Рындюк Константин Дмитриевич
В этой статье показано, что такие "глобальные" проблемы как: "Расширение Вселенной", "Тёмная Масса", "Тёмная Энергия", "Ускоренное Расширение Вселенной" - лежащиеся в основе современной Космологии, являются не более чем иллюзиями, возникшие вследствие недостаточно полных представлений о свойствах пространства-времени, имевших место в научной среде в то время, когда выдвигались вышеперечисленные гипотезы.
Также показано "открытие" (точнее заострение внимания на ранее неисследованных аспектах) "новых" свойств пространства-времени, которые позволяют вывести из тупика современную Космологию, в котором она сейчас пребывает.
Чтобы разобраться во всём, давайте ретроспективно вернёмся к тем "поворотным" пунктам, где научная мысль "сделала" неверное направление, которое сейчас со всей ясностью проявилось как тупиковое.
В начале прошлого века астрономы обнаружили в спектрах свечений небесных объектов (звёзд, галактик) большое красное смещение. Эдвин Хаббл нашел, что с увеличением расстояния до объекта прямо пропорционально увеличивается это красное смещение. Вот здесь то было сделано первое неверное предположение, что причиной красного смещения является эффект Доплера. А эффект Доплера предполагает наличие движения каких-либо объектов между собой. Научная мысль пошла в неверном направлении - Красное Смещение указывает, что объекты удаляются друг от друга - значит вся Вселенная расширяется. А в ретроспективе она занимала компактное и очень плотное состояние. Была высказана гипотеза "Большого Взрыва" вселенского катаклизма, вследствие которого образовалась нынешняя Вселенная. Главным и существенным недостатком этой гипотезы в том, что она противоречит Законам Сохранения:
- Закону Сохранения Импульса - скорость разлетающихся "осколков" не должна увеличиваться с расстоянием.
- Закону Сохранения Энергии - в Физике известно, что для разведения зарядов друг от друга, в потенциальном поле, в котором они находятся, нужно совершить работу.
И нет никакой принципиальной разницы в том, что эти заряды электрические и находятся они в электростатическом поле; или это гравитационные заряды, которые находятся в гравитационном поле. Всё равно нужно совершить работу. Пространственные масштабы и величины полей и зарядов не отменяют необходимость совершения работы. Но для совершения работы нужна энергия. А теперь вообразим, что вся Вселенная представляет собой единое гравитационное поле, в котором "роль" зарядов "играют" галактики, звезды, квазары и так далее. Нам также известно, что по последним данным - Вселенная "расширяется" ускоренно. Возникает закономерный вопрос - Откуда нужно взять энергию, столь необходимую, чтобы Закон Сохранения Энергии выполнялся? Тупиковым направлением стало то, что для объяснения явления Красного Смещения в спектрах излучения объектов во Вселенной была выдвинута гипотеза "Большого Взрыва" и её "спутница" - гипотеза "Тёмной Энергии". Далее следующим тупиковым направлением развития научной мысли было выдвижение гипотезы "Тёмной Массы". В начале прошлого века не было известно, что само пространство является комплексным, то есть, Наблюдаемое Расстояние состоит из геометрической суммы Действительного Расстояния и мнимой, кажущейся составляющей Расстояния Удаления.
Забиваем Сайты В ТОП КУВАЛДОЙ - Уникальные возможности от SeoHammer
Каждая ссылка анализируется по трем пакетам оценки: SEO, Трафик и SMM.
SeoHammer делает продвижение сайта прозрачным и простым занятием.
Ссылки, вечные ссылки, статьи, упоминания, пресс-релизы - используйте по максимуму потенциал SeoHammer для продвижения вашего сайта.
Что умеет делать SeoHammer
— Продвижение в один клик, интеллектуальный подбор запросов, покупка самых лучших ссылок с высокой степенью качества у лучших бирж ссылок.
— Регулярная проверка качества ссылок по более чем 100 показателям и ежедневный пересчет показателей качества проекта.
— Все известные форматы ссылок: арендные ссылки, вечные ссылки, публикации (упоминания, мнения, отзывы, статьи, пресс-релизы).
— SeoHammer покажет, где рост или падение, а также запросы, на которые нужно обратить внимание.
SeoHammer еще предоставляет технологию Буст, она ускоряет продвижение в десятки раз,
а первые результаты появляются уже в течение первых 7 дней.
Зарегистрироваться и Начать продвижение
Вернёмся снова к 30-годам прошлого века. Фриц Цвикки изучал вращение удалённой галактики вокруг другого скопления галактик. Абстрактно это можно свести к Кеплеровой задаче вращения двух тел: одного малого тела вокруг другого большого массивного тела. Для гравитационной устойчивости этой системы нужно, чтобы Центробежная Сила Инерции - уравновешивалась Силой Притяжения этих двух тел. Тут то выяснилось то, что Сила Притяжения, вычисленная по Закону Ньютона не равна Центробежной Силе Инерции. Для устранения этого несоответствия было выдвинуто два предложения: - Фриц Цвикки (1933) - выдвинул идею о наличие "Тёмной Массы", которая создаёт то необходимое, недостающее влияние на движение тел. - Мордехай Мильгром (1987) - сделал другое предположение, что не верен Закон Ньютон и для его коррекции нужно ввести поправочные коэффициенты. Но самом то деле - иллюзия нехватки массы (гипотеза "Тёмной Массы") или идея корректировки Закона Ньютона возникает из-за того, что в формулы для вычислений подставлялись не те значения расстояний. Вместо величин Действительного Расстояния в формулах были подставлены величины Наблюдаемых Расстояний. Как показано в статье Наблюдаемое Расстояние всегда заведомо больше Действительного Расстояния. Но это превышение Наблюдаемого Расстояния над Действительным существенно различаются только в межгалактических масштабах. Кстати, в этих же масштабах и "наблюдал" Фриц Цвикки так называемую "Тёмную Массу", или Мордехай Мильгром предполагал вводить поправочные коэффициенты к Закону Ньютона.
Сервис онлайн-записи на собственном Telegram-боте
Попробуйте сервис онлайн-записи VisitTime на основе вашего собственного Telegram-бота:
— Разгрузит мастера, специалиста или компанию;
— Позволит гибко управлять расписанием и загрузкой;
— Разошлет оповещения о новых услугах или акциях;
— Позволит принять оплату на карту/кошелек/счет;
— Позволит записываться на групповые и персональные посещения;
— Поможет получить от клиента отзывы о визите к вам;
— Включает в себя сервис чаевых.
Для новых пользователей первый месяц бесплатно.
Зарегистрироваться в сервисе
В приведённой статье описаны ранее неисследованные свойства пространства-времени, которые "устраняют" все противоречия, речь о которых шла выше. Потому, что Красное Смещение есть следствие действия этого "нового" физического закона, а не результат действия эффекта Доплера. Поэтому нет никакого движения (в смысле "расширения" Вселенной), а на самом то деле есть иллюзорное, кажущееся "удаление" объектов друг от друга. Скорость такого "расширения" также иллюзорна, мнима. Поэтому, здесь нет никаких нарушений Законов Сохранения Импульса и Энергии. Далее выяснилось то, что незнание этих "новых" свойств пространства-времени в тот момент времени, а именно, что Наблюдаемое Расстояние является комплексным и состоит из геометрической суммы Действительной и Мнимой Части, привело к появлению неверного предположения о нехватке видимой массы. И как вследствие этого появления такой ошибочной гипотезы как "Тёмная Масса".
К завершению приведём физический смысл этого "нового" закона. Более подробно о нём написано в этой статье.
"Вследствие того, что все объекты во Вселенной излучают энергию, вокруг этих объектов пространство-время меняет свои свойства. Эти изменения свойств пространства-времени проявляется как увеличение времени прохождения сигнала от объекта до наблюдателя. А увеличение времени прохождения сигнала от объекта равносильно тому, что этот объект наблюдается дальше. Смещение спектра излучения в красную сторону свидетельствует тому, что время прохождения сигнала увеличилось. Непрерывное воздействие этого фактора приводит к тому, что этот объект наблюдается всё дальше и дальше, то есть он удаляется от наблюдателя. Скорость "удаления" напрямую зависит от времени воздействия этого фактора, то есть, чем больше времени прошло, тем больше скорость, с которой объект "удалился". А соответственно и расстояние "удаления" до него".
Целью написания ниже представленной статьи является опубликование новой Космологической модели, которая возникла в процессе изучения такого раздела Физики как “Теория Поля” и исследование свойств пространства-времени. Дальнейшее изучение этой физической закономерности (давайте так осторожно её назовём) (вывод формулы находится в приложении # 4), выявило несостоятельность существующей в данный момент времени гипотезы “Большого Взрыва”. В этой статье нам придётся также затронуть такие “глобальные” темы как: гравитация, постоянная Хаббла, “Тёмная Масса”, квазары, искривление пространства-времени и другие. Потому, что все эти темы не существуют в отдельности, а логически как следствие вытекают одна из другой.
Для того, чтобы обосновывать или опровергать те или иные гипотезы, приведём общеизвестные факты, на основании которых и будет строиться доводы в пользу той или иной гипотезы.
А факты эти следующие:
в спектрах излучения объектов во Вселенной присутствует “красное” смещение;
это “красное” смещение в спектрах излучения объектов во Вселенной увеличивается со временем;
найдено микроволновое излучение, которое сейчас трактуется как остаточное “реликтовое” излучение.
В начало
В настоящее время имеется три объяснения феномену “красного” смещения:
– существует гипотеза “старения” фотонов. Согласно этой гипотезе – фотоны, многократно поглощаясь и излучаясь, преодолевая гигантские расстояния во Вселенной, “продираясь” сквозь облака межзвёздной пыли и атомарного водорода – “обтрёпываются”, то есть теряют часть энергии и в следствии всего этого “краснеют” и “стареют”. Согласно этой гипотезы, чем больше времени существует фотон, “летя” к нам через просторы Вселенной, тем “старее” и “краснее” он становится.
– следующее объяснение происхождению “красного” смещения – это общеизвестная гипотеза “Большого Взрыва”. “Красное” смещение в спектрах излучения объектов во Вселенной интерпретируется как проявление эффекта Доплера.
Автор выдвигает третье, отличное от предыдущих, объяснение происхождения этого
“красного” смещения в спектрах излучения объектов во Вселенной. Причиной его является ранее неисследованное свойство пространства-времени, изучению которого посвящена данная статья.
Выскажем критические замечания по поводу каждого из выше приведённых объяснений.
Начнём с гипотезы “старения” фотонов:
согласно канонам квантовой механики – электромагнитное излучение испускается и поглощается порциями – квантами. Фотон как квант энергии испускается и поглощается полностью, то есть целиком и без всяких “остатков”. А значит он (фотон, квант электромагнитного излучения) неделим, а следовательно не имеет внутренней структуры. Поэтому в нём (фотоне) нет тех “частей”, которые могли бы отделяться от него;
в 4-мерном псевдоевклидовом пространстве-времени Минковского, на котором строится Специальная Теория Относительности (СТО), фотоны распространяются по 4-мерным изотропным. Движение по этим изотропным, согласно свойств этого пространства-времени, происходит мгновенно, вне времени. А значит у фотона нет той “бездны” времени, за которую он может “постареть” и “покраснеть”;
как известно, что свойства фотонов очень сильно зависят от их частоты (длины волны). Если даже допустить, что такое явление как “старение” фотонов имеет место, то для фотонов различной длины волны (частоты) эти изменения были бы существенно различными, изменения частоты излучения разительно бы отличались от наблюдаемой “картины” “красного” смещения;
изменение частоты излучения – есть такой хорошо изученный эффект в нелинейной оптике, показывающий проявление квантовых свойств фотонов. Этот эффект проявляется, на пример, при взаимодействии лазерного когерентного излучения с веществом, при этом возникают дополнительные линии в спектрах излучения, но не само “красное” смещение. Наблюдается также изменение направления луча излучения;
в “рамках” гипотезы “старения” фотонов нельзя найти объяснения тому, почему “красное” смещение возрастает со временем.
Перейдём к гипотезе “Большого Взрыва”. Здесь “красное” смещение в спектрах излучения объектов во Вселенной – интерпретируется как проявление эффекта Доплера. Смещение спектра излучения в “красную” сторону показывает то, что объект удаляется от наблюдателя. По данным наблюдения, все объекты во Вселенной, в межгалактическом масштабе, удаляются друг от друга со скоростями, тем бóльшими, чем дальше они расположены. В начале прошлого века, когда астрономы стали измерять скорости объектов во Вселенной, было замечено значительное красное смещение в спектрах излучения этих объектов. Самое простое и быстрое объяснение этому феномену было дано то, что объекты удаляются. Что же заставило объекты удаляться? Начался поиск той “причины”, в силу которой все объекты во Вселенной стали удаляться друг от друга. Было сделано следующее предположение, что вероятно, в прошлом Вселенная имела меньшие размеры и огромную плотность. В этой последовательности умозаключений легко вписалась “мифологическая” идея о “первородном яйце”, “проатоме” из которого, в силу случившегося вселенского катаклизма – “Большого Взрыва”, произошедшего предположительно 20 млрд. лет назад, возникло всё сущее.
Гипотезе “Большого Взрыва” также не удалось избежать серьёзных недостатков:
скорость разлетающихся “обломков” не должна увеличиваться с расстоянием от “точки взрыва”, иначе это противоречит Закону Сохранения Импульса;
в физике известно, что для разведения зарядов друг от друга, в потенциальном поле, котором они находятся, нужно совершить работу. И нет, никакой принципиальной разницы в том, что эти заряды электрические и находятся они в электростатическом поле; или это гравитационные заряды, которые находятся в гравитационном поле. Всё равно нужно совершить работу. Пространственные масштабы и величины полей и зарядов не отменяют необходимость совершения работы. Но для совершения работы нужна энергия! Откуда взять необходимую энергию для выполнения этой работы по разведению зарядов друг от друга? Где её источник? Иначе Закон Сохранения Энергии не будет выполняться! А теперь вообразим, что вся Вселенная представляет собой единое гравитационное поле, в котором “роль” зарядов “играют” галактики, звёзды, квазары и так далее. Нам также известно, что Вселенная “расширяется”, то есть все её “заряды” разносятся друг от друга. А по последним данным наблюдения – это “расширение” Вселенной происходит ускоренно (приложение #2).
Снова тогда возникает вопрос- “Откуда берётся энергия, столь нужная, для того чтобы Закон Сохранения Энергии выполнялся?”
Гипотеза “Большого Взрыва” не может дать ответ на следующие “частные” вопросы:
почему Постоянная Хаббла, характеризующаяся скорость “расширения” Вселенной, наблюдается в таком числовом интервале?
почему такие сверхмощные Источники Энергии, как квазары “наблюдаются” на краю “видимой” части Вселенной, к тому же “удаляющимися” от нас с гигантскими скоростями? Почему их (квазаров) нет поблизости? Ведь Космологический Принцип гласит, что Вселенная однородная и изотропная. А наблюдения показывают, что такие “горячие” сверхмощные источники энергии, как квазары “наблюдаются” на краю её “видимой” части? Откуда же такое “расслоение”, неоднородность появляется? “Механизм”, возникновения этой иллюзии, будет показан в ходе проведения мысленного эксперимента # 1.
Для введения дальнейшего исследования, давайте приведём все те возникающие вопросы, проблемы, требующие объяснения, которые нам стали известны из наблюдений за объектами во Вселенной, и которые мы попытаемся разрешить в рамках новой космологической модели. (Здесь мы не будем приводить частные проблемы, имеющие место только в рамках отдельных гипотез, примеру проблему нахождения средней плотности Вселенной, которая появляется в космологических моделях эволюции Вселенной Эйнштейна-Римана.)
А эти проблемы следующие:
во Вселенной нет “неподвижных” объектов;
все объекты удаляются друг от друга (в межгалактических масштабах);
скорость удаления объектов друг от друга пропорциональна расстоянию их между собой (то есть, чем дальше находится объект, тем быстрее он удаляется);
скорость удаления объектов во Вселенной увеличивается со временем (происходит ускоренное “расширение” Вселенной);
в Астрономии известна зависимость “Светимость-Масса”, вычисление массы Вселенной, произведённое с использованием этой зависимости, резко отличается от вычислений с применением расчётов по гравитационному влиянию движущихся тел (объектов) друг на друга. Это несоответствие теоретических вычислений и наблюдений породило проблему “Тёмной Массы”;
в Астрономии также известен фотометрический парадокс Ольберса или простой, казалось бы, вопрос – “Почему небо ночью тёмное?”;
В начале статьи было высказано предположение, что всё дело в свойствах окружающего нас пространства-времени. А что мы об этих свойствах знаем? Какие “возмущающие” факторы меняют их, которые нам известны из школьного курса Геометрии? Перечислим эти “возмущающие” факторы:
огромные Массы Вещества;
около световые Скорости Движения;
в дополнении к тем вышеперечисленным факторам, автор высказывает мысль, что этим фактором является Источник Энергии, характеризующийся таким показателем как Мощность. О влиянии этого фактора на свойства пространства-времени посвящена данная статья.
Теперь рассмотрим влияние каждого фактора на свойства пространства-времени в отдельности:
если Массы Вещества небольшие и Скорости Движения не высокие, то таким примером может служить наше околоземное пространство. Искажения в нём столь незначительны, что на практике их можно не учитывать. Такое пространство можно считать Евклидовым;
если Скорости Движения приближаются к световым, то можно уже “говорить” о релятивистских эффектах Специальной Теории Относительности. Рабочим инструментом здесь будет 4-мерное псевдоевклидово пространство-время Минковского;
напротив если Массы Вещества в какой-то области пространства значительны, то можно уже “говорить” об искривлении пространства-времени вблизи этого огромного тела. “Чем больше Масса, тем больше искривлений”. Очень хорошо это влияние на свойства пространства-времени показаны в Уравнениях Эйнштейна, связывающими Тензор Кривизны пространства-времени с распределением Масс Вещества (в формуле в виде Тензора Энергии-Импульса). (Смотрите приложение #1 в конце статьи).
Рабочим инструментом в этом искривлённом пространстве будет уже не Геометрия Евклида, а Римана.
“Рассматривая” такое свойство пространства-времени – как способность искривляться вокруг больших Масс Вещества, почему-то ранее не учитывался такой “существенный” фактор, что большие Массы Вещества, а это – звёзды, ядра галактик, квазары, сами галактики излучают энергию. А по всему они являются Источниками Энергии, которые характеризуются таким своим показателем как мощность – N. И чем мощнее Источник Энергии, тем значительнее будет его влияние на окружающее пространство. Забегая вперёд, отметим, что это влияние в космологическом плане, проявляется в следующем: “чем Источник Энергии мощнее, тем быстрее он “удаляется”, а следовательно, и “наблюдается” дальше”.
О специфическом влиянии этого фактора пойдёт дальнейшее повествование.
Краткое содержание этой новой “особенности” пространства-времени, выраженное словами будет следующее:
Изменение объёма единичного параллелепипеда, составленного из определителя метрического тензора пространства-времени прямо пропорционально относительной мощности происходящего в этой области пространства энергетического процесса.
Или обычными словами то же самое:
Чем мощнее процесс выделения (или поглощения) энергии идёт в этой точке пространства, тем более заметнее становятся изменения свойств пространства-времени в этой точке; то есть искривления (изменения объёма) этого пространства-времени напрямую зависит от относительной мощности происходящего там (в этой точке пространства) энергетического процесса.
В символьном виде эта зависимость выражается так:
или , или

где - мощность процесса,
- энергия, находящаяся в этой области пространства,
- относительная мощность,
- выражает изменение свойств пространства-времени, то есть изменение объёма единичного параллелепипеда, (объём единичного параллелепипеда, по определению, равен корню квадратному из модуля определителя) составленного из компонент метрического тензора по времени (компоненты, из которых складывается тензор кривизны пространства-времени).
Как мы видим, эта формула структурно состоит из двух частей:
- в левой её части находится – “энергетическая” составляющая,
- а в правой её части находится – “геометрическая” составляющая.
Поэтому, все дальнейшие объяснения будут изложены также в виде двух разделов:
в первом разделе мы рассмотрим левую – “энергетическую” часть формулы;
во втором разделе разберём её “правую” часть – “геометрическую” составляющую.
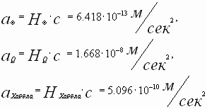
На примере нашего светила – Солнца, проделаем следующее: разделим численное значение светимости Солнца LÄ в ваттах на массу Солнца MÄ в килограммах, то есть найдём удельную мощность – N*Ä . Как видно, значения этой удельной мощности небольшие – бытовые электронагревательные приборы имеют намного более высокие значения её. Эту удельную мощность можно сопоставить с мощностью, которую выделяют гниющие листья в кучах мусора, собранного после осеннего листопада.

Для сравнения, приведём характеристики одного хорошо известного Квазара (3C 273): масса – МQ ~ 108 масс Солнца, светимость - LQ ~ 1039 Ватт. Так же как и в примере выше, найдём его удельную мощность.

Далее, если значения удельной мощности умножить на множитель, равный обратному квадрату скорости света
равный 
то получим значение относительной мощности Н
,
так как и ,
то размерность относительной мощности –
минус секунда .
Удельная и относительная мощности различаются
только постоянным множителем .
Для Солнца относительная мощность НÄ , 
для Квазара (3С 273) относительная мощность НQ. 
А теперь, как было обещано в начале статьи, рассмотрим постоянную (или параметр)
Хаббла. В среднем, постоянная Хаббла имеет численное значение:
.
Разделим километры/секунды на Мегапарсеки, получим
. Размерность – минус секунда.
Сопоставляя ранее полученные

значения относительной мощности для нашего Солнца, Квазара (3С 273)
и постоянной Хаббла, можно смело предположить, что постоянная
Хаббла, в своей глубинной сути, выражает среднюю относительную мощность Вселенной.
Так что же это такое - “среднее значение относительной мощности
Вселенной”? Для этого проведём “поверхностные”, прикидочные расчёты, которые, ни в коем случае, не нужно считать точными. Пусть х – количество “холодных” объектов во Вселенной, подобных нашему Солнцу, имеющих относительную мощность - НÄ . А у – количество “горячих” объектов во Вселенной, подобных Квазару (3С 273), имеющих относительную мощность НQ. Составим пропорцию из этих значений:
.
Тогда постоянная Хаббла будет представлять собой среднее значение этой “смеси” “холодных” и “горячих” объектов.
Из вышеприведённой пропорции найдём численное соотношение между количеством объектов, подобных нашему Солнцу и объектов, подобных
Квазару (3С 273).
Тогда 
или , .
По этим предварительным подсчётам видно, что количество квазаров (и “горячих” объектов, подобных квазарам) во Вселенной должно составлять не менее 3% от всех объектов в ней. А астрономические наблюдения показывают, что таких объектов значительно меньше.
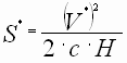
Тут в пору самим изобретать “Тёмную Массу”. В чём же дело? Дело в том, что эти “горячие”, а они же и “сверхмассивные” объекты, перестали быть видимыми”! Парадокс – объект излучает громадное количество энергии, а не видим! Как это понять! Чтобы объяснить этот парадокс используем такой метод как аналогию. Для этого приведём вывод формулы скорости “кажущегося” удаления V*. Для этого в Законе Хаббла, который показывает, что – “Лучевая скорость V любой галактики (объекта) измеренная с помощью красного смещения пропорциональна расстоянию r до неё – то есть ”, заменим значение r на выражение ct, то есть – и подставим в эту формулу, а значение H заменим на уже известное , в итоге получим .
Выпишем также ещё одну формулу из школьного курса физики . Это известная простенькая формула, связующая значение скорости движения с ускорением этого тела
, где V – скорость, а – ускорение, а t –время.
Как нам, в нашем случае найти ускорение? Для этого умножим значение относительной мощности Н на множитель с (с - скорость света в вакууме) и получим то самое “кажущееся умозрительное” ускорение, с которым объект “удаляется” от наблюдателя.
,
где V* - скорость “кажущегося” умозрительного удаления объекта от наблюдателя, “кажущееся” ускорение.
Для нашей, уже известной, тройки эти значения будут следующие:

А теперь зададимся таким вопросом – сколько времени потребуется объекту “двигаться” с таким “ускорением” для достижения значения скорости света? Ведь достигнув скорости света, как мы знаем, этот объект станет недосягаемым для наблюдения, т. е. он “исчезнет” из “поля зрения”.
Для нахождения значения времени – поделим значение скорости света на ускорение тогда 
Как видно из расчетов, это время равно величине обратной относительной мощности. Для нашей “тройки” объектов произведём следующие подсчёты.

Внимательнее посмотрим на последнее выражение - ТХаббла.
Перед нами ничто иное как “возраст” Вселенной, вычисленный исходя из данных гипотезы “Большого Взрыва”! Далее, для нашей тройки объектов найдём “горизонт видимости” D, для этого умножим значение времени Т на скорость света в вакууме – с. Снова взглянем на последнее выражение – DХаббла. Это “протяжённость” Вселенной - согласно гипотезе “Большого Взрыва”!

Анализируя эти значения, можно предположить, что если величина “горизонта видимости” меньше, чем значения “горизонта видимости” для Вселенной, то такой объект не “видим”, или становится “невидимым”! Парадоксально! Представьте себе, есть сверхмощный и сверхмассивный “горячий” объект, который излучает огромное количество энергии, и этот объект становиться “невидимым”! А сравнительно небольшие и “холодные” объекты никуда не “исчезают”! Ниже представлено одно из (“шуточных” доказательств)
А те немногочисленные квазары, которые ещё продолжают открывать, как раз и наблюдаются на границе видимой части Вселенной, поэтому нам видна только её “холодная” ограниченная часть.
Но это ещё не всё. Свет, то есть излучение объектов Вселенной, оставшейся за “горизонтом видимости”, всё же нам доступен. Фотоны, в силу своих квантовых свойств, преодолевают этот барьер – “горизонт видимости”. Реликтовое излучение и есть “свет” той Вселенной, прорвавшегося через “горизонт видимости”. А пока этот эффект ждёт своих открывателей.
В этом разделе мы рассмотрим все те свойства пространства, которые открывает нам эта зависимость в её правой части. , где – фундаментальный определитель тензора – , а именно - есть изменение объёма единичного параллелепипеда, составленного из определителя метрического тензора. По определению, объём единичного параллелепипеда равен корню квадратному из модуля определителя. Знак “-” (МИНУС) при выражении показывает, что объёмы уменьшаются.
Для ведения дальнейшего исследования нужно будет дать существенные пояснения, а именно: Как было показано выше в той области пространства, в которой идёт энергетический процесс, объём этого пространства “уменьшается”, а следовательно и “уменьшаются” и линейные размеры, протяженность. Поэтому дальше будет логически обоснованный переход от “объёмов к протяженности”. Ведь если изменяются компоненты метрического тензора, а с ними и линейные значения, протяженность; то и определитель этого тензора, составленный из этих же компонент, а вместе с ним и объём единичного параллелепипеда, тоже изменит своё значение. Здесь мы намеренно ставим слова - “уменьшаются” в “” (кавычки), потому как будет показано и доказано ниже, речь пойдёт о мнимых, о “кажущихся”, комплексных значениях расстояний. По существу, ничто не уменьшается и ничто не увеличивается. Наблюдателю “кажется”, что происходят какие-либо изменения. Всё это и есть – проявления тех удивительных свойств комплексного пространства-времени, о котором повествует предложенная статья.
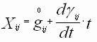
Что это такое - метрический тензор? Чтобы не пугать неискушённого читателя мудрёными словами, заранее поясним, что метрический тензор 4х - мерного пространства-времени, по определению, представляет собой квадратную таблицу из 16 чисел, расставленных особым образом, или 9 чисел для обычного 3х – мерного пространства. Метрический тензор - Xij состоит из постоянной составляющей - ġij и его переменной части - γij, которая является отклонением метрического тензора от галлилеевского вида
. В свою очередь - γij можно представить в виде произведения производной от метрического тензора по времени на время. Или в общем, виде:
.
Вспомним, как измеряются расстояния, т.е. науку – Геометрию. Для этого в пространстве, в котором будет проводиться измерения, нужно иметь: точку отсчёта, эталонную мерку (базовую длину), тройку ортогональных (взаимно перпендикулярных друг другу) единичных векторов определённых в этой точке, и метрический тензор. Метрический тензор во всех точках нашего обычного пространства (наше обычное пространство до некоторой степени можно считать Евклидовым) остается без изменений. А если и изменяется, то столь незначительно, что на практике не учитывается. Другое дело, искривлённое пространство вокруг массивного тела. Здесь дополнительно, к вышеперечисленным действиям, уже нужно определять в каждой точке метрический тензор. Эталонная мерка вычисляется произведением единичного вектора в данном направлении на соответствующий этому направлению – компоненте метрического тензора. (Здесь мы не будет приводить формул для вычисления, читатель найдёт их в специальной литературе, список которой помещён в конце статьи). А если значения компоненты метрического тензора изменяется, то и изменяется и само произведение, т.е. – эталонная мерка. (О том, как влияет изменение метрического тензора в этом объёме пространства на движение частицы смотрите в приложении # 6). Запомним это последнее, оно нам понадобится в дальнейшем. В однородном пространстве, т.е. в пространстве без искажений и искривлений, единичные отрезки равны между собой во всех точках этого пространства и во всех направлениях его. Иное дело, искривлённое пространство – в качестве примера можно привести кривое зеркало, которое можно увидеть в аттракционе под названием – “комната смеха”. На примере этого “кривого” зеркала (пространства), можно видеть что, в разных направлениях и в разных точках этого пространства единичные отрезки не равны между собой. Круги преобразуются в овалы, сумма внутренних углов треугольника не равна 1800 градусам. Все эти искривления, искажения описываются тензором кривизны Rik (смотрите приложение #1 в конце статьи). Дальше для объяснения используем также такой метод как аналогию. Приведём ещё одну простенькую формулу из школьного курса физики, связывающую пройденное расстояние и скорость движение тела.
, где S – расстояние между объектом и наблюдателем,
S0 – первоначальное удаление этого движущегося объекта от наблюдателя,
V – скорость движения объекта,
t – время движения объекта.
В свою очередь скорость - V можно представить в виде
, подставляем это выражение в формулу;
в итоге эта формула примет вид
.
Анализ этой формулы показывает, что с увеличением времени – расстояние увеличивается. Сравнивая эти две формулы:
и 
замечаем, что они (эти две вышеприведённые формулы) структурно одинаковы. То есть, с увеличением времени, значения этих формул увеличивается. Как ранее было указано, для вычисления длины необходимо умножить соответствующие значения компоненты метрического тензора на единичный вектор соответствующего направления. Значения метрического тензора увеличивается, как было выяснено выше, а значит и всё это произведение также увеличивается. А вместе с ним увеличивается и расстояние от наблюдателя до объекта. А теперь представим, как это всё будет происходить в межгалактических масштабах. В космологическом плане получится очень интересно, – объект “ничего не делал”, а только излучал энергию, а наблюдается как “удаляющийся” от нас (наблюдателя)! Хотя нам предварительно ничего не было известно относительно этого объекта: находился ли он (этот объект) в покое, или двигался по направлению к наблюдателю или от него, за одним исключением, что он излучал энергию! Замечательное свойство пространства! Удивительное пространство! В нём нет неподвижных объектов! Все объекты “движутся” (удаляются) друг от друга, с увеличивающимися скоростями во времени, и, наконец “исчезают” из виду! А как было выяснено ранее, “горячие” объекты будут значительно быстрее “удаляться”, нежели их “холодные” соседи, потому что, скорость “удаления” прямо пропорциональна относительной мощности - Н. У “Горячих” объектов она выше, чем у “холодных”, а значит и “удалятся” они будут значительно быстрее.
А теперь перечислим все те признаки, по которым наблюдатель определяет, что этот объект “удаляется” от него. Это будут следующие признаки:
по уменьшению видимого поперечного размера тела d*;
по “красному” смещению в спектре излучения этого объекта;
если – τ – время прохождения сигнала от объекта до наблюдателя увеличилось.
В первой формуле: 
d* - видимый поперечный размер тела,
d0 – первоначальный “истинный” размер этого тела.
(Проверка этой формулы осложняется тем, что в Астрономии, поперечные размеры тел практически не наблюдаются, а вычисляются косвенным путём).
Зная, что сигналы распространяются со скоростью света, увеличение времени прохождения сигнала можно представить, как “увеличение” расстояния между объектом и наблюдателем. В Специальной Теории Относительности есть формула, связывающая изменение временных интервалов прохождения сигнала от скорости движения , где или .
Преобразуя нашу вышеприведённую формулу.
, или , тогда
.
В итоге получаем формулу, которая связывает два измерения времени t и τ!
или
.
В этой формуле явно показано двухмерность (многомерность) времени. Одно измерение времени – это временной интервал – t , другое – t -выступает как “Возраст” объекта. Как соотносятся между собой t и t? Выскажем осторожное предположение, что эти две величины входят в “состав” комплексного значения времени!
Физический смысл этой формулы состоит в следующем:
“Вследствие того, что все объекты во Вселенной излучают энергию, вокруг этих объектов пространство-время меняет свои свойства. Эти изменения свойств пространства-времени проявляются как увеличение времени прохождения сигнала от объекта до наблюдателя. А увеличение времени прохождения сигнала от объекта равносильно тому, что этот объект наблюдается дальше. Смещение спектра излучения в “красную” сторону свидетельствует тому, что время прохождения сигнала увеличилось. Непрерывное воздействие этого фактора приводит к тому, что этот объект наблюдается всё дальше и дальше, то есть он удаляется от наблюдателя. Скорость “удаления” напрямую зависит от времени воздействия этого фактора, то есть, чем больше времени прошло, тем больше скорость, с которой объект “удалился”. А соответственно и расстояние “удаления” до него”.
Мысленный эксперимент # 1
Проделаем один мысленный эксперимент. Поместим наблюдателя в центре. Вокруг него, на каком-то одинаковом расстоянии, разместим “горячие” сверхмощные источники энергии (на схеме они обозначены под номерами #1). На дальнем плане, пусть на удвоенном расстоянии, находятся “холодные” объекты (на схеме эти объекты обозначены под номерами #2). Тогда по истечению какого-то продолжительного времени, пространство-время (его свойства) вокруг всех этих объектов изменится. В окрестностях “горячих” объектов произойдут бóльшие изменения, нежели вокруг “холодных” объектов. То есть “горячие” объекты “удалятся”, как мы выяснили раньше, значительнее “дальше”, нежели их “холодные” “соседи”. Наш наблюдатель увидит следующее: “холодные” объекты “окажутся” на переднем плане, а “горячие” - на заднем плане. По истечению ещё какого-то продолжительного времени, наш наблюдатель не обнаружит “горячих” объектов, а затем очередь подойдёт “скрыться” и “холодным” объектам.
Картина, которая представится наблюдателю, через некоторое продолжительное время.
Вот оно объяснение тому, почему квазары и другие “горячие” Источники Энергии наблюдаются на краю видимой части Вселенной!
Давайте ещё раз взглянем на те две формулы, которые встречались уже нам:
и .
Простой анализ этих формул показывает, что с увеличением параметра t – значения их увеличивается. Увеличивается расстояние S и скорость V* . А тот наблюдатель, который рассматривает эти объекты, видит следующее: что скорость “удаления” и расстояния до объектов увеличиваются. Не зная об относительной мощности – Н и параметре – t и тех доводах, что были даны выше, он делает вывод о том, что скорость удаления зависит от расстояния до объекта! Хотя, как мы показали выше – скорость и расстояние увеличиваются одновременно и зависят от параметра – t . А как было сказано раньше – если увеличивается расстояние до объекта, то такой объект – удаляется! На самом деле, хотя и расстояние увеличивается, но этот объект никуда не “удаляется”! вот такой парадокс! Нам кажется, что он удаляется! Снова повторим вышесказанное:
“Вокруг объекта, излучающего энергию, меняется свойства пространства-времени. Изменение этих свойств пространства-времени проявляется как увеличение времени прохождения сигнала от этого объекта до наблюдателя. А увеличение времени прохождения сигнала наблюдается как увеличение расстояния от этого объекта до наблюдателя”
В этой статье мы снова намеренно ставим слово “удаляется” в кавычки “”. Речь здесь идёт о кажущихся, о мнимых величинах! Для объяснения этого парадокса “удаления” проделаем ещё один мысленный эксперимент.
Мысленный эксперимент # 2
Поместим нашего наблюдателя в центре. по одну сторону от него расстоянии R поместим “горячий” объект, а по другую сторону на расстоянии 2R – “холодный” объект. В качестве образного “средства доказательства”, позаимствуем из Общей Теории Относительности (ОТО) её “гравитационную воронку”.
Повторим снова все вышеприведённые доводы:
“Вокруг этих объектов, в следствии того, что они излучали энергию, изменились свойства окружающих их пространства-времени. А изменение свойств пространства-времени проявилось так, как эти объекты #1 и #2 стали наблюдаться как “удаляющиеся” от наблюдателя”.
Как было выяснено раньше, пространство не может разорваться, разлететься. Куда же тогда “деваются” эти объекты? Куда же они “удаляются? А давайте образно предположим, что эти объекты “проваливаются” в эти “воронки”. И чем дальше этот объект “удаляется”, тем самым он, следовательно, глубже он “проваливается”!
Приведём формулы, по которым производится вычисление расстояний:
и , где:
R – действительное расстояние,
S* – “кажущееся”, мнимое “удаление”,
S – полное наблюдаемое расстояние.
Как видим – S – расстояние от наблюдателя до объекта равняется геометрической сумме расстояний R и S* и состоит из:
из действительной части – R – действительного удаления;
мнимой части – S*– “кажущегося” расстояния.
Само значение наблюдаемого расстояния S представляет собой комплексную величину, что и породило известную проблему “Тёмной Массы”, но в тоже время в ней и содержится ключ к её решению.
Проблема “Тёмной Массы”
В начале статьи было упомянута проблема “Тёмной Массы” в Космологии. Суть её состоит в следующем: В начале прошлого века, когда астрономы (Фриц Цвикки, 1933) стали “взвешивать” объекты во Вселенной, выяснилось то, что результаты этих вычислений, произведённых с применением зависимости “Светимость-Масса”, очень сильно отличались от тех результатов вычислений массы объектов по их гравитационному влиянию друг на друга. Обнаружилось “большое” несоответствие. В расчётах казалось, что не хватает той “видимой” массы, которая создаёт наблюдаемое гравитационное влияние тел (объектов) друг на друга. В качестве решения этого несоответствия были предложены следующие гипотезы:
- Было высказано предположение, что присутствует “невидимая”, “Тёмная Масса”, которая и создаёт это необходимое влияние; В последующие годы были выдвинуты различные “кандидатуры” на роль “Тёмной Массы”: от нейтрино до самых экзотичных.
- Было высказано также и другое предположение, что Закон Ньютона не верен (Мордехай Мильгром, 1987).
Само это “недоразумение” появляется из-за того, что “подменялись” значения величин подставляемые в формулы. Как видно из вышеприведённых объяснений, значение наблюдаемого расстояния – S всегда заведомо больше действительного расстояния от объекта до наблюдателя – R.

Здесь необходимо уточнение: увеличение “мнимого”, “кажущегося” расстояния “удаления” – S* становится заметным только на очень больших расстояниях, например в межгалактических масштабах. Соответственно и превышение расстояния – S над – R также становится заметным в этих масштабах расстояний.

Да и сама проблема “Тёмной Массы” появляется именно в этих межгалактических масштабах.
Решение проблемы “Тёмной Массы”:
Если в формулу, определяющую силу F гравитационного взаимодействия тел (объектов) между собой (Закон Ньютона),
,
где F – сила гравитационного взаимодействия тел,
G – гравитационная постоянная,
M1 и M2 – массы тел (объектов),
R – расстояние между центрами тел (объектов).
вместо действительного значения расстояния – R, подставить наблюдаемое значение расстояния – S, то в результате вычислений получим силу – F во много раз меньшую необходимой для поддержании гравитационной устойчивости взаимодействующих объектов. Чтобы значение силы – F оставалось прежним (гравитационная устойчивость взаимодействующих объектов), то в искомой формуле нужно будет увеличить значение числителя, то есть значения масс M1 и M2. А эти значения масс, которые находятся из диаграммы “Светимость-Масса”, из которой сверх того больше, чем наблюдается ничего дополнительно взять нельзя. Вот тогда-то и появляется так называемый “дефицит” “светящегося вещества”, который и породил известную проблему “Тёмной Массы”; А эта “Тёмная Масса”, как оказалась, обладает удивительными свойствами – сама не наблюдается, а гравитационно взаимодействует со всеми объектами во Вселенной.
Для наглядности сравнения достоинств новой космологической модели и гипотезы “Большого Взрыва”, поместим в виде таблицы все те трудные вопросы, на которые эти две модели пытаются дать ответ.
| Проблемы, которые требуются объяснить в рамках этих гипотез. |
Гипотеза “Большого Взрыва”, которая базируется на свойствах “обычного” пространства-времени. |
Новая космологическая модель, основывающая на свойствах комплексного пространства-времени. |
| В спектрах излучения объектов во Вселенной присутствует “красное” смещение. |
Смещение спектра излучения в “красную” сторону свидетельствует в том, что объект удаляется от наблюдателя – то есть проявление эффекта Доплера. |
В следствии того, что все объекты во Вселенной излучают энергию, вокруг этих объектов пространство-время меняет свои свойства. Эти изменения свойств пространства-времени проявляются как увеличение времени прохождения сигнала. А увеличение времени прохождения сигнала от объекта до наблюдателя равносильно тому, что этот объект наблюдается дальше. Смещение спектра излучения в “красную” сторону свидетельствует тому, что время прохождения сигнала увеличилось. Непрерывное воздействие этого фактора приводит к тому, что объект наблюдается всё дальше и дальше, то есть он удаляется от наблюдателя. Скорость “удаления” напрямую зависит от мощности Источника Энергии и времени воздействия этого фактора, то есть, чем больше времени прошло, с тем большей скоростью, объект “удаляется”. А соответственно увеличивается и расстояние “удаления” до него. |
| Во Вселенной нет “неподвижных” объектов. |
Объекты стали “подвижными” в следствии механического воздействия – вселенского катаклизма – то есть в следствии “Большого Взрыва”. |
| Все объекты удаляются друг от друга со скоростями пропорциональных их расстоянию между ними (то есть, чем дальше находится объект, тем быстрее он удаляется). |
Нет определённого объяснения. В качестве наглядного доказательства приводится “резиновая” модель. Или другое утверждение, что просто увеличиваются масштабы пространства, без какого-либо доказательства. |
| Вселенная ускоренно “расширяется”. |
Нет определённого объяснения. Выдвигаются множество версий: от нелинейности космологического члена Λ в уравнениях Эйнштейна до “присутствия” “Отрицательной, Тёмной Энергии”, которая “раздвигает” пространство. |
| Проблема “Тёмной Массы”. |
Не “решена”. Проводятся поиски на роль “кандидатов” в “Тёмную Массу” от нейтрино до самых экзотичных. |
Проблема “Тёмной Массы” возникает в следствии “подмены” значений действительных и мнимых расстояний в расчётах массы Вселенной. |
| Фотометрический парадокс Ольберса или “Почему небо ночью тёмное”. |
Объясняется ограниченностью времени жизни объектов во Вселенной и её “расширением”. |
| Микроволновое, “реликтовое” излучение. |
Трактуется как остаточное излучение, произошедшее в эпоху остывания “горячей” Вселенной. |
Предполагается, что это то самое излучение невидимой части Вселенной, которое “прорвалось” сквозь “Горизонт Видимости”. |
В завершение этой статьи соберём и приведём все “новые идеи” в виде тезисов:
не механическое расширение, в виде последствий “Большого Взрыва”, было причиной “удаления” объектов во Вселенной, а ею (причиной) оказалось раннее неисследованное свойство пространства-времени;
изменение свойств пространства-времени (его искривление, изменение объёма) вызывается энергетическим процессом, происходящий в этой точке пространства;
этот энергетический процесс происходит из-за того, что все объекты во Вселенной излучают энергию;
изменения этих свойств пространства-времени проявляются как увеличение времени прохождения сигнала. А увеличение времени прохождения сигнала от объекта до наблюдателя равносильно тому, что этот объект наблюдается дальше;
смещение спектра излучения в “красную” сторону свидетельствует тому, что время прохождения сигнала увеличилось. Непрерывное воздействие этого фактора приводит к тому, что объект наблюдается всё дальше и дальше, то есть он удаляется от наблюдателя;
скорость “удаления” напрямую зависит от мощности Источника Энергии и Времени Воздействия этого фактора, то есть, чем больше времени прошло и выше относительная мощность, тем больше скорость, с которой объект “удалился”. А соответственно и расстояние “удаления” до него;
- “глобальное” проявление этого феномена породило представление о том, что Вселенная “расширяется”;
- в силу специфических особенностей проявления этого феномена, большая часть объектов во Вселенной перестала быть “видимой”;
- мы наблюдаем во Вселенной только её “холодную” ограниченную часть;
- постоянная Хаббла, которая характеризует скорость “удаления” объектов во Вселенной, (её “расширение”), как оказалось, в своей глубинной сути, выражает её среднюю относительную мощность;
- так как постоянная Хаббла выражает собой среднее значение, этим и объясняется трудность её точного измерения;
- выяснилось то, что пространство и время имеют в своей сути комплексное значение, то есть мы имеем дело с комплексным пространством, а ниже, в следствии с этим, перечислены следующие возникшие “трудности”:
- истинное положение объектов во Вселенной нам неизвестно, мы знаем только точные координаты в проекции на наше обычное пространство-время;
- нам неизвестен возраст самой Вселенной;
- использование таких категорий как “расстояние”, а вследствие с этим таких категорий как “направление” и сравнительных оценок “ближе” и “дальше” вряд ли возможно в дальнейшем без специальных оговорок;
- использование трёх пространственных и одного временного измерения пространства-времени для дальнейшего изучения Вселенной явно недостаточно;
Приложение к статье
#1. Уравнение гравитационного поля – уравнения Эйнштейна:
или , или ,
где Tik, T – тензор энергии-импульса массы,
Rik, R – тензор Риччи (преобразованный тензор кривизны),
gik – метрический тензор пространства-времени.
#2. Масса Солнца 
Светимость Солнца 
Скорость света в вакууме 
MMW – Масса Млечного Пути (нашей Галактики - Milky Way galaxy) –(Evans and Wilkinson, 2000)

MМ31 – Масса Галактики в созвездии Андромеда М31 (NGC 224)

V*М31 - Радиальная скорость “удаления” Галактики М31 - V*М31 =300± 4 км/сек по данным (NED)
RМ31 – расстояние до Галактики М31 - RМ31 = 2900 000 с.л. 
G – Гравитационная постоянная 
F – сила притяжения между Млечным Путём (Нашей Галактикой) и Галактикой М31.


N*- мощность, которая бы потребовалась для “разведения” в противоположные стороны этих двух галактик.
 
# 3.А в качестве примера можно привести шуточное “доказательство” этого утверждения. Представим себе в качестве Источника Энергии обычную электрическую лампочку и оставим её “гореть” этакое продолжительное время например в подъезде дома. Согласно нашим подсчётам, эта лампочка через некоторое время - некое количество миллионов лет - “исчезнет” из “поля зрения”. Но наш повседневный опыт говорит нам, что лампочки “исчезают” гораздо раньше, в особенности из подъездов домов.
# 4 Как нам известно, что при отсутствии гравитационного поля – Закон Сохранения Энергии и Импульса Материи (вместе с электромагнитным полем) выражается уравнением

Обобщением этого уравнения на случай наличия гравитационного поля является уравнение

Производя несложные преобразования, разделяя переменные, можно получить следующее
уравнение: , тогда , или 
В этом уравнении видно, что изменения состояния материи (изменения Тензора Энергии-Импульса) и изменения Гравитационного Поля (выражения, составленные из производных Метрического Тензора) происходит одновременно. То есть меняется состояние материи и меняется окружающее её поле (гравитационное). (смотрите список литературы_1 в конце статьи). Влияние поля на состояние материи, можно продемонстрировать на примере, как движение частицы в переменном гравитационном поле, когда энергия и импульс частицы меняются соответственно с изменением окружающего её поля, что очень наглядно показано в этих уравнениях. (смотрите список литературы_2 в конце статьи)


где , – изменения энергии и импульса соответственно,
а , есть изменения Гравитационного Поля (выражения, составленные из производных Метрического Тензора).
Хотя эти вышеприведённые уравнения и показывают физическую суть происходящих процессов, но они не “удобны” для дальнейших операций. Нам нужно такое уравнение, которое показывало бы, что не только поле влияет на состояние материи, но и состояние материи влияет также на поле. Такое уравнение нашлось – это Уравнение Неразрывности и оно имеет вид:

где ρ – плотность массы, – объём единичного параллелепипеда, составленного из определителя метрического тензора , (в Евклидовом пространстве ), а 
Производя несложные преобразования умножая оба члена уравнения на коэффициент k равный произведению элементарного объёма ν и скорости света в квадрате С2 , ( k = ν.С2 ) далее получим ,
разделяя переменные, в итоге получим уравнение совместного изменения энергии какого-то элементарного объёма пространства и изменения метрики этого пространства (объёма), в котором происходит этот процесс изменения энергии.
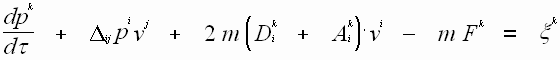
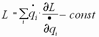
# 5. Здесь рассматривается система, состоящая из физического тела (объекта) излучающего энергию, а значит энергия всей этой системы явно зависит от времени. Поэтому к функции Лагранжа, определяющей движение этой системы, прибавляется её частная производная по времени:
Значение L находим из выражения
, а производная постоянной равна нулю 
Подставляем значения в выражение в итоге
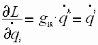
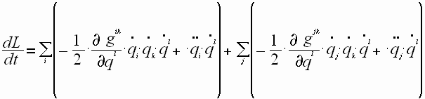
получаем: заменяя последнее слагаемое на выражение в итоге получим следующее: , где над первой скобкой идёт суммирование по i, а над второй – по j.Из уравнения движения выразим значение через Тогда общее уравнение движения примет вид: . Функция Лагранжа и её частные производные имеют вид: , , , 
Подставляем в наше уравнение

вынося множитель из-за скобок и для поднятия индекса умножаем всё выражение на . , и зная условие закона сохранения движения .
Тогда разделяя первые и вторые производные и произведя замену частных производных метрического тензора на символы Кристоффеля, (известно то, что в символах Кристоффеля и  меняя местами индексы m и i, в третьем и первом членах, в скобках, видим оба эти члена взаимно сокращаются, так что ). В нашем случае, проделаем обратную “операцию”, заменим частные производные метрического тензора на полновесные символы Кристоффеля.
на , далее вынося из под скобок вторые производные обобщённых координат
и сокращая на , в итоге получим
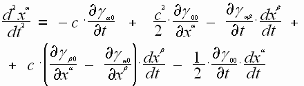
,
где ускорение частицы под воздействием стационарного искривления пространства-времени (скопление Масс Вещества),
дополнительное ускорение частицы под воздействием фактора изменения энергии в этом объёме пространства-времени.
- связность (символы Кристоффеля), определяющая искривленность пространства-времени под воздействием скопления Масс Вещества.
- связность – определяющая искривленность пространства-времени под воздействием фактора изменения энергии в этом объёме пространства-времени.
# 6. Здесь приводится пример, когда рассматривается свободная частица, движущаяся в поле тяготения, в котором она (частица) получает ускорение, проекции которого на координатные оси выражаются:

Это ускорение зависит, как мы видим, от местоположения частицы и от времени, а также от её скорости движения. Где:
- ускорение частицы (проекция ускорения на координатные оси),
- скорость движения частицы (проекция скорости на координатные оси), - изменение компонент метрического тензора по времени, - изменение компонент – по расстоянию.
В поле тяготения, которое не меняется со временем (стационарный случай), все частные производные метрического тензора по времени равны нулю, то выражение ускорения частицы примет вид: 
А если ещё поле тяготения имеет центральную симметрию, то есть его компоненты равны нулю, то ускорение движения частицы принимает классический вид: , где
- градиент поля тяготения.
# 7. Обратимся к распространению света в пустоте. Пусть - мировой волновой вектор, - Хронометрическая Инварианта циклической частоты. Тогда , , , . Имеем
(9)
(10)
Этот нерелятивисткий эффект аналогичен эффекту Допплера, вызываемому деформацией системы отсчёта. Ограничиваясь макроскопической метрикой, рассмотрим в направлениях, для которых в точке наблюдения , . Тогда из (9) найдём, что в каждом данном направлении величина в первом приближении пропорциональна расстоянию источника от точки наблюдения, причём для данного расстояния в любых двух противоположных направлениях полусумма величин даёт величину эффекта Допплера.
А. Л. Зельманов “Хронометрические инварианты и сопутствующие координаты в общей теории относительности” Доклады Академии Наук СССР , 1956, Том 107, № 6, с. 815.
Список литературы
П.К. Рашевский “Риманова геометрия и тензорный анализ”
Л.Д. Ландау и Е.М. Лившиц “Теория поля”
А. Л. Зельманов “Применение сопутствующих координат в нерелятивисткой механике” Доклады Академии Наук СССР , 1948, Том LXI, № 6, с. 993.
А. Л. Зельманов “Хронометрические инварианты и сопутствующие координаты в общей теории относительности” Доклады Академии Наук СССР , 1956, Том 107, № 6, с. 815.
У. Мизнер, К. Торн, Дж. Уилер “Гравитация”
В.И. Елисеев “Введение в методы теории функций пространственного комплексного переменного”
|