МОСКОВСКИЙ ГОСУДАРСТВЕННЫЙ ОБЛАСТНОЙ УНИВЕРСИТЕТ
Реферат на тему:
«Биржевые индексы»
Реферат выполнила
студентка 2 курса
28 группы УП
Руденко Кристина Олеговна
2008 год.
Понятие индекса.
Существует множество экономических индексов, которые используются для оценки интенсивности изменения важнейших социально-экономических явлений и процессов, например: ВВП, инвестиций и основной капитал, валютных курсов и т.д. Индексы относятся к важнейшим обобщающим показателям статистики.
«Индекс» в переводе с латинского означает «указатель» или «показатель». С его помощью можно измерить динамику социально-экономического явления за два или более периода времени, динамику среднего показателя и сопоставить уровни явления в пространстве, по странам, экономическим районам, областям и т. д.
Индекс – это относительный показатель сравнения двух состояний простого или сложного явления, состоящего из соизмеримых или несоизмеримых элементов, во времени или пространстве. Другое определение индекса звучит следующим образом:
В статистике под индексом понимают относительный статистический показатель, который характеризует относительное изменение уровня изучаемого явления в рассматриваемом временном отрезке (текущим, отчетном периоде) по сравнению с другим его уровнем, принятым за базу сравнения (базисным периодом).
Существует множество различных индексов. Назовем самые известные.
- Индекс цен, который представляет собой относительный показатель, выраженный в коэффициентах или процентах, характеризующий изменение цен во времени (индекс динамики) или в пространстве (территориальный индекс).
- Индивидуальный индекс цен, представляющий собой отношение цены конкретного товара в определенный период времени к цене того же товара в базисном периоде.
- Сводный индекс цен – изменение агрегатной величины, которая состоит из изменений большого числа конкретных товаров (услуг). Эта величина должна представлять собой средневзвешенную величину, отражающую относительную роль составных частей ценообразования.
- Индекс потребительских цен (ИПЦ), являющийся одним из самых известных и важных показателей инфляции, характеризующий изменение стоимости фактического фиксированного набора товаров и услуг, приобретаемого населением. ИПЦ – это своеобразный барометр уровня жизни страны, благосостояния каждой семьи, каждого человека. Его традиционно называют индексом стоимости жизни. Он рассчитывается как для страны, так и для отдельных районов. Сложная процедура разработки этого индекса включает такие операции, как выбор товаров и услуг, приобретаемых населением, регистрацию цен через регулярные промежутки времени, комбинированные расчеты этих цен.
Забиваем Сайты В ТОП КУВАЛДОЙ - Уникальные возможности от SeoHammer
Каждая ссылка анализируется по трем пакетам оценки: SEO, Трафик и SMM.
SeoHammer делает продвижение сайта прозрачным и простым занятием.
Ссылки, вечные ссылки, статьи, упоминания, пресс-релизы - используйте по максимуму потенциал SeoHammer для продвижения вашего сайта.
Что умеет делать SeoHammer
— Продвижение в один клик, интеллектуальный подбор запросов, покупка самых лучших ссылок с высокой степенью качества у лучших бирж ссылок.
— Регулярная проверка качества ссылок по более чем 100 показателям и ежедневный пересчет показателей качества проекта.
— Все известные форматы ссылок: арендные ссылки, вечные ссылки, публикации (упоминания, мнения, отзывы, статьи, пресс-релизы).
— SeoHammer покажет, где рост или падение, а также запросы, на которые нужно обратить внимание.
SeoHammer еще предоставляет технологию Буст, она ускоряет продвижение в десятки раз,
а первые результаты появляются уже в течение первых 7 дней.
Зарегистрироваться и Начать продвижение
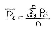
Расчет ИПЦ на федеральном и региональном уровнях производится по единой методологии. На основании данных регистрации цен определяются средние сопоставимые цены отчетного и предыдущего периодов на конкретные товары и услуги. Сопоставимыми считается цена, зарегистрированная в одном и том же предприятии торговли (сферы услуг) или сопоставимые с ним по типу торговли, виду собственности, на один и тот же аналогичный по качеству товар.
Средние цены отчетного и базисного периодов по каждому регистрируемому товару рассчитывается простой средней арифметической, то есть как сумма зарегистрированных цен в разных точках, деленная на число зарегистрированных цен:

ИПЦ характеризует изменение во времени общего уровня цен на товары и услуги, приобретаемые населением для непроизводственного потребления. Он измеряет отношение стоимости фактического фиксированного набора товаров и услуг в текущем периоде к его стоимости в предыдущем (базисном) периоде:

Расчет ИПЦ осуществляется:
· К предыдущему месяцу (или периоду)
· К декабрю предыдущего года (или квартала)
· К соответствующему месяцу (или периоду) предыдущего годы, например, январь 2007 г. к январю 2006г.
Методология расчета ИПЦ в России постоянно совершенствуется. Величины индексов потребительских цен, рассчитанных по годам, публикуются в официальных изданиях.
Индексы отдельных показателей в экономике, как и сами показатели, являются в значительной степени взаимосвязанными и образуют систему индексов, в которых одни из них являются факторами, а другие – результатами. Так, индексы цен на товары и услуги на потребительском рынке наряду с индексами номинальных доходов населения позволяют оценивать влияние изменения этих показателей на уровне реальных доходов населения, а следовательно, на уровень жизни. В свою очередь, колебание цен на потребительском рынке вызывает изменение покупательной способности денежной единицы и соответствующие изменение уровня инфляции. Всю эту взаимосвязь можно выразить через систему индексов, позволяющую определять роль отдельных факторов в формировании результативного показателя.
Сервис онлайн-записи на собственном Telegram-боте
Попробуйте сервис онлайн-записи VisitTime на основе вашего собственного Telegram-бота:
— Разгрузит мастера, специалиста или компанию;
— Позволит гибко управлять расписанием и загрузкой;
— Разошлет оповещения о новых услугах или акциях;
— Позволит принять оплату на карту/кошелек/счет;
— Позволит записываться на групповые и персональные посещения;
— Поможет получить от клиента отзывы о визите к вам;
— Включает в себя сервис чаевых.
Для новых пользователей первый месяц бесплатно.
Зарегистрироваться в сервисе
На основе индексов международных статистических организаций уравнивают динамичность развития отдельных стран, определяют их место в мировой экономике на основе таких показателей, как индекс физического объема ВВП, индекс безработицы, индекс потенциала человеческого развития и т.д.
Методы исчисления системы индексов цен.
Ключевыми направлениями при построении системы индексов цен (тарифов), отражающих инфляционные процессы в секторах экономики, были определяющими такие, как создание единых методологических подходов при расчете как средних цен, так и индексов цен.
Такие методологические подходы были сформулированы следующим образом:
· отбор базовых организаций для наблюдения за ценами (тарифами) на товары (услуги);
· формирование наборов товаров (услуг) представителей с учетом максимального сближения номенклатурных позиций;
· организация наблюдения за ценами (тарифами) по выборочной совокупности базовых организаций;
· единые временные параметры регистрации цен (тарифов) на товары и услуги (в конце отчетного месяца);
· единые принципы формирования базисных весов с ежегодным их пересмотром;
· расчет индивидуальных, групповых, отраслевых, региональных индексов цен и тарифов;
· общая для всей системы индексов цен (тарифов) формула расчета сводных индексов.
Биржевые индексы
Обобщающими показателями динамики курсов ценных бумаг являются индексы, которые рассчитываются биржевыми или специализированными фирмами.
Индексы дают возможность проанализировать состояние фондового рынка в прошлые периоды времени, выявить определенные тенденции, на основе которых могут быть сделаны прогнозы на будущее. На основе биржевых индексов можно судить также о состоянии экономики всей страны. Инвесторам же биржевые индексы позволяют оценивать состояние собственного портфеля ценных бумаг.
Биржевые показатели - это средние арифметические взвешенные или невзвешенные или индексы того или иного набора акций, представляющие единый индикатор состояния рынка, который можно легко изобразить в графическом виде. Чем меньше количество акций входит в индекс, тем менее представительным он является, поскольку лидерство на рынке постоянно меняется.
Если возникает необходимость оценить поведение целой группы акций (например, отдельного конкретного сектора или всего рынка в целом), используют биржевые индексы, позволяющие оценить ход глобальных процессов на рынках ценных бумаг.
Под биржевым (или фондовым) индексом понимают составной показатель изменения цен определенной группы активов (товаров, ценных бумаг или любых производных финансовых инструментов).
Особо важны динамические значения индексов, так как именно изменение индекса с течением времени дает основание для оценки общего направления движения рынка, даже если в конкретной выделенной группе цены акций меняются разнонаправлено. Выбирая те или иные показатели, можно оценивать с помощью биржевых индексов поведение, как отдельной группы активов, так и рынка (или его сектора) в целом.
Фондовые индексам отводится особая роль в биржевой статистике и, в частности, в анализе состояния фондового рынка ценных бумаг, и используются в следующих целях:
· для определения ценовой динамики рынка акций, рынка облигаций и в целом фондового рынка;
· для характеристики макроэкономической ситуации, прогнозные и текущие индикаторы которые являются состояние рынка ценных бумаг;
· в качестве параметров рынка в математических моделях, рекомендуемых для управления инвестициями в фондовые ценности.
· при создании ряда производственных финансовых инструментов, таких, как фьючерс на индекс, опцион на индекс, опцион на фьючерс на индекс;
· при расчете ряда показателей, характеризующих волатильность или иные параметры фондового рынка, где базой сравнения являются фондовые индексы.
Классификация фондовых индексов.
Различают следующие типы фондовых индексов:
· Индексы, характеризующие отдельные сегменты рынка ценных бумаг, среди них могут быть выделены индексы акций и индексы облигаций;
· Индексы, представляющие фондовый рынок с географической точки зрения, в этом случае выделяются индексы, относящиеся к национальным фондовым рынкам (рассчитываются национальными биржами и информационными агентствами, действующими внутри страны), и международные индексы, формируемые международными организациями и транснациональными инвестиционными банками и информационными агентствами. К первой группе относятся, например промышленный индекс Доу-Джонса, характеризующий американский фондовый рынок, индекс семейства DAX, описывающие поведение германского рынка акций и т.д. Ко второй группе можно отнести глобальные индексы, например, разработанные на основе единой методики и уникальной единой базы данных Международной финансовой корпорацией для отдельных стран, групп стран, крупных регионов, всего мира. Позже это семейство индексов перешло в собственность компании Standard & Poor's и сейчас имеет торговую марку IFC/S&P.
· Индексы, характеризующие сектора экономики, например, в семействах индексов выделяются промышленные, банковские, сводные (композитные) индексы.
· Относительно статистических методов, на базе которой рассчитываются индексы, можно выделить индикаторы, рассчитываемые на базе средних величин, и индикаторы, рассчитываемые непосредственно с помощью индексного метода.
Методы расчета индексов.
В общем видефондовые индексы представляют собой среднее изменение цен определенного набора ценных бумаг. Момент или период времени, с которым происходит сравнение, называется базисным. В базисный период цены акций, включенных в тот или иной индекс, трансформируются таким образом, чтобы на эту дату индекс равнялся 10, 100 или 1000 для простоты расчетов.
Несмотря на разнообразие фондовых индикаторов, в основе их расчетов лежат три принципиальныхметода расчетов:
- метод средней арифметической простой;
- метод средней геометрической;
- метод средней арифметической взвешенной.
При методе средней арифметической простой
цены акций всех эмитентов, входящих в индекс, на момент закрытия торгов складываются и сумма делится на количество составляющих для получения средней величины.
Берем акцию каждого вида с рынка:

тогда индекс будет равен :

где n
- количество исследуемых акций
Каждая акция имеет одинаковый вес вне зависимости от размера компании.
У первого метода есть одно преимущество — простота расчета. Следует, правда, иметь в виду, что даже при самом простом методе расчета реальное исчисление фондового индекса происходит значительно сложнее, поскольку его формула включает в себя различные коэффициенты, позволяющие гармонично при необходимости заменять акции одного эмитента на акции другого, учитывать и более сложные процессы на рынке — слияния, поглощения и т. д.
Наряду с относительной простотой расчетов у метода средней арифметической простой есть существенные недостатки: он не учитывает реальный масштаб рынка акций конкретного эмитента; в его структуре одинаковое место отведено и самой «сильной», и самой «слабой» компании в выборке. По данному методу до сих пор рассчитываются индексы из семейства «Доу Джонс».
Индекс по методу средней геометрической
вычисляется умножением цен акций, составляющих индекс друг на друга. Из этого произведения затем извлекается корень п-й
степени где п —
число акций в индексе:

Как и при использовании метода простой средней арифметической не принимается во внимание тот факт, что объем торговли по акциям разных компаний может быть различным.
По данному методу рассчитывается два известных индекса: FT-30 в Англии и TheValuelineCompositeIndex в США.
Метод средней арифметической взвешенной
применяется для того чтобы отразить в индексе влияние объемных показателей т.е. используется методика взвешивания цен акций.
Наиболее часто в качестве веса используется рыночная капитализация компании. Этот метод наиболее популярен в мировой практике фондовых индексов, поскольку он адекватно учитывает влияние тех акций, по которым капитализация выше и которые более ликвидны.
Виды акций: 
Цены :  
Число акций (объем продаж) : ; 

Метод средней арифметической взвешенной имеет некоторые вариации: текущее состояние рынка может сравниваться с состоянием рынка либо в базисный, либо в предыдущей период.
К наиболее известным индексам, рассчитываемым по данному методу, можно отнести семейство индексов S&P, сводный индекс Нью-Иоркской фондовой биржи, FT-100.
Индексы акций формирующихся рынков.
К формирующимся рынкам по классификации Международной финансовой корпорации отнесены 27 стран. Фондовые рынки этих стран отличаются особенно высокой волатностью, низкой ликвидностью акций. В соответствии с этими особенностями международной финансовой корпорацией были выработаны рекомендации по использованию методов расчета индексов на формирующихся рынках.
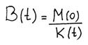
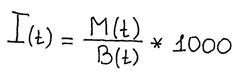
Приведем в качестве примера расчет индекса PX-50 Пражской фондовой биржи (Чехии). Этот индекс рассчитывается как капитализационно-взвешенный:


Если ввести переменную
то предыдущее выражение можно записать в виде:

Соответственно при указанных изменениях новое значение B(t) – newB(t) расчитывается следующим образом:

Аналогично рассчитываются индексы акций рынков Польши и Венгрии.
Особенности расчета российских индексов заключается в следующем:
· Практически все индексы являются капитализационными, опирающимися при расчете на формулу Пааше;
· В силу невысокой ликвидности российского рынка особое внимание уделяется созданию специальных алгоритмов расчета цен акций.
Например, семейство ММВБ.
В настоящий момент это семейство представлено следующей группой индексов: индекс ММБВ 10, сводный фондовый индекс ММВБ, технический индекс ММВБ. Методика расчета указанных индексов определяется тем, для каких целей они создавались.
Индекс ММВБ 10, рассчитывается с 19. 03. 2001 г., является индикатором, предназначенным для отражения текущей ситуации на российском фондовом рынке. Это ценовой невзвешенный индекс. Методология расчета указанного индекса основывается на расчете среднего арифметического изменения цен (среднее арифметическое значение из относительных цен) 10 наиболее ликвидных акций, допущенных к обращению в секции фондового рынка ММВБ.

Индекс рассчитывается в реальном масштабе времени, перерасчет значения индекса происходит после каждой сделки хотя бы с одной акции.
Наиболее популярны такие биржевые индексы, как DowJones, NASDAQ, Nikkei, RTS, FTSE, DAX, Standard & Poor’s 500. В целом же сегодня известны свыше 2 тысяч различных биржевых индексов.
1. Индекс Доу-Джонса
Самым известным (и самым первым по времени возникновения) является биржевой индекс Dow Jones (DJIA) -
Один из самых известных в мире биржевых индексов - индекс DJIA (Dow Jones Industrial Average), появившийся ещё в девятнадцатом веке.
3 июля 1884 г. выдающиеся финансисты Чарльз Генри Доу и Эдвард Джонс предложили первый биржевой индекс Dow Jones Railroad Average, который большей частью состоял из железнодорожных компаний (9 железнодорожных и 2 промышленные).
Методика его расчета для удобства применения в ходе торгов была простейшей: бралось среднее арифметическое цен, входящих в него 11 акций. Значение индекса на закрытие первого дня составляло 69,93 пункта (суммарная стоимость входящих в него акций на тот момент составляла 769,23).
26 мая 1896 г. вводится еще один индекс, названый “промышленный средний” Dow Jones Industrial Average (DJIA, DJA), который рассчитывался аналогичным образом и состоял уже из промышленных компаний. С тех пор этот индекс остается самым популярным биржевым индексом в мире.
В 1928 г. в методику расчета индекса было введено изменение: вводился специальный множитель (текущий делитель), призванный предотвратить искажения значений, вызванные дроблением акций, выплатой дивидендов, изменением в составе его листинга.
В 1929 году, уже гораздо позже смерти мистера Доу (скончавшегося в 1902 году на 51-ом году жизни), в оборот был введен индекс коммунальных компаний Dow Jones Utility Average. По началу он состоял из акций 20 коммунальных компаний. Потом количество компаний в листинге было уменьшено до 15 и в дальнейшем не изменялось.
В 1970 г. было пересмотрено название самого первого индекса Dow Jones Railroad Average. Так как в листинг “железнодорожного” индекса входили на тот момент также акции авиакомпаний и других грузоперевозчиков его стали называть “транспортным” - Dow Jones 20 Transportations Average.
Методология расчета индексов за все время практически не менялась, однако входящие в листинг акции менялись неоднократно. Из всех входящих в индексы акций только General Electric может похвастаться завидной устойчивостью, остальные же акции то входили, то выходили из него и вообще пропадали с рынка. Следует заметить, что в Dow Jones достаточно долго не включались акции компаний “новой экономики” и их включение принесло значению индекса большие хлопоты.
За сто с лишним лет применения этого биржевого индекса изменились не только наименования предприятий, по акциям которых он изначально рассчитывался (на сегодняшний день осталось лишь несколько из тех компаний, которые существовали столетие тому назад), но и собственно их количество. Если в 1896 году (сам индекс стал рассчитываться с 26 мая 1896 года) их насчитывалось 12, то к 1916 их было 20, и уже с 1928 года количество этих предприятий неизменно и равно 30, среди них такие предприятия, как General Electric, General Motors, Coca-Cola, IMB. Таким образом, именно по курсам акций этих промышленных компаний, крупнейших в США и называемых еще голубыми фишками, вычисляется биржевой индекс Доу-Джонса как среднее арифметическое цен акций всех тридцати компаний.
В настоящее время рассчитывается 4 варианта индекса Доу Джонса.
1. Промышленныйиндекс(The Dow Jones Industrial Average - DJIA). Он рассчитывается на основе курсов акций 30 промышленных компаний, акций которых котируются в Нью-Йорской фондовой бирже.
2. Транспортный индекс Доу-Джонса (The Dow Jones Transportation Average - DJTA) - средний показатель, характеризующий движение цен на акции 20 транспортных корпораций (авиакомпаний, железнодорожных и автодорожных компаний).
3. Коммунальный индекс Доу-Джонса (The Dow Jones Utility Average - DJUA) - средний показатель движения курсов акций 15 компаний, занимающихся газо- и электроснабжением.
4. Составной индекс Доу-Джонса (The Dow Jones Composite Average - DJCA) - показатель, составляющийся на базе промышленного, транспортного и коммунального индексов Доу-Джонса.
Индекс Доу-Джонса представляет собой средне арифмитическое курсов акций, включаемых в расчет. Однако нужно иметь в виду, что позиции включенных в расчет компаний не остаются неизменными.
Покажем на простом примере, какие коррективы вносят в расчет при исчислении индекса Доу-Джонса, если у какой-либо компании происходит дробление акций.
Пусть имеются 3 компании, обозначим их А1, А2 и А3. Количество выпущенных акций – Р1, Р2 и Р3. Так же даны следующие значения, представленные в таблице 1.
Таблица1.
Курсы и количество выпущенных акций компаний А1, А2, А3.
| 2005 г. |
2006 г. |
2007 г. |
| А1. Курс акций Р1 (руб) |
100 |
110 |
60 |
| Количество акций К1 (млн) |
5 |
5 |
10 |
| А2. Курс акций Р2 (руб) |
50 |
60 |
60 |
| Количество акций К2 (млн) |
10 |
10 |
10 |
| А3. Курс акций Р3 (руб) |
40 |
50 |
60 |
| Количество акций К3 (млн) |
20 |
20 |
20 |
Рассчитываем индекс Доу-Джонса за 2005 и 2006 года как простое среднее арифметическое курсов трех акций.
Iза 2005 = (100+50+40)/3 = 63,33
I за 2006 = (110+60+50)/3 = 73,33
В 2007 году у компаний А1 произошло дробление акций. Вместо 5 млн. старых акций было выпущено 10 млн. новых. Одна старая акция была обменена на две новые, хотя общая величина акционерного капитала осталась без изменения. Ясно, что такое дробление привело к снижению курса акций. И если мы теперь найдем простое средне арифметическое (60+60+60)/3 = 60 , то оно будет несопоставимо с индексом за предыдущие годы, так как в нем не уточнены произошедшие изменения. Следовательно, нужно сначала рассчитать индекс так, как будто дробления акций в компании не происходило. Но если бы дробление не произошло, то курс акций компании А1, в 2007 году был бы в два раза выше, то есть искомый индекс был бы равен
I за 2007 = (60 * 2+60+60)/3 = 80
Теперь найдем делитель D для подсчета индекса с учетом произошедшего дробления акций в первой компании, такой делитель, который бы соответствовал наёденному среднему (в данном случае – 80). Он определяется следующим образом:
(60+60+60)/D = 80
180/D = 80
D = 180/80 = 2, 25
Найденный делитель (2, 25) будет использоваться для расчета индекса Доу-Джонса до тех пор, пока не произойдет следующего дробления акций. Каждое дробление акций приводит к уменьшению делителя D.
Формула для вычисления индекса Доу-Джонса имеет следующий вид:

Величина индекса Доу-Джонса измеряется в пунктах. Увеличение (или уменьшение) индекса на один пункт означает, что средняя цена включаемых а расчет акций увеличилась (или уменьшилась) на один доллар.
Методика расчета индекса Доу-Джонса свидетельствует о том, что этот индекс является далеко не совершенным. Так как он рассчитывается как среднеарифметическая величина, то наибольшее влияние оказывают акции, имеющие высокую рыночную цену. Количество же проданных акций никак не влияет на величину индекса.
2. Индекс «Стэндард энд пурз» (S&P)
Другим важнейшим биржевым индексом, используемым в США является индекс информационной компании «Стэндард энд пурз» (Standard &Poor’s), который рассчитывается в двух вариантах: для 500 и 100 компаний.
S&P - 500 представляет собой взвешенный по рыночной стоимости индекс акций 500 корпораций, которые представлены в нем в следующей пропорции: 400 промышленных корпораций, 20 транспортных, 40 финансовых и 40 коммунальных компаний.
В него включены в основном акции компаний, зарегистрированных на Нью-йоркской фондовой бирже, однако присутствуют также акции некоторых корпораций, которые котируются на Американской фондовой бирже и во внебиржевом обороте. Индекс представляет около 80% рыночной стоимости всех выпусков, котируемых на Нью-йоркской фондовой бирже. Этот индекс более сложный по сравнению с индексом Доу-Джонса, но он считается также более точным в силу того, что в нем представлены акции большего числа корпораций и акции каждой корпорации взвешиваются на величину стоимости всех акций, находящихся в руках акционеров. Фьючерсы и опционы по нему продаются на Чикагской товарной бирже.
Методика расчета данного индекса более сложная, чем индекса Доу-Джонса, но этот индекс является более точным индикатором состояния экономики, так как, во-первых, в нем представлено большее количество акций, и, во-вторых, величина индекса зависит не только от рыночного курса акций, но и от их количества.
Формула для расчета индекса «S&P – 500» выглядит следующим образом:

За базисные цены взяты средние цены соответствующей акции за период 1941-1943 гг., полученное значение умножается на 10.
Например, если по результатам расчетов значение индекса «S&P – 500» 22 ноября 2001 г. составляло 1137,03 пункта, то это означает, что средняя рыночная цена акции 500 компаний по сравнению с базисным периодом увеличилось в 113,7 раза.
Другой вариант компании «Стэндард энд пурз» исчисляется таким же методом, только в расчет берут акции 100 компаний.
S&P - 100. Индекс исчисляется на той же основе, что и индекс по акциям 500 корпораций, но состоит из акций корпораций, по которым существует зарегистрированные опционы на Чикагской бирже опционов. В основном это промышленные корпорации.
3. Индекс NASDAQ (National Association of Dealers Automated Quotation)
8 февраля 1971 г. началасьторговлянапервомвмиреэлектронномрынке - National Association of Dealers Automated Quotation (NASDAQ).
| Представленность отраслей в индексе NASDAQ
|
Таблица 1 |
| Отрасль
|
Доля в NASDAQ (в%)
|
| Компьютерный информационный сервис |
28,5 |
| Производство компьютеров |
15,4 |
| Электронные компоненты |
14,4 |
| Коммуникационное оборудование |
6 |
| Ценные бумаги неамериканских фирм |
5,5 |
| Фармацевтика |
5,3 |
| Бизнес-сервис |
4,6 |
| Машиностроение |
1,9 |
| Розничная торговля |
1,2 |
| Прочее |
7,4 |
В расчет его включены акции примерно 3 500 компаний, которые обращаются на внебиржевом рынке. Данный индекс рассчитывается аналогично индексу «S&P – 500».
Индекс NASDAQ помогает правильно сориентироваться в конъюнктуре рынка высоких технологий США, а также учесть реакцию в сфере бизнеса на события, которые происходят в политической и экономической жизни страны – естественно, речь идет о событиях, способных повлиять на рынки высоких технологий. Индексы NASDAQ представлены целым семейством, наиболее известными из которого являются биржевые индексы NASDAQ 100 и NASDAQ Composite, причем в расчете последнего индекса используются практически все акции, торгуемые на бирже NASDAQ.
4. Индекс РТС
Семейство индексов РТС (RTS) является инструментом отражения рыночной капитализации самых крупных компаний России. Расчет основан на цене сделок, совершенных на Фондовой бирже ММВБ во время основной торговой сессии относительно акций индексного списка. Расчет проводится ежедневно по итогам торгов облигациями на Фондовой бирже ММВБ.
РТС - фондовая биржа Российская Торговая Система, основана в 1995 году. Целью организации биржи было создание единого организованного рынка ценных бумаг России путем объединения уже существовавших региональных фондовых рынков.
Индексы РТС рассчитываются как отношение суммарной рыночной капитализации акций, включенных в список для расчета индекса, к суммарной рыночной капитализации на начальную дату, умноженное на значение индекса на начальную дату и на корректирующий коэффициент. Расчет рыночной капитализации производится на основе данных о ценах акций и количестве выпущенных эмитентом акций, с учетом доли акций, находящихся в свободном обращении.
Индекс рассчитывается в двух значениях – валютном и рублевом. Рублевые значения являются вспомогательными и рассчитываются на основе валютных значений.
Формула расчета индекса РТС выглядит следующим образом:

где In – индекс; рассчитывается как отношение суммарной рыночной капитализации ценных бумаг (MCn), включенных в список для расчета индекса, к суммарной рыночной капитализации этих же ценных бумаг на начальную дату (MC1), умноженное на значение индекса на начальную дату (I1) и на поправочный коэффициент (Zn).
Формула расчета капитализации имеет следующий вид:

где MCn - сумма рыночных капитализаций акций на текущее время в долларах США;
Wi – поправочный коэффициент, учитывающий количество ценных бумаг i-того вида в свободном обращении (коэффициент free-float),
Сi – коэффициент, ограничивающий долю капитализации ценных бумаг i-того типа (весовой коэффициент);
Qi - количество ценных бумаг соответствующего наименования, выпущенных эмитентом на текущую дату,
Pi - цена i-той ценной бумаги в долларах США на расчетное время t,
N - число наименований ценных бумаг в списке, по которому рассчитывается индекс.
1. Салин В.Н., Добашина И.В. Биржевая статистика. – М.: Финансы и статистика, 2003. – 176с.: ил.
2. Актуальные проблемы социально-экономического развития России: сборник научных трудов (выпуск VI)/Под общей редакцией проф. Пилипенко Н.Н. – «Дашков и К», 2007. – 738с.
3. Статистика / В.М. Гусаров, Е.И. Кузнецова. – 2-е изд., перераб. и доп. – М.: ЮНИТИ-ДАНА, 2007. – 479с.
4. Методологическое положение по статистике. Вып.1, Госкомстат России. – М., 1996г. – 674с.
5. Большой экономический словарь/Под ред. А.Н. Азрилияна. – 7-е изд., доп. – М.: Институт новой экономики, 2007. – 1472с.
6. Россия в цифрах. 2008: Крат. стат. сб./Росстат – М., 2008. – 510с.
7. Статистика/под ред. И.И. Елисеевой. – М.: Высшее образование, 2008. – 566с.
8. Курс социально-экономической статистики/Под ред. проф. М.Г. Назарова. – М.: Финстатинформ, 2002. – 976с.
9. Лялин В.А., Воробьев П.В. Ценные бумаги и фондовая биржа. Изд. 3-е, перераб. и доп. – СПб.: Издательский дом «Бизнес-пресса», 2002. – 288с.
|