Cp
1000/Vал
,
где Vал
– объем аликвоты вытяжки, мл; Сp
– число миллиграммов фосфора в мерной колбе, мг/объем мерной колбы.
3 Экспериментальная часть
В экспериментальной части проводился анализ почвы. Почва была отобрана в Усманском районе, Липецкой области. Проба отбиралась с глубины около 20 см, масса пробы составила 0,5 кг.
3.1 Определение гигроскопической влаги
1. Таблица полученных результатов:
Масса
бюкса, г
|
Масса бюкса
с почвой, г
|
Масса почвы
m, г
|
Масса бюкса
после сушки, г
|
Масса высушенной
почвы m1
, г
|
Гигроскопическая
влага, %
|
| 27,54575 |
29,21100 |
1,66255 |
30,12541 |
1,21441 |
36,90 |
| 33,18410 |
35,38934 |
2,205240 |
36,54123 |
1,65181 |
33,50 |
| 41,38525 |
44,54641 |
3,16116 |
45,65941 |
2,29531 |
35,40 |
ωср
, % = 35,30%
2. Статистическая обработка данных.
- стандартное отклонение
1.394
Sr
= S/xср
- относительное стандартное отклонение
Sr
= 1.394/35.3 = 0.039


ω ∆ω = (35.30 3.46) %.
3.2 Определение C и органических соединений по Тюрину
Vхол
=40 мл
Vраб
=10 мл
а=0,5 г
С%=(30*0,2*0,003*100)/0,5=3,6%
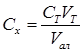
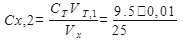
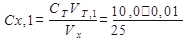
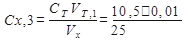
2. Определение фенола
Таблица полученных результатов
| Сфенола
мкг/мл |
Аоптическая плотность
|
| 5 |
0.07 |
| 23 |
0.148 |
| 42.7 |
0.254 |
| 70 |
0.338 |
| х |
0.160 |
Градуировочный график

Из графика видно, что
| № |
Ах
|
Сх,
мкг/мл |
| 1 |
0,160 |
38 |
| 2 |
0,180 |
40 |
| 3 |
0,190 |
43 |
| ср |
0,176 |
40 |
Статистическая обработка данных.
S= =2,08
Sr
= 2,08/40 = 0,052

С ∆С = (40 0,5)мкг/мл
Пересчитаем концентрацию: С=0,02г/20г почвы
3.3 Определение общей щелочности и щелочности, обусловленной карбонат-ионами
1. Таблица полученных результатов:
| № п/п |
Масса
навески, г
|
Объем
вытяжки, мл
|
Объем титранта 0,01 М H2
SO4
, мл |
| общий |
аликвота |
По ф/ф |
По м/о |
| 1 |
40 |
100 |
25 |
1,01 |
7,3 |
| 2 |
1,02 |
7,8 |
| 3 |
1,04 |
8,0 |
| ср |
1,03 |
7,9 |
2. Карбонатная щелочность.
;
 0.404ммоль/100г, почвы
0,408ммоль/100 г почвы
0,416 ммоль/100г почвы
ммоль/100 г почвы
0,404*0,03*100=1,212%
0,408*0,03*100=1,44%
0,416*0,03*100=1,248%
=1,301
Статистическая обработка данных.
S= =0,0031
Sr
= 0,0031/0,409 = 0,006

С ∆С = (0,409 0,024)ммоль/100г почвы.
3.4 Общая щелочность
ОЩ1= =1,662 ммоль/100г почвы
ОЩ2= =1,764 ммоль/100г почвы
ОЩ3= 1,808ммоль/100г почвы
ОЩср=1,745 ммоль/100г почвы
=1,662*0,061*100=10,14%
=1,764*0,061*100=10,76%;
=1,808*0,061*100=11,03%;
=1,745*0,061*100=10,65%.
Статистическая обработка данных.
S= 0.06
Sr
= 0,06/1,808 = 0,033
Т= =0,14
С ∆С = (1,808 0,14) ммоль/100г почвы.
3.5
Валовое содержание железа
1. Таблица полученных результатов:
| №п/п |
Навеска
почвы, г
|
Объем аликвоты,
мл
|
Объем титранта,
мл
|
| 1 |
20 |
25 |
12,0 |
| 2 |
11,5 |
| 3 |
12,0 |
| ср |
11,8 |
=0,0040н
=0,0038н
=0,0042н
=0,004н
С учетом разбавления:
С1
= 0,0080 моль/л
С2
= 0,0076 моль/л
С3
= 0,0084 моль/л
Сср
= 0,0080 моль/л.
mFe
3+
= 0,0080·56·0,1 = 0,0448 г.
ω, %= =0,224%
2. Статистическая обработка данных.
S= =0,002
Sr
= 0,002/0,0080 = 0,25
Т= =0,004
С ∆С = (0,0080 0,004)моль/л.
3.6 Определение кальция и магния при совместном присутствии
1. Определение суммы кальция и магния
СТ
= 0,1 моль-экв/л
Vал
= 10 мл

| № опыта |
Vт
, мл |
С∑
моль экв/л |
| 1 |
2,05 |
0,0205 |
| 2 |
2,10 |
0,0210 |
| 3 |
1,95 |
0,0195 |
| ср |
2,03 |
0,0203 |
Статистическая обработка результатов
S= =0,00026
Sr
= 0,00026/0,0203 = 0,0128
Т= =0,00061
Ср ср
±ΔC=(0,02030 ± 0,00061)ммоль экв/мл
m∑
= 0,056 + 0,0128 = 0,069
ω%=0,203%
2. Определение кальция
Vал
= 10 мл
Ст
= 0,1 моль экв/л
№ опыта
|
Vт
, мл |
СCa2+
моль экв/л |
| 1 |
1,38 |
0,0138 |
| 2 |
1,36 |
0,0136 |
| 3 |
1,32 |
0,0132 |
| ср |
1,36 |
0,0136 |
Статистическая обработка результатов
S= =0,0015
Sr
= 0,0015/0,0136 = 0,11
Т= =0,0037
Ср ср
± ΔC = (0,0136 ± 0,0037)ммоль экв/мл
ω%=mCa
/ mн
mCa
= 0.0136·40·0.1 = 0,0544 г
ω%=0,19%
3.Определение магния
Vал
= 10 мл
Ст
= 0,1 моль экв/л
| № опыта |
Vт
, мл |
СMg
2+
моль экв/л |
| 1 |
0,71 |
0,0071 |
| 2 |
0,73 |
0,0073 |
| 3 |
0,74 |
0,0074 |
| ср |
0,72 |
0,0072 |
Статистическая обработка результатов
S= =0.00024
Sr
=0,00024/0,0072 = 0,033
Т= =0.00054
Ср ср
± ΔC = (0,0072 ± 0,00054)ммоль экв/мл
mMg
= 0,0072·24·0,1 = 0,01761 г
ω%=0,071%
3.7 Определение обменной кислотности
1. Таблица полученных данных
| № п/п |
Vт
|
Vал
|
mнав
|
V0
|
Ноб,
ммоль(+)/100г
почвы
|
| 1 |
2,7 |
50 |
40 |
100 |
1,47 |
| 2 |
2,73 |
1,43 |
| 3 |
2,67 |
1,32 |
| Cр |
2,69 |
1,40 |
2. Статистическая обработка результатов
S= =0,03
Sr
=0,03/1,40 = 0,028
Т= =0.02
Ср ср
±ΔC=(1,40±0,020)ммоль/100 г почвы
3.8 Определение концентрации фосфатов в 0,03 н.
K
2
SO
4
-вытяжках (по Карпинскому – Замятиной
)
1. Построение градуировочного графика.
График: оптическая плотность – объем аликвоты.

| Vал
|
Оптическая плотность, Аср
|
| 0.5 |
0.11 |
| 1 |
0.27 |
| 3 |
0.49 |
| 5 |
0.67 |
| 7 |
0.79 |
| 10 |
0.93 |
| х |
0,53 |
С1
= = 3,25 мг/100 г;
С2
= =3,27 мг/100 г;
С3
= =3,29 мг/100 г.
Сср
= 3,27 мг/100 г = 3,27·10-3
г/100 г
ω%=( Ср ср
/10)·100% = 0,0327%
2. Статистическая обработка результатов
S= =0,016
Sr
=0,016/3,27 = 0,048
Т= =0,039
Ср ср
±ΔC=(3,27±0,039)мг/100 г
3.
9 Определение гидролитической кислотности
1. Таблица полученных результатов
| № опыта |
Vт
|
Vал
|
mнав
|
V0
|
Нгидр
ммоль(+)/100г
почвы
|
| 1 |
1,17 |
50
|
40 |
100 |
0,61 |
| 2 |
1,22 |
0,56 |
| 3 |
1,19 |
0,51 |
| Cр |
1,19 |
0,51 |
2. Статистическая обработка результатов
S= =0,018
Sr
=0,018/0,51 = 0,02
Т= =0.059
Ср ср
±ΔC=(0,51±0,059)ммоль/100 г почвы.
3.10 Определение нитрат ионов в почве с использованием нитрат селективного электрода
Результаты определений занесены в таблицу:
| С, моль/л |
Е, В |
-lg C |
| 0,1 |
306.0 |
1 |
| 0,01 |
357.7 |
2 |
| 0,001 |
413.8 |
3 |
| 0,0001 |
462.6 |
4 |
По результатам построен график 1.

Концентрации найденные по градуировочному графику приведены в таблице:
| № определения |
Е, В |
-lg C |
С, моль/л |
| 1 |
457,2 |
3,86 |
0,000138 |
| 2 |
457,5 |
3,88 |
0,000132 |
| 3 |
455,7 |
3,87 |
0,000135 |
| ср |
455,7 |
3,87 |
0,000135 |
Статистическая обработка результатов
S= =0,00006
Sr
=0,00006/0,000135 = 0,04
Т= =0.009
Ср ср
±ΔC=(0,000135±0,009)ммоль/100 г почвы.
Пересчитаем концентрацию:
с = сNO
3
*14*105
/1-(w/100)
С=0,000135*15/1-(35,3/100)=0,034мг/кг
Заключение
В ходе данной работы был проанализирован образец почвы, отобранный в Усманском районе Липецкой области. Полученные результаты представлены в таблице:
Определяемый
показатель
|
Содержание
в образце почвы
|
Определяемый
показатель
|
Содержание
в образце почвы
|
Гигроскопическая
влага
|
35,3% |
Содержание кальция и магния |
0,203% |
Содержание
фенола
|
0,02г/20г почвы |
Содержание кальция |
0,19% |
Карбонатная
щелочность
|
0,409ммоль/100г почвы |
Содержание магния |
0,071% |
Общая
щелочность
|
1,808ммоль/100г почвы |
Гидролитическая
кислотность
|
1,40/100г почвы |
Содержание
железа
|
0,224% |
Обменная кислотность |
0,51 ммоль/100г почвы |
Содержание
фосфатов
|
0,0327% |
Содержание углерода |
3,6% |
Библиографический список
1 Химический анализ почв/ Воробьева Л.А. – М.: изд. МГУ, 1998. – 272с.: ил.
2 Эколого-аналитический мониторинг стойких органических загрязнителей/ Майстренко В.Н., Клюев Н.А. – М.: Мир: БИНОМ. Лаборатория знаний, 2004. -323с.: ил.
3 Основы аналитической химии. Практическое руководство: уч. Пособие для ВУЗов/ Фадеева В.И., Шеховцова Т.Н., Иванов В.М. и др.; под ред. Золотова Ю.А. – М.: Высшая школа, 2001. – 463с: ил.
4 Агрохимические исследования почв/Под ред. А.В.Соколова. М.: Наука, 1975. 98 с.
5 Учебно-полевая практика и лабораторные работы,методическое пособие/Дербенцева А.М.,Пилипушка В.Н.-Владивосток,2005.-24с.
6 Практикум по агрохимии/Под ред. МинееваВ.Г. М.:Изд-во МГУ,2001.-689 с.
|