Реферат выполнила Плетнёва Елена Алексеевна, группа Т 13
Московский государственный университет инженерной экологии
Москва
2003 г
Вязкость. Коэффициент вязкости. Слоистое движение жидкости, возникающее при сильном влиянии трения. Воздействие статического давления на твердые тела, находящиеся в поле течения. Вязкий поток. Число Рейнольдса.
Вязкость. Коэффициент вязкости
В реальных жидкостях почти никогда нельзя пренебречь внутренним трением, вязкостью; большинство интересных вещей в поведении жидкости так или иначе связано с этим свойством. Циркуляция сухой воды (т.е. ее вязкость не учитывается) никогда не изменяется: если ее не было в начале, то она никогда не появится. В результате проведения экспериментов выясняется, что скорость жидкости на поверхности твердого тела не равна нулю. Можно заметить, что лопасти вентилятора собирают на себе тонкий слой пыли. Пыль не сдувается т.к. скорость воздуха относительно них, измеренная непосредственно на поверхности равна нулю. Теория должна учитывать, что во всех обычных жидкостях молекулы, находящиеся рядом с поверхностью имеют нулевую скорость (относительно самой поверхности).
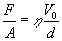
Можно предположить, что если приложить к жидкости напряжение сдвига, то, сколь мало оно бы ни было, жидкость всё равно течет. В статическом случае никаких напряжений сдвига нет. Однако, когда равновесия еще нет, в момент, когда вы давите на жидкость, силы сдвига вполне могут быть. Вязкость как раз и описывает эти силы, возникающие в движущейся жидкости. Чтобы измерить силы сдвига в процессе движения жидкости, предположим, что имеются две плоские твердые пластины, между которыми находится вода. Причем одна из пластин неподвижна, тогда как другая движется параллельно ей с малой скоростью V0
. Если измерять силу, требуемую для поддержания движения верхней пластины, выяснится, что она пропорциональна площади пластины и отношению V0
/d, где d – расстояние между пластинами. Таким образом, напряжение сдвига F/A пропорционально V0
/d:

Коэффициент пропорциональности h называется коэффициентом вязкости.
Внутреннее трение в жидкости можно показать и с помощью другого опыта: налить в стеклянный сосуд глицерин, ярко окрасив его нижний слой, получаем горизонтальную поверхность; поместим в сосуд пластинку (рис. 1).
Забиваем Сайты В ТОП КУВАЛДОЙ - Уникальные возможности от SeoHammer
Каждая ссылка анализируется по трем пакетам оценки: SEO, Трафик и SMM.
SeoHammer делает продвижение сайта прозрачным и простым занятием.
Ссылки, вечные ссылки, статьи, упоминания, пресс-релизы - используйте по максимуму потенциал SeoHammer для продвижения вашего сайта.
Что умеет делать SeoHammer
— Продвижение в один клик, интеллектуальный подбор запросов, покупка самых лучших ссылок с высокой степенью качества у лучших бирж ссылок.
— Регулярная проверка качества ссылок по более чем 100 показателям и ежедневный пересчет показателей качества проекта.
— Все известные форматы ссылок: арендные ссылки, вечные ссылки, публикации (упоминания, мнения, отзывы, статьи, пресс-релизы).
— SeoHammer покажет, где рост или падение, а также запросы, на которые нужно обратить внимание.
SeoHammer еще предоставляет технологию Буст, она ускоряет продвижение в десятки раз,
а первые результаты появляются уже в течение первых 7 дней.
Зарегистрироваться и Начать продвижение
Рис. 1.
Во время движения пластинки все горизонтальные поверхности с обеих ее сторон искривляются. При этом частички жидкости испытывают вращение, справа – по часовой стрелке, слева – против. Такую область называют пограничным слоем. Самая внутренняя часть пограничного слоя прилипает к пластинке и движется с такой же скоростью u, как и сама пластинка. Следующие части слоя тоже приводятся в движение, но скорость их тем меньше. Чем дальше они от пластинки. В пограничном слое устанавливается градиент скорости ¶u/¶ x. Если движение сопровождается трением, то сила F требуется не только для достижения конечной скорости, но и для поддержания этой постоянной скорости. Трение в жидкости можно сравнить со сдвигом или срезом в твердых телах, однако существует и коренное различие: в твердых телах напряжение сдвига растет с увеличением деформации; внутреннее трение, напротив, пропорционально скорости деформации.
Часто удобнее бывает пользоваться удельной вязкостью, которая равна h , деленной на плотность r . При этом величины удельных вязкостей воды и воздуха сравнимы:
Вода при температуре 200
С h/r =10-6
м/сек,
Воздух при температуре 200
С h/r =15· 10-6
м/сек.
Обычно вязкость очень сильно зависит от температуры.
Слоистое движение жидкости, возникающее при сильном влиянии трения
Наблюдаемое нами движение называется “слоистым” или “ламинарным”. Толщина слоя жидкости при этом меньше, чем толщина D, создаваемого трением пограничного слоя. Примером ламинарного течения может служить - течение жидкости в узкой трубке длиной l. Поддержание этого течения требует силы
F=h 8p lum
Здесь um
означает среднюю величину скорости течения, численно равную
um
сила тока жидкости i/поперечное сечение трубки f
i=объем жидкости, протекающий через поперечное сечение f трубки/время течения t
Действительная скорость у поверхности трубки равна нулю, а в середине - наибольшая.
Течение жидкости в плоской, образованной двумя стеклянными пластинами кювете. Здесь возможно проследить пути отдельных частичек жидкости, которые образуют “нити тока”.
Введем в ламинарный поток препятствие в виде кружка, нити тока выглядят как на рисунке 2.
Рис.2.
Когда скорость очень мала или вязкость очень велика, можно отбросить инерционные члены и описать поток уравнением
где W - векторное поле,
Это уравнение впервые было решено Стоксом. Он так же решил задачу для сферы. Когда маленькая сфера движется при малых числах Рейнольдса (понятие числа Рейнольдса введено на странице 5), то к ней приложена сила, равная 6ph аV, где а – радиус сферы, V – его скорость. В области малых чисел Рейнольдса линии вокруг цилиндра выглядят так же, как на рисунке 2.
Сервис онлайн-записи на собственном Telegram-боте
Попробуйте сервис онлайн-записи VisitTime на основе вашего собственного Telegram-бота:
— Разгрузит мастера, специалиста или компанию;
— Позволит гибко управлять расписанием и загрузкой;
— Разошлет оповещения о новых услугах или акциях;
— Позволит принять оплату на карту/кошелек/счет;
— Позволит записываться на групповые и персональные посещения;
— Поможет получить от клиента отзывы о визите к вам;
— Включает в себя сервис чаевых.
Для новых пользователей первый месяц бесплатно.
Зарегистрироваться в сервисе
Качественной характеристикой, описывающей поток реальной жидкости, является сила, увлекающая цилиндр. На рисунке 3 графически изображена зависимость коэффициента увлечения Сd
, отношения силы к 1/2rV2
Dl (D – диаметр, l – длина цилиндра, r - плотность жидкости).

Воздействие статического давления на твердые тела, находящиеся в поле течения
Рисунок рис.4 показывает обтекаемый плоский диск в трёх положениях. Первое оказывается неустойчивым: диск устанавливается поперек течения. Мы видим пример этому на каждом падающем листе бумаги. Объяснение: при любом ничтожном наклонении возникает несимметричность в распределении статического давления, вследствие чего развивается вращательный момент. Это очевидно, когда диск находится под большим наклоном к течению (рис.4,б): области сгущенных линий тока тянут, а области расходящихся линий тока давят против диска, т.е. в ту же сторону. В результате, диск поворачивается по часовой стрелке (рис.4,б).

Рис. 4.
Вязкий поток
В общем случае сжимаемой жидкости в напряжениях есть и другой член, который зависит от производных скорости. Общее выражение имеет вид
   
Где dij
обозначает символ Кронекера, который равен единице при i=j и нулю при i?j). Ко всем диагональным элементам S тензора напряжений прибавляется дополнительный член . Если жидкость несжимаема, то равно нулю и дополнительного члена не появляется, так как он действительно имеет отношение к внутренним силам при сжатии. Коэффициент h - коэффициент вязкости.
Число Рейнольдса
Если мы решили задачу для потока с одной скоростью V1
и некоторого цилиндра диаметром D1
а затем интересуемся обтеканием другого цилиндра диаметра D2
другой жидкостью, то поток будет одним и тем же при такой скорости V2
, которая отвечает тому же самому числу Рейнольдса, которое выражается зависимостью
VD
Это соответствует действительности только в том условии, что сжимаемостью жидкости можно пренебречь. В противном случае модели будут соответствовать, если будут одинаковы одновременно число Рейнольдса и число Маха (число Маха - отношение V к скорости звука). Таким образом, для скоростей, близких к скорости звука и больших, поток в обоих случаях будет одинаков, если и число Маха и число Рейнольдса равны.
Если увеличивать скорость потока так, что число Рейнольдса станет несколько больше единицы, то увидим, что поток изменился. За сферой возникают вихри (см рис. 5). Обычно считают, что циркуляция нарастает постепенно. Когда ? =от 10 до 30 поток меняет свой характер.
Когда число Рейнольдса проходит значение в районе 40, характер движения претерпевает неожиданное и резкое изменение. Один из вихрей за цилиндром становится настолько длинным, что отрывается и плывет вниз по течению вместе с жидкостью. При этом жидкость за цилиндром снова закручивается и возникает новый вихрь. Вихри отслаиваются то с одной, то с другой стороны и в какой-то момент вытягиваются вихревым следом за цилиндром. Такой поток вихрей называется цепочкой Кармана. Она всегда появляется для чисел Рейнольдса ?>40.

Рис. 5.
Можно представить физическую причину этих вихрей. Известно, что на поверхности цилиндра скорость жидкости должна быть равной нулю, но при удалении от поверхности скорость быстро возрастает. Это местное изменение скорости жидкости и создаёт вихри. Если скорость достаточно мала, у вихрей есть время “расплыться” на большую область. Когда ?достигает нескольких тысяч, вихри начинают заполнять тонкую ленту. В таком слое поток хаотичен и нерегулярен. Эта область называется пограничным слоем . Этот поток пробивает себе дорогу дальше и дальше. В этой области, турбулентности, скорости очень нерегулярны и беспорядочны. С увеличением числа Рейнольдса до 105
, мы получаем турбулентный след.
Всплывающий воздушный пузырек и закон Архимеда.
Когда пузырек всплывает, некоторая масса воды устремляется вниз, заполняя освобожденное место. Пузырек взаимодействует с движущейся, а не с неподвижной водой. Внешне это выглядит так, что c массой всплывающего пузырька движется “присоединенная масса” воды, которая равна ?m=Vr/2,т.е. половине массы вытесненной воды. Это происходит из-за сложного движения жидкости вокруг самого пузырька.
Ламинарные и турбулентные течения в природе и технике
Если подсчитать число Рейнольдса для атмосферных и океанских течений, то окажется, что они очень велики. Это указывает на то, что такие течения не могут быть ламинарными. Действительно, все мы видели, что даже легкий ветерок заставляет трепетать флаги, т. е. воздушные потоки имеют вихревую структуру. В природе вихри появляются в той части потока, где скорость быстро меняется в направлении, перпендикулярном потоку. Каждому приходилось видеть вихри в быстрой реке на переходе от быстрины к замедленному течению у берега. Целая цепочка вихрей может тянуться за движущимся автомобилем, что особенно удобно наблюдать в снегопад.
Вихревой характер сильного ветра был замечен в 1821 г. У. Рэдфилдом, содержателем небольшого магазина в штате Коннектикут (США), который обратил внимание на поваленные после шторма деревья. В одном месте деревья лежали макушками к северо-западу, тогда как на некотором расстоянии макушки указывали на прямо противоположное направление. Отсюда Рэдфилд сделал вывод, что шторм представляет собой вращательную систему ветров. Беседуя с моряками и анализируя судовые журналы, он установил направления вращения крупных вихрей и нашел траектории их центров. В 1831 году вышел труд У. Рэдфилда, излагающий результаты его исследований.
Оказалось, что вихревые системы в атмосфере Земли бывают двух видов – циклоны и антициклоны. В Северном полушарии Земли все циклоны вращаются против часовой стрелки, а антициклоны - по часовой, в Южном – наоборот. Направление вихрей определяется силой Кориолиса. В тропиках циклоны забирают энергию от нагретой поверхности океана и приобретают огромную мощь. За один день большой ураган расходует энергию, равную энергии взрыва 13 000 мегатонных ядерных бомб. Диаметр тропического циклона, его еще называют ураганом или тайфуном, составляет несколько сот километров, высота – до 12-15 км, скорость ветра достигает 400 – 600 км/час. Самые большие скорости ветра в урагане наблюдаются вокруг так называемого “глаза бури” - зоны покоя в центре урагана.
Внетропический циклон (называемый обычно просто циклоном) – это самый крупный атмосферный вихрь, достигающий в поперечнике нескольких тысяч километров в поперечнике. Высота его колеблется между 2 - 4 и 15 – 20 км. Скорость ветра в нем в большинстве случаев не превышает 40 – 70 км/час. Внетропические циклоны “глазом” не обладают.
Еще четче зона покоя (полость) выражена у мелкомасштабных вихрей – смерчей (торнадо, тромбов). Размеры их очень малы: ширина – от нескольких метров до 2 – 3 км, в среднем 200 – 400 м, высота от нескольких десятков до 1500 – 2000 м. Скорость ветра в смерче иногда превышает звуковую (1200 км/час!).
Если атмосферные вихри известны давно, аналогичная система океанских течений была обнаружена советскими океанологами в конце 20-го века. Это было выдающимся открытием.
В атмосфере больших планет также наблюдаются вихревые образования. Особенно удивительно так называемое Красное пятно на Юпитере, вихрь, устойчиво существующий в течение всех лет наблюдений в телескопы. На Солнце к вязкости, инерционным силам добавляются еще силы взаимодействия с магнитным полем. Это усложняет структуру солнечных протуберанцев. В межзвездных туманностях также можно наблюдать вихревые образования. Возможно, что галактики образовались как турбулентные вихри при расширении вещества Вселенной.
Ламинарное течение наблюдается при течении крови по капиллярам и кровеносным сосудам. Было обнаружено, что дельфины могут эффективно подавлять возникновение турбулентности, благодаря чему могут быстро и бесшумно перемещаться в воде. Созданные под влиянием этих исследований специальные покрытия позволили сделать бесшумные подводные лодки. Подводная лодка “Варшавянка”, она же “Kilo” или “Черная дыра” обладает шумностью на уровне естественных шумов океана.
Было обнаружено, что малые добавки некоторых полимеров переводят турбулентное течение в ламинарное. Это приводит к резкому снижению сопротивления. Сейчас эти добавки используются пожарными, чтобы увеличить скорость вытекания струи из брандспойта.
Вклад русских ученых в изучение турбулентности
В заключение следует отметить вклад русских ученых в изучение турбулентности. До 1941 года математической теории турбулентности не существовало, но было несколько великих ученых, которые пытались дать феноменологическое объяснение турбулентности. Андрей Николаевич Колмогоров думал о турбулентности примерно полгода. Потом наступила война, и он вынужден был переключиться на другие проблемы (его привлекли к задачам корректировки бомбометания и артиллерийского огня). Колмогоровым были опубликованы три маленькие статеечки в “Докладах Академии наук” общим объемом примерно в 15 страниц. И из этого выросла математическая теория турбулентности. В вышедшей в 1998 году монографии французского ученого Уриэла Фриша “Турбулентность. Наследие Колмогорова” есть такие слова: “Глубже всех проник в суть турбулентности именно Колмогоров – математик, обладавший страстным интересом к живой действительности”. Библиография книги Фриша содержит более 600 работ последователей Колмогорова. В настоящее время ученик Колмогорова А.М. Яглом пишет серию книг по колмогоровской теории турбулентности из семи томов. Выдающийся бельгийский ученый И. Пригожин поставил вопрос о присуждении Колмогорову Нобелевской премии, но слишком поздно, когда Андрею Николаевичу осталось жить всего полгода.
В 2003 году другой русский ученый академик Владимир Захаров получил медаль имени Дирака за “выдающийся вклад в теорию турбулентности”. Медаль Дирака – вторая по значимости после Нобелевской премии награда в науке. В. Захаров 15 лет руководил Институтом теоретической физики им. Ландау в Черноголовке.
Список литературы
Р.В. Поль - “Механика, акустика и учение о теплоте”. Издательство “Наука” Главная редакция физико-математической литературы Москва 1971г.
Р. Фейнман, Р. Лейтон, М. Сэндс – “Фейнмановские лекции по физике” т. 7 “Физика сплошных сред”. Издательство “Мир”, Москва, 1966г.
М. Калашников – “Сломанный меч империи”. Крымский мост-9Д, Палея, Форум, Москва, 1999г.
В.А. Тихомирова, А.И. Черноуцан - “Физический факультатив”, Приложение к журналу “Квант”, Москва, 2001г.
Л. Алексеев - “Вихри, которые “делают погоду””. Журнал “Квант” №8 1977г.
В. Тихомиров - “Андрей Николаевич Колмогоров (к 100-летию со дня рождения)”. Журнал “Квант”, №3, 2003г.
www.abitura.com/modern_physics/
www.astronom.ru
|