Кандидат химических наук А. С. Садовский
Жеребца Осоавиахима из известной повести В. Войновича мучил вопрос: если труд сделал из обезьяны человека, то почему у него, проработавшего всю жизнь, и так тяжело, это превращение не получилось? Возможно, дело в том, что при всей важности труда здесь сказались и другие обстоятельства, а именно — связанные с химией. Ведь только у обезьян и людей состав продуктов пуринового обмена — уреидов, или, говоря попросту, мочи, совсем не такой, как у лошадей и прочих млекопитающих. Так что предком человека может быть только примат. Ниже и пойдёт речь о путях эволюции, а также о свойствах ключевых уреидов — мочевой кислоты и аллантоина.
В органической химии нет другого вещества, которое в такой степени привлекало бы внимание физиологов и химиков.
Ф. Вёлер и Ю. Либих о мочевой кислоте (1838)
Зарождение биохимии
Получение мочевины, „животного“ вещества, из неорганических материалов Ф. Вёлером в 1828 году можно считать первым биохимическим синтезом. Именно этот опыт историки науки называют ключевым доказательством химической тождественности живой и неживой материи. Помимо природных производных мочевины, то есть уреидов, тогда были получены и чисто синтетические. Исследования в этой области интенсивно развивались. На синтез и выяснение строения мочевой кислоты у А. Байера и Э. Фишера ушло более 30 лет (1863–1899 годы). Хотя эти работы ни для учителя, ни для ученика не были главными, но они зачлись при присуждении им Нобелевских премий. Бициклическую структуру этой кислоты, по предложению Э. Фишера, стали называть пурином (от латинского Purum uricum — чистая моча). Как выяснилось впоследствии, такие соединения очень распространены у живых существ. Достаточно сказать, что пуриновые основания служат двумя буквами нашего генетического кода — аденином и гуанином. Они же входят в состав коферментов; алкалоиды кофе, чая и какао — это те же пурины. Большую половину пуринового скелета представляет шестичленный пиримидиновый гетероцикл (см. схему), он даёт основу остальным трём буквам информационного кода — цитозину, тимину в ДНК и урацилу в РНК.
Гусь и свинья нам не товарищи
С шестичленными циклами избыточных пиримидиновых оснований, впрочем, как и аминокислотами, организмы всех млекопитающих справляются хорошо: в печени они разлагаются с участием ферментов до мочевины. А пятичленный цикл, который наряду с шестичленным входит в пурины, оказывается крепким орешком. До хорошо растворимой в воде мочевины их катаболизм доходит только у рыб, амфибий и некоторых моллюсков, у которых даже образуется аммиак. В подробности углубляться не будем для экономии места в журнале, и читателю придется поверить на слово, что так рыбам и прочим водным тварям действительно проще. А вот у сухопутных всё идёт по-другому. Видимо, дело в том, что, когда живые существа стали осваивать сушу, им пришлось приспосабливаться к новым условиям, а делать это можно несколькими способами. Один из них — перейти для экономии воды на „сухую“ или сгущённую мочу. Такое решение используют отдалённые рыбьи потомки — птицы, и их совсем не родственники, происхождение которых скрыто в туманной дали миллионолетий — насекомые. У них обоих пурины окисляются лишь до мочевой кислоты. Она малорастворима в воде, но даже насыщенный её раствор нетоксичен. Птицы сбрасывают полусухую мочу в клоаку, где она смешивается с калом.
Забиваем Сайты В ТОП КУВАЛДОЙ - Уникальные возможности от SeoHammer
Каждая ссылка анализируется по трем пакетам оценки: SEO, Трафик и SMM.
SeoHammer делает продвижение сайта прозрачным и простым занятием.
Ссылки, вечные ссылки, статьи, упоминания, пресс-релизы - используйте по максимуму потенциал SeoHammer для продвижения вашего сайта.
Что умеет делать SeoHammer
— Продвижение в один клик, интеллектуальный подбор запросов, покупка самых лучших ссылок с высокой степенью качества у лучших бирж ссылок.
— Регулярная проверка качества ссылок по более чем 100 показателям и ежедневный пересчет показателей качества проекта.
— Все известные форматы ссылок: арендные ссылки, вечные ссылки, публикации (упоминания, мнения, отзывы, статьи, пресс-релизы).
— SeoHammer покажет, где рост или падение, а также запросы, на которые нужно обратить внимание.
SeoHammer еще предоставляет технологию Буст, она ускоряет продвижение в десятки раз,
а первые результаты появляются уже в течение первых 7 дней.
Зарегистрироваться и Начать продвижение

Иной путь избрали млекопитающие: они обзавелись мочевым пузырём. То ли природа воспользовалась принципом „не делать лишней работы“, то ли причина была другой, но млекопитающие стали разлагать пурин не полностью, как рыбы, а лишь до хорошо растворимого в воде аллантоина. Однако на этапе праобезьяны эволюция совершила некий странный поворот, и приматы, равно как и человек, вернулись к „птичьей“ схеме: в их организмах большая часть пуринов окисляется только до мочевой кислоты, и она присутствует в крови наравне с аллантоином.
Такое отличие приматов от всех млекопитающих заставляет немного порассуждать о проблемах межвидовой пересадки органов. Обычно наиболее многообещающим донором для пересадки органов человеку считают свинью. Однако нужно учесть, что при создании трансгенной „человекообразной“ свиньи потребуется как-то нейтрализовать у неё гены, кодирующие образование фермента уриказы, который окисляет мочевую кислоту до аллантоина. Впрочем, печень гуся или страуса (теперь это уже домашняя птица) нам тоже не подойдёт. У птиц и белковый обмен организован так, что хорошо растворимая мочевина вообще не образуется. Среди собак настоящий друг человека только далматин — у него такое же соотношение мочевая кислота/аллантоин, как и у нас. С кем скрещивали предков этих собак и почему получилась такая порода, непонятно, но это уже дело рук человеческих, и эволюция тут ни при чём.
Сервис онлайн-записи на собственном Telegram-боте
Попробуйте сервис онлайн-записи VisitTime на основе вашего собственного Telegram-бота:
— Разгрузит мастера, специалиста или компанию;
— Позволит гибко управлять расписанием и загрузкой;
— Разошлет оповещения о новых услугах или акциях;
— Позволит принять оплату на карту/кошелек/счет;
— Позволит записываться на групповые и персональные посещения;
— Поможет получить от клиента отзывы о визите к вам;
— Включает в себя сервис чаевых.
Для новых пользователей первый месяц бесплатно.
Зарегистрироваться в сервисе
Живительная моча коров и опарышей
Аллантоин открыл, исследуя околоплодную жидкость, один из основоположников аналитической химии Л.Н. Вакулин в 1789 году. Название же происходит от греческого „аллантоис“ — колбасовидный; видимо, именно такая ассоциация возникла у того, кто впервые ввёл научное описание зародышевой оболочки эмбриона. Строго говоря, аллантоис — одна из трёх таких оболочек у рептилий, птиц и млекопитающих; у нас из него образуется мочевой пузырь, у рептилий и птиц — клоака. Аллантоин потом нашли и в моче, причём особенно много его оказывается у беременных, как людей, так и животных. Стельные коровы ещё долго обеспечивали своей ценной мочой производство этого вещества.
Начало практического использования аллантоина в официальной медицине можно усмотреть в истории Крымской войны (1853–1856 годы) и Гражданской войны в США (1861–1865 годы). Сохранились документы о том, что военврачи применяли личинки мух (опарышей) для лечения ран. Теперь этот метод иногда называют биохирургией, а сущность стала проясняться с 1930-х годов. Как оказалось, действие личинок многостороннее: во-первых, они способствуют стерилизации раны, во-вторых, стимулируют заживление, а в-третьих, очищают её, поедая омертвевшую ткань. Нашей темы касается второй фактор, поскольку его определяет аллантоин. Это вещество служит неплохим стимулятором деления (пролиферации) клеток; то есть заживления. И именно аллантоин в количестве 2% от всей массы экскрементов выделяют вместе с мочевиной личинки мухи. Крылатая же муха поступает, как мы — окисляет пурины до мочевой кислоты.
Метод такой биохирургии не дёшев, весьма неэстетичен (хотя использование медицинских пиявок выглядит не лучше), но не уступает современной медикаментозной и перевязочной технике. Его применяют в безвыходных ситуациях, однако они случаются не так уж редко: за рубежом есть несколько компаний, которые специализируются в поставках стерилизованных личинок зелёной падальной мухи (Lucilia sericata).
Аллантоин присутствует и в других народных способах лечения ран — компрессах и мазях из окопника (см. „Химию и жизнь“, 2000, № 7/8). Научная медицина убедилась в лечебных свойствах аллантоина, с середины прошлого века его часто вводят в состав лечебных и косметических кремов. В рекламе косметики некоторых компаний особо подчёркивается, что их аллантоин не животного происхождения (надо понимать, не из мочи стельных коров). Современными источниками сырья служат не только растения (соя и окопник), но и моллюски, например Helix aspersa Muller — южноевропейская родственница виноградной улитки.
Возможно, плод у обезьян и человека, как и личинка мухи, окисляет мочевую кислоту до аллантоина, чем и обусловлено его повышение содержания во время беременности. На эту особенность физиологии человека почему-то обращают мало внимания. А вот для животных измерение содержания аллантоина в моче и молоке позволяет улучшить рацион кормления. При большой доле фуражной компоненты, то есть зерна или сена, микрофлора жвачных животных подавляется, не вырабатывает нужного количества белков и соответственно нуклеиновых кислот. В результате печень разлагает меньше пуриновых оснований и получается меньше продуктов этого разложения. Положение корректируют, добавляя силос, он же сочный корм, в такой пропорции, чтобы аллантоина было столько, сколько положено.
Упаковка для азота
Растения при жизни не создают отходов, выводить им нечего. Зачем же тогда и они вырабатывают тот аллантоин, который человек затем добывает из растительного сырья?
Опыты с растениями, как ни странно, начали ставить медики. В литературе до сих пор можно встретить упоминание о трогательной истории про больного мальчика и гиацинты. У мальчика, находившегося на излечении в Королевском детском госпитале в английском Ливерпуле, в баночках прорастали две луковицы этого цветка. Одной луковице, сильно отстающей в развитии, медсёстры стали делать инъекции водного раствора аллантоина. Буквально на глазах больного гиацинт выпустил стрелку и расцвёл раньше соседа. Опыты продолжили, и они увенчались успехом с луковицами лилий и тюльпанов. Аллантоин прежде всего влиял на рост цветоноса, а не листьев. Однако если его просто добавлять в баночку, эффекта не будет, а при больших концентрациях возможно даже угнетение растения. Накопленные данные пытались объяснять пролиферацией.

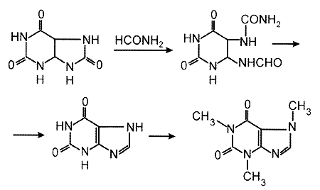
В промышленности большую часть кофеина синтезируют из мочевой кислоты через ксантин. Растения синтезируют его тоже через ксантин, который получается из аденина и гаунина
|
Лишь много позже, в конце семидесятых годов XX века, назначение аллантоина было выяснено применительно к сое. Как оказалось, в принципе оно такое же, как и у млекопитающих: аллантоин — форма транспортировки азота, а вот направление транспорта различно. В растениях уреиды двигаются не в отвал, а в листья, к месту фотосинтеза. Природа не расточительна, удачные находки она тиражирует во всех подходящих случаях. Аммиак, который используют рыбы для выведения азота из организма, легко образует ион аммония и поэтому даже в умеренных концентрациях губителен для живых тканей. Аллантоин по атомному соотношению N/C немногим уступает мочевине (1 против 2). Это хорошая нейтральная упаковка для азота. Соя и окопник, надо думать, стоят высоко на лестнице эволюции. Они ведь не ждут аммиак от природы, а обменивают его на углеводы у бактерий-симбиотов, которые находятся в клубеньках (соя) или в прикорневой зоне (ризосфера у окопника). У других растений упаковка для азота менее ёмкая. Для многих представителей бобовых, способных „заболевать“ клубеньковыми азотфиксаторами (горох, люпин), транспортная форма азота — это амиды аспаргин и глутамин (N/C 0,5 и 0,4, соответственно).
Сейчас транспортные свойства аллантоина продолжают исследовать уже на генно-молекулярном уровне с любимым ботаниками модельным растением арабидопсисом — в надежде воспроизвести передовой опыт у других зелёных друзей человека.
Болезнь замечательных людей
Мочевую кислоту впервые выделил К.В. Шееле в 1776 году из мочевых камней. Образование таких камней из солей (уратов) или частично из свободной кислоты происходит при её повышенном содержании — гиперурикемии. Примерно в одном случае из десяти такая патология приводит к подагре — те же камни в суставах и, реже, в других местах. Подагрой болеют преимущественно мужчины после 40 лет. Англичане первыми нашли в своей истории признаки „подагрической гениальности“. Наряду с другими фактор гиперурикемической стимуляции умственной активности прослежен В.П. Эфроимсоном в наследственности таланта (см. „Химию и жизнь“, 1994, № 1). Вот статистика: частота заболевания подагрой в развитых странах для пожилого населения не более 1–2%, а из списка 400 общепризнанных гениев мировой истории и культуры 12,5% бесспорно страдало такой патологией.
Распространённость подагры у выдающихся лиц как общечеловеческая закономерность была отнесена за счёт возможного стимулирующего действия мочевой кислоты на умственную и общую активность организма. К таким размышлениям располагает близость строения мочевой кислоты и кофеина. Возникла гипотеза, что этот постоянно присутствующий допинг и стал двигателем быстрой „сапиенизации“ человека. Вульгарные материалисты в антропологии долго недооценивали роль интеллекта и сознания в эволюции человека. Однако после себя доисторические люди оставили не только орудия труда, но и предметы искусства, а позже и грандиозные культовые сооружения.
Гении подагрического типа имеют свой психологический портрет: они решительны, активны и самобытны, их выдающиеся качества особенно проявляются в переломные, критические времена. Чётко прослеживается параллелизм в наследственной передаче гиперурикемии и умственных способностей (царь Македонии Филипп и его сын Александр, тринадцать поколений потомков султана Османа, род герцогов Лотарингских, Медичи и многих других). Характер наследственности известен: гиперурикемия или предрасположенность к ней передаётся от отцов через здоровых матерей и бабушек или же дедов (прадедов) по материнской линии. Впрочем, гиперурикемия может приводить не только к гениальности. Чрезмерное содержание мочевой кислоты приводит к серьёзным расстройствам психики — синдрому Леш-Нихана (нервозность, агрессивность, замедление умственного развития, элементы мазохизма). Болезнь также передаётся по наследству, и её причина — недостаток фермента утилизации пуринов.
Скептики вольны не соглашаться со статистикой гениальных подагриков и будут правы. Всё равно этот факт не может служить обоснованием пропорциональной связи между качеством ума и количеством мочевой кислоты во всем диапазоне её содержания. Вот у собак, например, такая связь отсутствует: далматин не проявляет особой интеллектуальности в поведении или в дрессировке по сравнению с другими породами. А чем он хуже обезьяны? Мочевой кислоты и у далматина предостаточно, не то что у других собак. Видимо, биохимикам и физиологам всё же надо ещё поработать, прежде чем о роли уреидов в эволюции вида и в жизни конкретного индивида можно будет говорить с большей определённостью.
|