Министерство высшего и среднего специального образования Российской Федерации
Волгоградский государственный технический университет
Кафедра органической химии
КУРСОВАЯ РАБОТА
по теме: «Химия наследственности. Нуклеиновые кислоты. ДНК. РНК. Репликация ДНК и передача наследственной информации.»
Выполнил: студентка ХХХХХ
Группа ХХХХХХ
Проверил: ХХХХХХ
Волгоград - 2003
СОДЕРЖАНИЕ
| 1.ВВЕДЕНИЕ |
2 |
| 2.ПРОИСХОЖДЕНИЕ ЖИЗНИ |
3 |
| 2.1.Мир РНК как предшественник современной жизни |
4 |
| 2.2.Возникновение биосинтеза белка |
7 |
| 3.НУКЛЕИНОВЫЕ КИСЛОТЫ |
10 |
| 3.1.Состав нуклеиновых кислот |
10 |
| 3.2.Значение нуклеиновых кислот |
12 |
| 4.ДНК |
13 |
| 4.1.Состав ДНК |
13 |
| 4.2.Макромолекулярная структура ДНК |
14 |
| 4.3.Выделение дезоксирибонуклеиновых кислот |
15 |
| 4.4.Фракционирование |
16 |
| 4.5.Функции ДНК |
17 |
| 5.РНК |
18 |
| 5.1.Состав РНК |
18 |
| 5.2.Макромолекулярная структура РНК |
18 |
| 5.3.Мультифункциональность РНК |
20 |
| 5.4.Выделение рибонуклеиновых кислот |
21 |
| 5.5.Фракционирование |
22 |
| 6.ПРИРОДА МЕЖНУКЛЕОТИДНЫХ СВЯЗЕЙ |
25 |
| 6.1.Межнуклеотидная связь в ДНК |
26 |
| 6.2.Межнуклеотидная связь в РНК |
28 |
| 7.МАТРИЧНЫЙ СИНТЕЗ ДНК |
30 |
| 7.1.ДНК-полимеразы |
31 |
| 7.2.Точность синтеза ДНК и механизм коррекции |
31 |
| 8.ОСНОВНЫЕ ПРИНЦИПЫ РЕПЛИКАЦИИ |
33 |
| 8.1.Инициация цепей ДНК |
33 |
| 8.2.Расплетение двойной спирали ДНК |
34 |
| 8.3.Прерывистый синтез ДНК |
35 |
| 8.4.Кооперативное действие белков репликационной вилки |
36 |
| 8.5.Согласованность процессов репликации ДНК и клеточного деления |
36 |
| 9.ЗАКЛЮЧЕНИЕ |
38 |
| 10.СПИСОК ЛИТЕРАТУРЫ |
39 |
1. ВВЕДЕНИЕ
Мы рождаемся, взрослеем, у нас появляются дети и внуки. Мы ни одни живые существа на этой планете, вокруг нас ежечасно, ежесекундно происходит зарождение новой жизни. Этот процесс не прерывается никогда. Наши соседи по планете – это миллиарды живых существ: растения, животные, микроорганизмы, вирусы. Нас радует цветущий вишневый сад и шорох желтеющей, отмирающей листвы под ногами, умиротворяет выпрыгивающие из воды дельфины и прыгающая белка – летяга. Все мы когда - либо болели гриппом, краснухой и эти болезни вызваны нахождением в нашем организме болезнетворных микробов и вирусов, а это тоже живые организмы. Как редко мы задумываемся, откуда такое разнообразие жизни, и ее форм, так не похожих друг на друга! А между тем все живые организмы состоят из одних и тех же химических элементов, объединенных в макромолекы, такие как белки. Только у различных живых существ белки различны по своей структуре. Но почему клетки определенного организма синтезируют только свойственные им белки? Как происходит механизм передачи наследственной информации, а главное – где она хранится? Все эти вопросы перетекают в еще более важный, интересный и глобальный: жизнь – как она появилась на этой планете и как происходит ее воспроизведение? Это вопросы, на которые я постараюсь найти ответы в этой работе.
2. ПРОИСХОЖДЕНИЕ ЖИЗНИ
Пожалуй, первая научная, хорошо продуманная теория происхождения жизни абиогенным путем была предложена биохимиком А.И. Опариным еще в 20-х годах прошлого века. Теория базировалась на представлении, что все начиналось с белков, и на возможности в определенных условиях спонтанного химического синтеза мономеров белков - аминокислот - и белковоподобных полимеров (полипептидов) абиогенным путем. Публикация теории стимулировала многочисленные эксперименты в ряде лабораторий мира, показавшие реальность такого синтеза в искусственных условиях. Теория быстро стала общепринятой и необыкновенно популярной.
Забиваем Сайты В ТОП КУВАЛДОЙ - Уникальные возможности от SeoHammer
Каждая ссылка анализируется по трем пакетам оценки: SEO, Трафик и SMM.
SeoHammer делает продвижение сайта прозрачным и простым занятием.
Ссылки, вечные ссылки, статьи, упоминания, пресс-релизы - используйте по максимуму потенциал SeoHammer для продвижения вашего сайта.
Что умеет делать SeoHammer
— Продвижение в один клик, интеллектуальный подбор запросов, покупка самых лучших ссылок с высокой степенью качества у лучших бирж ссылок.
— Регулярная проверка качества ссылок по более чем 100 показателям и ежедневный пересчет показателей качества проекта.
— Все известные форматы ссылок: арендные ссылки, вечные ссылки, публикации (упоминания, мнения, отзывы, статьи, пресс-релизы).
— SeoHammer покажет, где рост или падение, а также запросы, на которые нужно обратить внимание.
SeoHammer еще предоставляет технологию Буст, она ускоряет продвижение в десятки раз,
а первые результаты появляются уже в течение первых 7 дней.
Зарегистрироваться и Начать продвижение
Основным ее постулатом было то, что спонтанно возникавшие в первичном "бульоне" белковоподобные соединения объединялись в коацерватные капли
- обособленные коллоидные системы, плавающие в более разбавленном водном растворе. Это давало главную предпосылку возникновения организмов - обособление некой биохимической системы от окружающей среды, ее компартментализацию. Так как некоторые белковоподобные соединения коацерватных капель могли обладать каталитической активностью, то появлялась возможность прохождения биохимических реакций синтеза внутри капель - возникало подобие ассимиляции, а значит, роста коацервата с последующим его распадом на части - размножением. Ассимилирующий, растущий и размножающийся делением коацерват рассматривался как прообраз живой клетки (рис. 1)
Все было хорошо продумано и научно обосновано в теории, кроме одной проблемы, на которую долго закрывали глаза почти все специалисты в области происхождения жизни. Если спонтанно, путем случайных безматричных синтезов в коацервате возникали единичные удачные конструкции белковых молекул (например, эффективные катализаторы, обеспечивающие преимущество данному коацервату в росте и размножении), то как они могли копироваться для распространения внутри коацервата, а тем более для передачи коацерватам-потомкам? Теория оказалась неспособной предложить решение проблемы точного воспроизведения - внутри коацервата и в поколениях - единичных, случайно появившихся эффективных белковых структур.

Рис. 1.
Схематическое представление пути происхождения жизни согласно белково - коацерватной теории А.И. Опарина
2.1. Мир РНК как предшественник современной жизни
Накопление знаний о генетическом коде, нуклеиновых кислотах и биосинтезе белков привело к утверждению принципиально новой идеи о том, что все начиналось вовсе не с белков, а с РНК. Нуклеиновые кислоты являются единственным типом биологических полимеров, макромолекулярная структура которых, благодаря принципу комплементарности при синтезе новых цепей, обеспечивает возможность копирования собственной линейной последовательности мономерных звеньев, другими словами, возможность воспроизведения (репликации) полимера, его микроструктуры. Поэтому только нуклеиновые кислоты, но не белки, могут быть генетическим материалом, то есть воспроизводимыми молекулами, повторяющими свою специфическую микроструктуру в поколениях.
Сервис онлайн-записи на собственном Telegram-боте
Попробуйте сервис онлайн-записи VisitTime на основе вашего собственного Telegram-бота:
— Разгрузит мастера, специалиста или компанию;
— Позволит гибко управлять расписанием и загрузкой;
— Разошлет оповещения о новых услугах или акциях;
— Позволит принять оплату на карту/кошелек/счет;
— Позволит записываться на групповые и персональные посещения;
— Поможет получить от клиента отзывы о визите к вам;
— Включает в себя сервис чаевых.
Для новых пользователей первый месяц бесплатно.
Зарегистрироваться в сервисе
По ряду соображений именно РНК, а не ДНК, могла представлять собой первичный генетический материал.
Во-первых,
и в химическом синтезе, и в биохимических реакциях рибонуклеотиды предшествуют дезоксирибонуклеотидам; дезоксирибонуклеотиды - продукты модификации рибонуклеотидов.
Во-вторых,
в самых древних, универсальных процессах жизненного метаболизма широко представлены именно рибонуклеотиды, а не дезоксирибонуклеотиды, включая основные энергетические носители типа рибонуклеозид-полифосфатов (АТФ и т.п.).
В-третьих,
репликация РНК может происходить без какого бы то ни было участия ДНК, а механизм редупликации ДНК даже в современном живом мире требует обязательного участия РНК-затравки в инициации синтеза цепи ДНК.
В-четвертых,
обладая всеми теми же матричными и генетическими функциями, что и ДНК, РНК способна также к выполнению ряда функций, присущих белкам, включая катализ химических реакций. Таким образом, имеются все основания рассматривать ДНК как более позднее эволюционное приобретение - как модификацию РНК, специализированную для выполнения функции воспроизведения и хранения уникальных копий генов в составе клеточного генома без непосредственного участия в биосинтезе белков.
После того как были открыты каталитически активные РНК, идея первичности РНК в происхождении жизни получила сильнейший толчок к развитию, и была сформулирована концепция самодостаточного мира РНК,
предшествовавшего современной жизни. Возможная схема возникновения мира РНК представлена на рис. 2.
 |
Рис. 2.
Схематическое представление пути происхождения жизни согласно современной концепции первичности мира РНК
|
Абиогенный синтез рибонуклеотидов и их ковалентное объединение в олигомеры и полимеры типа РНК могли происходить приблизительно в тех же условиях и в той же химической обстановке, что постулировались для образования аминокислот и полипептидов. Недавно А.Б. Четверин с сотрудниками (Институт белка РАН) экспериментально показали, что по крайней мере некоторые полирибонуклеотиды (РНК) в обычной водной среде способны к спонтанной рекомбинации, то есть обмену отрезками цепи, путем транс-эстерификации. Обмен коротких отрезков цепи на длинные, должен приводить к удлинению полирибонуклеотидов (РНК), а сама подобная рекомбинация способствовать структурному многообразию этих молекул. Среди них могли возникать и каталитически активные молекулы РНК.
Даже крайне редкое появление единичных молекул РНК, которые были способны катализировать полимеризацию рибонуклеотидов или соединение (сплайсинг) олигонуклеотидов на комплементарной цепи как на матрице, означало становление механизма репликации РНК. Репликация самих РНК-катализаторов (рибозимов) должна была повлечь за собой возникновение самореплицирующихся популяций РНК. Продуцируя свои копии, РНК размножались. Неизбежные ошибки в копировании (мутации) и рекомбинации в самореплицирующихся популяциях РНК создавали все большее разнообразие этого мира. Таким образом, предполагаемый древний мир РНК - это "самодостаточный биологический мир, в котором молекулы РНК функционировали и как генетический материал, и как энзимоподобные катализаторы".
2.2. Возникновение биосинтеза белка
Далее на основе мира РНК должно было происходить становление механизмов биосинтеза белка, появление разнообразных белков с наследуемой структурой и свойствами, компартментализация систем биосинтеза белка и белковых наборов, возможно, в форме коацерватов и эволюция последних в клеточные структуры - живые клетки.
Проблема перехода от древнего мира РНК к современному белок-синтезирующему миру - наиболее трудная даже для чисто теоретического решения. Возможность абиогенного синтеза полипептидов и белковоподобных веществ не помогает в решении проблемы, так как не просматривается никакого конкретного пути, как этот синтез мог бы быть сопряжен с РНК и подпасть под генетический контроль. Генетически контролируемый синтез полипептидов и белков должен был развиваться независимо от первичного абиогенного синтеза, своим путем, на базе уже существовавшего мира РНК. В литературе предложено несколько гипотез происхождения современного механизма биосинтеза белка в мире РНК, но, пожалуй, ни одна из них не может рассматриваться как детально продуманная и безупречная с точки зрения физико-химических возможностей. Представленная ниже версия наиболее точно отражает процесса эволюции и специализации РНК, ведущего к возникновению аппарата биосинтеза белка (рис. 3), но и она не претендует на законченность.
Предлагаемая гипотетическая схема содержит два существенных момента, кажущихся принципиальными.
1. Постулируется, что абиогенно синтезируемые олигорибонуклеотиды активно рекомбинировали посредством механизма спонтанной неэнзиматической трансэстерификации , приводя к образованию удлиненных цепей РНК и давая начало их многообразию. Именно этим путем в популяции олигонуклеотидов и полинуклеотидов и могли появиться как каталитически активные виды РНК (рибозимы), так и другие виды РНК со специализированными функциями (см. рис. 3)
. Более того, неэнзиматическая рекомбинация олигонуклеотидов, комплементарно связывающихся с полинуклеотидной матрицей, могла обеспечить сшивание (сплайсинг) фрагментов, комплементарных этой матрице, в единую цепь. Именно таким способом, а не катализируемой полимеризацией мононуклеотидов, могло осуществляться первичные копирование (размножение) РНК. Разумеется, если появлялись рибозимы, обладавшие полимеразной активностью, то эффективность (точность, скорость и продуктивность) копирования на комплементарной матрице должна была значительно возрастать.

Рис. 3.
Схема эволюции и специализации молекул РНК в процессе перехода от древнего мира РНК к современному миру генетически детерминированного биосинтеза белков
2. Первичный аппарат биосинтеза белка возник на базе нескольких видов специализированных РНК до появления аппарата энзиматической (полимеразной) репликации генетического материала - РНК и ДНК. Этот первичный аппарат включал:
- каталитически активную прорибосомную РНК, обладавшую пептидил-трансферазной активностью;
- набор про-тРНК, специфически связывающих аминокислоты или короткие пептиды;
- другую прорибосомную РНК, способную взаимодействовать одновременно с каталитической прорибосомной РНК, про-мРНК и про-тРНК (см. рис. 3).
Такая система уже могла синтезировать полипептидные цепи. Среди прочих каталитически активных белков - первичных ферментов (энзимов) - появились и белки, катализирующие полимеризацию нуклеотидов - репликазы, или НК-полимеразы.
Впрочем, возможно, что гипотеза о древнем мире РНК как предшественнике современного живого мира так и не сможет получить достаточного обоснования для преодоления основной трудности - научно правдоподобного описания механизма перехода от РНК и ее репликации к биосинтезу белка. Имеется привлекательная и детально продуманная альтернативная гипотеза А.Д. Альтштейна (Институт биологии гена РАН), в которой постулируется, что репликация генетического материала и его трансляция - синтез белка - возникали и эволюционировали одновременно и сопряжено, начиная с взаимодействия абиогенно синтезирующихся олигонуклеотидов и аминоацил-нуклеотидилатов - смешанных ангидридов аминокислот и нуклеотидов. Но это уже следующая сказка... ("И Шахразаду застигло утро, и она прекратила дозволенные речи"
.)
3. НУКЛЕИНОВЫЕ КИСЛОТЫ
3.1. Состав нуклеиновых кислот
Нуклеиновые кислоты
- это биополимеры, макромолекулы которых состоят из многократно повторяющихся звеньев - нуклеотидов. Поэтому их называют также полинуклеотидами. Важнейшей характеристикой нуклеиновых кислот является их нуклеотидный состав. В состав нуклеотида
- структурного звена нуклеиновых кислот - входят три составные части:
· азотистое основание - пиримидиновое или пуриновое. В нуклеиновых кислотах содержатся основания 4-х разных видов: два из них относятся к классу пуринов и два – к классу пиримидинов. Азот, содержащийся в кольцах, придает молекулам основные свойства.
· моносахарид - рибоза или 2-дезоксирибоза. Сахар, входящий в состав нуклеотида, содержит пять углеродных атомов, т.е. представляет собой пентозу. В зависимости от вида пентозы, присутствующей в нуклеотиде, различают два вида нуклеиновых кислот – рибонуклеиновые кислоты (РНК), которые содержат рибозу, и дезоксирибонуклеиновые кислоты (ДНК), содержащие дизоксирибозу.
· остаток фосфорной кислоты. Нуклеиновые кислоты являются кислотами потому, что в их молекулах содержится фосфорная кислота.
Нуклеотид - фосфорный эфир нуклеозида. В состав нуклеозида входят два компонента: моносахарид (рибоза или дезоксирибоза) и азотистое основание.
В конце 40-х — начале 50-х годов, когда появились такие методы исследования, как хроматография на бумаге и УФ-спектроскопия, были проведены многочисленные исследования нуклеотидного состава НК (Чаргафф, А. Н. Белозерский). Полученные данные позволили решительно отбросить старые представления о нуклеиновых кислотах, как о полимерах, содержащих повторяющиеся тетрануклеотидные последовательности (так называемая тетрануклеотидная теория строения ПК, господствовавшая в 30—40-е годы), и подготовили почву для создания современных представлений не только о первичной структуре ДНК и РНК, но и об их макромолекулярной структуре и функциях.
Метод определения состава ПК основан на анализе гидролизатов, образующихся при их ферментативном или химическом расщеплении. Обычно используются три способа химического расщепления НК. Кислотный гидролиз в жестких условиях (70%-ная хлорная кислота, 100°С, 1ч или 100%-ная муравьиная кислота, 175 °C, 2 ч), применяемый для анализа как ДНК, так и РНК, приводит к разрыву всех N-гликозидных связей и образованию смеси пуриновых и пиримидиновых оснований. При исследовании РНК могут использоваться как мягкий кислотный гидролиз (1 н. соляная кислота, 1OO°C, 1 ч), в результате которого образуются пуриновые основания и пирамидиповые нуклеозид-2'(3')-фосфаты, так и щелочной гидролиз (0,3 н. едкий кали, 37 °С, 20 ч), дающий смесь нуклеозид -2' (3') -фосфатов.
Поскольку в НК число нуклеотидов каждого вида равно числу соответствующих оснований, для установления нуклеотидного состава данной НК достаточно определить количественное соотношение оснований. Для этой цели из гидролизатов с помощью хроматографии на бумаге или электрофореза (когда в результате гидролиза получают нуклеотиды) выделяют индивидуальные соединения. Каждое основание независимо от того, связано оно с углеводным фрагментом или нет, обладает характерным максимумом поглощения в УФ, интенсивность которого зависит от концентрации. По этой причине, исходя из УФ-спектров выделенных соединений, можно определить количественное соотношение оснований, а следовательно, и нуклеотидный состав исходной НК.
При количественном определении минорных нуклеотидов, особенно таких неустойчивых, как дигидроуридиловая кислота, пользуются ферментативными методами гидролиза (ФДЭ змеиного яда и селезенки).
Использование описанных выше аналитических приемов показало, что ПК различного происхождения состоят за редким исключением из четырех основных нуклеотидов и что содержание минорных нуклеотидов может меняться в значительных пределах.
Как будет показано далее, при изучении нуклеотидного состава ДНК были получены данные, которые помогли установить ее пространственную структуру.
3.2. Значение нуклеиновых кислот
Значение нуклеиновых кислот очень велико. Особенности их химического строения обеспечивают возможность хранения, переноса в цитоплазму и передачи по наследству дочерним клеткам информации о структуре белковых молекул, которые синтезируются в каждой клетке. Белки обусловливают большинство свойств и признаков клеток. Понятно поэтому, что стабильность структуры нуклеиновых кислот - важнейшее условие нормальной жизнедеятельности клеток и организма в целом. Любые изменения строения нуклеиновых кислот влекут за собой изменения структуры клеток или активности физиологических процессов в них, влияя таким образом на жизнеспособность.
Существует два типа нуклеиновых кислот: ДНК и РНК.
РНК (рибонуклеиновая кислота),
так же как ДНК, представляет собой полимер мономерами которого служат нуклеотиды. Азотистые основания те же самые, что входят в состав ДНК (аденин, гуанин, цетозин); четвертое - урацил - присутствует в молекуле РНК вместо тимина. Нуклеотиды РНК содержат вместо дизоксирибозы другую пентозу - рибозу.
4. ДНК
4.1. Состав ДНК
ДНК (дезоксирибонуклеиновая кислота)
- биологический полимер, состоящий из двух полинуклеотидных цепей, соединенных друг с другом. Мономеры, составляющие каждую из цепей ДНК, представляют собой сложные органические соединения, включающие одно из четырех азотистых оснований: аденин (А) или тимин (Т), цитозин (Ц) или гуанин (Г); пятиатомный сахар пентозу - дезоксирибозу, по имени которой получила название и сама ДНК, а также остаток фосфорной кислоты. Эти соединения носят название нуклеотидов. В каждой цепи нуклеотиды соединяются путем образования ковалентных связей между дезоксирибозой одного и остатком фосфорной кислоты последующего нуклеотида. Объединяются две цепи в одну молекулу при помощи водородных связей, возникающих между азотистыми основаниями, входящими в состав нуклеотидов, образующих разные цепи.
Исследуя нуклеотидный состав ДНК различного происхождения, Чаргафф обнаружил следующие закономерности.
1. Все ДНК независимо от их происхождения содержат одинаковое число пуриновых и пиримидиновых оснований. Следовательно, в любой ДНК на каждый пуриновый нуклеотид приходится один пиримидиновый.
2. Любая ДНК всегда содержит в равных количествах попарно аденин и тимин, гуанин и цитозин, что обычно обозначают как А=Т и G=C. Из этих закономерностей вытекает третья.
3. Количество оснований, содержащих аминогруппы в положении 4 пиримидинового ядра и 6 пуринового (цитозин и аденин), равно количеству оснований, содержащих оксо-группу в тех же положениях (гуанин и тимин), т. е. A+C=G+T. Эти закономерности получили название правил Чаргаффа. Наряду с этим было установлено, что для каждого типа ДНК суммарное содержание гуанина и цитозина не равно суммарному содержанию аденина и тимина, т. е. что (G+C)/(A+T), как правило, отличается от единицы (может быть как больше, так и меньше ее). По этому признаку различают два основных типа ДНК: А Т-тип с преимущественным содержанием аденина и тимина и G C-тип с преимущественным содержанием гуанина и цитозина.
Величину отношения содержания суммы гуанина и цитозина к сумме содержания аденина и тимина, характеризующую нуклеотидный состав данного вида ДНК, принято называть коэффициентом специфичности
. Каждая ДНК имеет характерный коэффициент специфичности, который может изменяться в пределах от 0,3 до 2,8. При подсчете коэффициента специфичности учитывается содержание минорных оснований, а также замены основных оснований их производными. Например, при подсчете коэффициента специфичности для ЭДНК зародышей пшеницы, в которой содержится 6% 5-метилцитозина, последний входит в сумму содержания гуанина (22,7%) и цитозина (16,8%). Смысл правил Чаргаффа для ДНК стал понятным после установления ее пространственной структуры.
4.2. Макромолекулярная структура ДНК
В 1953 г. Уотсон и Крик, опираясь на известные данные о конформаци нуклеозидных остатков, о характере межнуклеотидной связи в ДНК и закономерности нуклеотидного состава ДНК (правила Чаргаффа), расшифровали рентгенограммы паракристаллической формы ДНК [так называемой В-формы, образующейся при влажности выше 80% и при высокой концентрации противоионов (Li+) в образце]. Согласно их модели, молекула ДНК представляет собой правильную спираль, образованную двумя полидезоксирибонуклеотидными цепями, закрученными относительно друг друга и вокруг общей оси. Диаметр спирали практически постоянен вдоль всей ее длины и равен 1,8 нм (18 А).

Макромолекулярная структура ДНК.
(а)—Модель Уотсона — Крика;
(6)—параметры спиралей В-, С- и Т-форм ДНК (проекции перпендикулярно оси спирали);
(в)—поперечный разрез спирали ДНК в В-форме (заштрихованные прямоугольники изображают пары оснований);
(г)
—параметры спирали ДНК в А-форме;
(д)
—поперечный разрез спирали ДНК в А-форме.
Длина витка спирали, который соответствует ее периоду идентичности, составляет 3,37 нм (33,7 А). На один виток спирали приходится 10 остатков оснований в одной цепи. Расстояние между плоскостями оснований равно, таким образом, примерно 0,34 нм (3,4 А). Плоскости остатков оснований перпендикулярны длинной оси спирали. Плоскости углеводных остатков несколько отклоняются от этой оси (первоначально Уотсон и .Крик предположили, что они параллельны ей).
Из рисунка видно, что углеводофосфатный остов молекулы обращен наружу. Спираль закручена таким образом, что на ее поверхности можно выделить две различные по размерам бороздки (их часто называют также желобками) — большую, шириной примерно 2,2 нм (22 А), и малую —шириной около 1,2 нм (12А). Спираль — правовращающая. Полидезоксирибонуклеотидные цепи в ней антипараллельны: это означает, что если мы будем двигаться вдоль длинной оси спирали от одного ее конца к другому, то в одной цепи мы будем проходить фосфодиэфирные связи в направлении 3'-5', а в другой — в направлении 5'-3'. Иными словами, на каждом из концов линейной молекулы ДНК расположены 5'-конец одной и 3'-конец другой цепи.
Регулярность спирали требует, чтобы против остатка пуринового основания в одной цепи находился остаток пиримидинового основания в другой цепи. Как уже подчеркивалось, это требование реализуется в виде принципа образования комплементарных пар оснований, т. е. остаткам аденина и гуанина в одной цепи соответствуют остатки тимина и цитозина в другой цепи (и наоборот).
Таким образом, последовательность нуклеотидов в одной цепи молекулы ДНК предопределяет нуклеотидную последовательность другой цепи.
Этот принцип является главным следствием модели Уотсона и Крика, поскольку он в удивительно простых химических терминах объясняет основное функциональное назначение ДНК — быть хранителем генетической информации.
Заканчивая рассмотрение модели Уотсона и Крика, остается добавить, что соседние пары остатков оснований в ДНК, находящейся в В-форме, повернуты друг относительно друга на 36° (угол между прямыми, соединяющими атомы С1
' в соседних комплементарных парах).
4.3. Выделение дезоксирибонуклеиновых кислот
Живые клетки, за исключением сперматозоидов, в норме содержат значительно больше рибонуклеиновой, чем дезоксирибонуклеиновой кислоты. На методы выделения дезоксирибонуклеиновых кислот оказало большое влияние то обстоятельство, что, тогда как рибонуклеопротеиды и рибонуклеиновые кислоты растворимы в разбавленном (0,15 М) растворе хлористого натрия, дезоксирибонуклеопротеидные комплексы фактически в нем нерастворимы. Поэтому гомогенизированный орган или организм тщательно промывают разбавленным солевым раствором, из остатка с помощью крепкого солевого раствора экстрагируют дезоксирибонуклеиновую кислоту, которую осаждают затем добавлением этанола. С другой стороны, элюирование того же остатка водой дает раствор, из которого при добавлении соли выпадает дезоксирибонуклеопротеид. Расщепление нуклеопротеида, который в основном представляет собой солеподобный комплекс между полиосновными и поликислотными электролитами, легко достигается растворением в крепком солевом растворе или обработкой тиоцианатом калия. Большую часть белка можно удалить либо добавлением этанола, либо эмульгированием с помощью хлороформа и амилового спирта (белок образует с хлороформом гель). Широко применялась также обработка детергентами. Позднее дезоксирибонуклеиновые кислоты выделяли с помощью экстракции водными n-аминосалицилат — фенольными растворами. При использовании этого метода были получены препараты дезоксирибонуклеиновой кислоты, из которых одни содержали остаточный белок, тогда как другие были фактически свободны от белка, что указывает на то, что характер связи белок — нуклеиновая кислота различен в различных тканях. Удобная модификация состоит в гомогенизировании животной ткани в 0,15 М растворе фенолфталеиндифосфата с последующим добавлением фенола для осаждения ДНК (свободной от РНК) с хорошим выходом.
Дезоксирибонуклеиновые кислоты, каким бы способом они не выделялись, представляют собой смеси полимеров различного молекулярного веса, за исключением образцов, полученных из некоторых видов бактериофагов.
4.4. Фракционирование
Ранний метод разделения заключался в фракционной диссоциации гелей дезоксирибонуклеопротеида (например, нуклеогистона) посредством экстракции водными растворами хлористого натрия увеличивающейся молярности. Таким путем препараты дезоксирибонуклеиновой кислоты были разделены на ряд фракций, характеризующихся различным отношением содержания аденина с тимином к сумме гуанина с цитозином, причем более легко выделялись фракции, обогащенные гуанином и цитозином. Сходные результаты были получены при хроматографическом отделении дезоксирибонуклеиновой кислоты от гистона, адсорбированного на кизельгуре, с применением градиентного элюирования растворами хлористого натрия. В улучшенном варианте этого метода очищенные фракции гистона сочетались с n-аминобензилцеллюлозой с образованием диазомостиков от тирозиновых и гистидиновых групп белка. Описано также фракционирование нуклеиновых кислот на метилированном сывороточном альбумине (с кизельгуром в качестве носителя). Скорость элюирования с колонки солевыми растворами увеличивающейся концентрации зависит от молекулярного веса, состава (нуклеиновые кислоты с высоким содержанием гуанина с цитозином элюируются легче) и вторичной структуры (денатурированная ДНК прочнее удерживается колонкой, чем нативная). Таким способом из ДНК морского краба Cancer borealis выделен природный компонент — полидезоксиадениловая-тимидиловая кислота. Фракционирование дезоксирибонуклеиновых кислот проводилось также посредством градиентного элюирования с колонки, наполненной фосфатом кальция.
4.5. Функции ДНК
В молекуле ДНК с помощью биологического кода зашифрована последовательность аминокислот в пептидах. Каждая аминокислота кодируется сочетанием трех нуклеотидов, в этом случае образуется 64 триплета, из которых 61 кодируют аминокислоты, а 3 являются бессмысленными и выполняют функцию знаков препинания (АТТ, АЦТ, АТЦ). Шифрование одной аминокислоты несколькими триплетами получило название как вырожденность триплетного кода
. Важными свойствами генетического кода является его специфичность (каждый триплет способен кодировать только одну аминокислоту), универсальность (свидетельствует о единстве происхождения всего живого на Земле) и неперекрываемость кодонов при считывании.
ДНК выполняет следующие функции:
- хранение
наследственной информации происходит с помощью гистонов. Молекула ДНК сворачивается, образуя вначале нуклеосому, а после гетерохроматин, из которого состоят хромосомы;
- передача
наследственного материала происходит путем репликации ДНК;
- реализация
наследственной информации в процессе синтеза белка.
5. РНК
5.1. Состав РНК
Первые сведения о нуклеотидном составе РНК относились к препаратам, представляющим собой смеси клеточных РНК (рибосомных, информационных и транспортных) и называемым обычно суммарной фракцией РНК. Правила Чаргаффа в этом случае не соблюдаются, хотя определенное соответствие между содержанием гуанина и цитозина, а также аденина и урацила все же имеет место.
Данные, полученные в последние годы при анализе индивидуальных РНК, показывают, что и на них правила Чаргаффа не распространяются. Однако различия в содержании аденина и урацила, а также гуанина и цитозина для большинства РНК невелики и что, следовательно, тенденция к выполнению указанных правил все же наблюдается. Этот факт объясняется особенностями макроструктуры РНК.
Характерными структурными элементами некоторых РНК являются минорные основания. Соответствующие им нуклеотидные остатки обычно входят в состав транспортных и некоторых других РНК в очень небольших количествах, поэтому определение полного нуклеотидного состава таких РНК представляет собой иногда весьма сложную задачу.
5.2. Макромолекулярная структура РНК
Химически РНК очень похожа на ДНК. Оба вещества - это линейные полимеры нуклеотидов. Каждый мономер - нуклеотид - представляет собой фосфорилированный N-гликозид, построенный из остатка пятиуглеродного сахара - пентозы, несущего фосфатную группу на гидроксильной группе пятого углеродного атома (сложноэфирная связь) и азотистое основание при первом углеродном атоме (N-гликозидная связь). Главное химическое различие между ДНК и РНК состоит в том, что сахарный остаток мономера РНК - это рибоза, а мономера ДНК - дезоксирибоза, являющаяся производным рибозы, в котором отсутствует гидроксильная группа при втором углеродном атоме (рис. 4).

Рис.4.
Химические формулы остатков одного из рибонуклеотидов – уридиловой кислоты (U) и гомологичного ему дезоксирибонуклеотида тимидиловой кислоты (dT)
Азотистых оснований в РНК четыре вида: два пуриновых - аденин (А) и гуанин (G) -и два пиримидиновых - цитозин (С) и урацил (U)
Мономеры - рибонуклеотиды РНК - образуют полимерную цепь посредством формирования фосфодиэфирных мостиков между сахарными остатками (между пятым и третьим атомами углерода пентозы). Таким образом, полимерная цепь РНК может быть представлена как линейный сахаро-фосфатный остов с азотистыми основаниями в качестве боковых групп.
Впервые специфическая пространственная структура РНК была продемонстрирована при расшифровке атомной структуры одной из т-РНК в 1974 г. (рис. 5).
Сворачивание полимерной цепи тРНК, состоящей из 76 нуклеотидных мономеров, приводит к формированию очень компактного глобулярного ядра, из которого под прямым углом торчат два выступа. Они представляют собой короткие двойные спирали по типу ДНК, но организованные за счет взаимодействия участков одной и той же цепи РНК. Один из выступов является акцептором аминокислоты и участвует в синтезе полипептидной цепи белка на рибосоме, а другой предназначен для комплементарного взаимодействия с кодирующим триплетом (кодоном) м-РНК в той же рибосоме. Только такая структура способна специфически взаимодействовать с белком-ферментом, навешивающим аминокислоту на т-РНК, и с рибосомой в процессе трансляции, то есть специфически "узнаваться" ими.

Рис. 5.
Атомная (слева) и скелетная (справа) модели фенилаланиновой т-РНК дрожжей
Изучение изолированных рибосомных РНК дало следующий разительный пример формирования компактных специфических структур из еще более длинных линейных полимеров этого типа. Рибосома состоит из двух неравных частей - большой и малой рибосомных субчастиц (субъединиц). Каждая субчастица построена из одной высокополимерной РНК и целого ряда разнообразных рибосомных белков. Длина цепей рибосомных РНК весьма значительна: так, РНК малой субчастицы бактериальной рибосомы содержит более 1500 нуклеотидов, а РНК большой субчастицы - около 3000 нуклеотидов. У млекопитающих, включая человека, эти РНК еще больше - около 1900 нуклеотидов и более 5000 нуклеотидов в малой и большой субчастицах соответственно.
5.3. Мультифункциональность РНК
Суммирование и обзор знаний о функциях РНК позволяют говорить о необыкновенной многофункциональности этого полимера в живой природе. Можно дать следующий список основных известных функций РНК.
• Генетическая репликативная функция: структурная возможность копирования (репликации) линейных последовательностей нуклеотидов через комплементарные последовательности. Функция реализуется при вирусных инфекциях и аналогична главной функции ДНК в жизнедеятельности клеточных организмов - редупликации генетического материала.
• Кодирующая функция: программирование белкового синтеза линейными последовательностями нуклеотидов. Это та же функция, что и у ДНК. И в ДНК, и в РНК одни и те же триплеты нуклеотидов кодируют 20 аминокислот белков, и последовательность триплетов в цепи нуклеиновой кислоты есть программа для последовательной расстановки 20 видов аминокислот в полипептидной цепи белка.
• Структурообразующая функция: формирование уникальных трехмерных структур. Компактно свернутые молекулы малых РНК принципиально подобны трехмерным структурам глобулярных белков, а более длинные молекулы РНК могут образовывать и более крупные биологические частицы или их ядра.
• Функция узнавания: высокоспецифические пространственные взаимодействия с другими макромолекулами (в том числе белками и другими РНК) и с малыми лигандами. Эта функция, пожалуй, главная у белков. Она основана на способности полимера сворачиваться уникальным образом и формировать специфические трехмерные структуры. Функция узнавания является базой специфического катализа.
• Каталитическая функция: специфический катализ химических реакций рибозимами. Данная функция аналогична энзиматической функции белков-ферментов.
В целом РНК предстает перед нами столь удивительным полимером, что, казалось бы, ни времени эволюции Вселенной, ни интеллекта Творца не должно было бы хватить на ее изобретение. Как можно было видеть, РНК способна выполнять функции обоих принципиально важных для жизни полимеров - ДНК и белков. Неудивительно, что перед наукой и встал вопрос: а не могло ли возникновение и самодостаточное существование мира РНК предшествовать появлению жизни в ее современной ДНК-белковой форме?
5.4. Выделение рибонуклеиновых кислот
Методы, используемые для экстракции рибонуклеиновых кислот, частично зависят от природы органа или организма. В одном из ранних методов, использованном Левиным, к густому тесту из дрожжей добавляли щелочь, смесь перемешивали с пикриновой кислотой, фильтровали и нуклеиновую кислоту осаждали из фильтрата добавлением соляной кислоты. Такая довольно жесткая обработка приводила к тому, что полученная нуклеиновая кислота значительно отличалась от «нативной» рибонуклеиновой кислоты. Для выделения рибонуклеиновых кислот, приближающихся по структуре к нуклеиновым кислотам живой клетки, необходимо избегать применения жестких условий (рН, температура) в то же время необходимо, насколько возможно, затормозить ферментативный распад. Широко применялась экстракция рибонуклеопротеидов изотоническим раствором хлористого натрия. Белки от нуклеиновых кислот могут быть отщеплены различными методами, такими, как обработка смесями хлороформа с октиловым спиртом, додецилсульфатом натрия, нитратом стронция или спиртом, а также расщепление белковой фракции трипсином. И снова эффективность каждого метода определяется природой рибонуклеопротеида. Для инактивации ферментов в процессе экстракции полезно применение хлоргидрата гуанидина (денатурирующего агента); для выделения рибонуклеиновых кислот и нативных рибонуклеопротеидов из дрожжей был применен метод, использующий адсорбцию рибонуклеаз на бентоните после предварительной обработки ионами цинка.
Особые преимущества имеет выделение рибонуклеиновых кислот из гомогенатов тканей млекопитающих, микроорганизмов и вирусов экстракцией фенолом и водой при комнатной температуре, так как при этом белки и дезоксирибонуклеиновые кислоты выпадают в осадок, активность рибонуклеазы подавляется и высокополимерные продукты могут быть получены с хорошими выходами. Прямая экстракция дрожжей водным раствором фенола была применена для препаративного получения транспортных РНК.
5.5. Фракционирование
Помимо ряда вирусных нуклеиновых кислот, большинство выделенных полирибонуклеотидов, бесспорно, представляют собой сложные смеси, содержащие полимеры с различной длиной цепи, нуклеотидной последовательностью и составом оснований (присутствие или отсутствие «минорных» оснований). Существует ряд приемов для частичного фракционирования, однако, пока не разработаны удовлетворительные методы характеристики, трудно определить степень чистоты или гомогенности рибонуклеиновых кислот. В основу оценки чистоты транспортных РНК, этих сравнительно низкомолекулярных полирибонуклеотидов, может быть положена их ферментативная реакция с аминокислотами (через аминоациладенилаты), что, конечно, позволяет оценить и их биохимическую однородность.
Методы фракционирования включают осаждение нейтральными солями, электрофорез, хроматографию на фосфате кальция и осаждение днгидрострептомицином. Недавно для фракционирования рибонуклеиновых кислот была использована фракционная диссоциация комплексов нуклеиновая кислота — гистон, примененная ранее к дезоксинуклеиновым кислотам. Во всех фракциях отношение 6-амино- к 6-кетонуклеозидам было близко к единице. В некоторой степени фракционирование происходит при экстракции фенолом, возможно как результат дифференциального связывания нуклеиновых кислот с белками. Анионообменные целлюлозы, такие как ЭКТЕОЛА и ДЭАЭ, широко применяются в настоящее время для фракционирования не только рибонуклеиновых кислот, включая специфичные для аминокислот транспортные РНК, но и рибонуклеопротеидов и даже вирусных препаратов. Для элюирования обычно используют растворы нейтральных или близких к нейтральным солеи. Поразительной особенностью метода является способность этих ионообменников к разделению очень широкого спектра веществ, начиная от изомеров мононуклеотидов и олигонуклеотидов с различной длиной цепи или различного состава и кончая полинуклеотидами чрезвычайно высокого молекулярного веса. Опубликовано сообщение о разделении на колонках из ДЭАЭ-декстрана РНК, меченной валином, от немеченой акцепторной РНК. Для фракционирования рибонуклеиновых кислот были также применены модифицированные ионообменные целлюлозы, в которых к целлюлозе с помощью эпихлоргидрина присоединены нуклеозиды (вместо триэтаноламина), особенно аденозин и гуанозин. Подобное использование ЭКТЕОЛА-целлюлозы для фракционирования или выделения информационной РНК, связанной в данный момент с ДНК, основано на способности к специфическому образованию водородных связей: ЭКТЕОЛА связывает денатурированную ДНК данного организма (для элюирования ДНК необходим растворитель чрезвычайно высокой ионной силы), а информационная РНК элюируется растворами понижающейся ионной силы. Посредством хроматографии на трет-аминоалкилированном крахмале транспортная рибонуклеиновая кислота была разделена на фракции на основании повышенного сродства к тирозину и лейцину. Хроматография на оксиапатите дает хорошее разделение рибонуклеиновых кислот, специфичных для валина и фенилаланина.
В другом методе, имеющем значительную потенциальную ценность, используется поперечно сшитый полидиазостирол, полученный в результате реакции полиаминостирола с азотистой кислотой; метод основан на наблюдениях, что соединения дназония легко реагируют с некоторыми аминокислотами с образованием ковалентно связанных производных. В пределах рН от 7 до 8,5 быстро реагируют только тирозин и гистидин. Препараты транспортных РНК, полностью этерифицированные аминокислотами, встряхивали с нерастворимым полидиазостиролом, который реагировал только с нуклеиновыми кислотами, меченными тирозином и гистидином.

Дальнейшая очистка достигалась повторной этерификацией тирозином при использовании очищенного тирозин-активнрующего фермента и повторной обработкой полидиазостиролом. С неэтерифицированной специфичной к гистидину рибонуклеиновой кислотой реакции не происходило, и она оставалась в растворе, в то время как специфичная к тирозину нуклеиновая кислота освобождалась, как и прежде, при обработке щелочью в мягких условиях. Обе фракции получены почти чистыми в отношении их аминокислотоакцепторной специфичности. Предварительные наблюдения показали, что специфичная к валину рибонуклеиновая кислота, вполне вероятно, может быть этерифицирована дипептидом тирозилвалином.
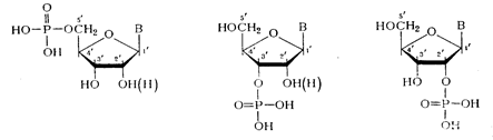
6. ПРИРОДА МЕЖНУКЛЕОТИДНЫХ СВЯЗЕЙ
Работы по определению способа соединения нуклеотидов в полимерных молекулах НК были успешно завершены в начале 50-х годов сразу после того, как была установлена структура нуклеотидов и изучены некоторые свойства их производных (главным образом эфиров). К этому же времени были разработаны методы выделения и очистки ДНК и РНК, так что исследование природы межмономерных связей проводилось с использованием чистых, хотя и сильно деградированных препаратов НК.
Первые сведения о типе межмономерной, или, как ее принято называть, межнуклеотидной связи были получены с помощью потенциометрического титрования. Эти сведения свидетельствовали о наличие как в РНК, так и в ДНК только одной гидроксильной группы у каждой фосфатной группы. На основании этого было сделано заключение, что НК содержит структурную единицу дизамещенной фосфорной кислоты.
Естественно было предположить, что фосфатные остатки «сшивают» нуклеозиды за счет двух своих гидроксилов, а один остается свободным. Оставалось выяснить, какие части нуклеозидных фрагментов участвуют в образовании связи с фосфатными группами.
Поскольку НК могут быть дезаминированы действием азотистой кислоты, очевидно, что аминогруппы пиримидиновых и пуриновых оснований не принимают участия в образовании межнуклеотидной связи. Помимо этого потенциометрическое титрование указывало, что и оксо(окси)-группы остатков гуанина и урацила, входящих в состав НК, свободны. На основании этих данных было сделано заключение о том, что межнуклеотидные связи образованы фосфатной группой и гидроксильными группами углеводных остатков (т. е. что они являются фосфодиэфирными), которые, следовательно, и являются ответственными за образование полимерной цепи (НК). Таким образом, то, что принято обычно называть межнуклеотидной связью, представляет собой по существу узел, включающий систему связей:

(где С — первичный или вторичный атомы углерода остатка углевода). При гидролизе ДНК и РНК в зависимости от условий реакции, образуются нуклеотиды с разным положением фосфатного остатка:

Если предположить, что в НК все межнуклеотидные связи идентичны, то, очевидно, что они могут включать помимо фосфатного остатка только З'-гидроксильную группу одного нуклеозидного звена и 5'-гидроксильную группу другого нуклеозидного звена (3'—
У-связь).
В случае же их неравноценности в полимерной цепи ДНК могли бы одновременно существовать три типа связей: 3'—5', 3'—3' и 5'—5'. Для РНК за счет участия 2/
-гидpoкcилыIoй группы число типов связи должно было быть еще больше.
Установить истинную природу межнуклеотидных связей в нативных ДНК и РНК удалось в результате направленного расщепления биополимеров с помощью химического и ферментативного гидролиза и последующего выделения и идентификации полученных при этом фрагментов.
6.1. Межнуклеотидная связь в ДНК
Химический гидролиз ДНК с целью установления природы межнуклеотидной связи оказался практически непригодным. ДНК не расщепляется при щелочных значениях рН, что хорошо согласуется с предположением о фосфодиэфирной природе межнуклеотидной связи. При обработке кислотой даже в мягких условиях ДНК расщепляется как по фосфодиэфирным, так и по N-гликозидным связям, образованным пуриновыми основаниями. Вследствие этого расщепление полимера протекает неоднозначно, но из продуктов кислотного гидролиза ДНК все же удалось выделить дифосфаты пиримидиновых дезоксинуклеозидов, которые оказались идентичными синтетическим 3',5'-дифосфатам дезоксицитидина и дезокситимидина:

Здесь же важно отметить, что наличие этих соединений в продуктах деградации ДНК указывает на участие обеих гидроксильных групп, по крайней мере пиримидиновых мономерных компонентов, в образовании межнуклеотидной связи.
Более специфическим оказалось ферментативное расщепление ДНК. При обработке препаратов ДНК фосфодиэстеразой (ФДЭ) змеиного яда полимер практически полностью гидролизуется до дезоксинуклеозид-5'-фосфатов, структура которых была установлена сравнением с соответствующими нуклеотидами, полученными встречным синтезом.

Эти данные свидетельствуют об участии 5'-гидроксильных групп всех четырех дезоксинуклеозидов, входящих в состав ДНК, в образовании межнуклеотидной связи. Аналогично, но до 3'-фосфатов дезоксинуклеозидов расщепляется ДНК в присутствии ФДЭ, выделенной из микрококков или из селезенки.

Из данных гидролиза ДНК фосфодиэстеразами различной специфичности становится очевидным, что связь нуклеозидных остатков в ДНК осуществляется фосфатной группой, которая одновременно этерифицирует гидроксильную группу у вторичного атома углерода (положение 3') одного нуклеозидного звена и гидроксильную группу у первичного атома углерода (положение 5') - другого нуклеотидного звена.
Таким образом, было убедительно доказано, что в ДНК межнуклеотидная связь осуществляется за счет фосфатной группы, а также 3'- и 5'-гидроксильных групп нуклеозидных остатков [(а) и (б) — направления расщепления полинуклеотидной цепи ДНК фосфодиэстеразами соответственно змеиного яда и селезенки или микрококков]:
 
Предположение о возможности иного строения полимера с регулярно перемежающимися связями нуклеозидных остатков по типу 3'—3' и 5'—5' было отвергнуто, так как оно не удовлетворяло всем экспериментальным данным. Так, полимер такого типа не должен был бы полностью гидролизоваться (до мономеров) в присутствии ФДЭ змеиного яда, избирательно расщепляющей только алкиловые эфиры нуклеозид-5' –фосфатов. То же можно сказать о ФДЭ селезенки, селективно гидролизирующей алкиловые эфиры нуклеозид-3'-фосфатов.
6.2. Межнуклеотидная связь в РНК
Более сложным оказался вопрос о природе межнуклеотидной связи в РНК. Уже на первых этапах изучения строения РНК был установлен факт чрезвычайной неустойчивости се при щелочном гидролизе. Основными продуктами щелочного гидролиза РНК являются рибонуклсозид-2'- и рибонуклеозид-З'-фосфаты, образующиеся практически в равных количествах.

Рибонуклеозид-5'-фосфаты при этом не образуются. Эти данные не укладывались в представления о фосфодиэфирной природе межнуклеотидной связи в РНК и требовали всестороннего изучения. Очень важную роль в таком исследовании, которое выполнили в начале 50-х гг. Тодд с сотрудниками, сыграли синтетические алкиловые эфиры рибонуклеотидов, которые были получены специально, чтобы промоделировать тот или иной тип фосфодиэфирной связи.
Полученные школой Тодда данные о механизмах превращения алкиловых эфиров рибонуклеотидов в щелочной среде позволили предположить, что в РНК, так же как и в ДНК, межнуклеотидная связь осуществляется фосфатной группой и 3'- и 5'-гидроксильными группами углеводных остатков. Подобная связь в РНК должна очень легко расщепляться в щелочной среде, так как соседняя 2'-гидроксильная группа должна катализировать этот процесс при рН>10, когда начинается ионизация гидроксильных групп рибозы. Очень важно подчеркнуть, что промежуточными соединениями при щелочном расщеплении должны быть все четыре рибонуклеозид-2',З'-циклофосфата, а конечными — образующиеся при их гидролизе рибонуклеозид-3'-фосфаты и рибонуклеозид-2'-фосфаты (четыре пары изомеров).
Данные щелочного гидролиза ограничили количество возможных для РНК типов межнуклеотидных связей, но не прояснили вопроса о том, как построен этот полимер.
Более точные сведения о типе межнуклеотидной связи в РНК, как и в случае ДНК, были получены с помощью ферментативного гидролиза.
Гидролиз РНК с использованием ФДЭ змеиного яда, протекающий до рибонуклеозид-5'-фосфатов, подтвердил уже прямым путем предположение об участии 5'-гидроксильных групп в образовании фосфодиэфирной связи между мономерными звеньями. Позднее это было окончательно установлено в результате открытия фосфоролиза РНК в присутствии фермента полинуклеотидфосфорилазы (ПНФаза), приводящего к образованию рибонуклеозид-5'-пирофосфатов:

Таким образом, оставалось выяснить природу второй гидроксильной группы, участвующей в образовании межнуклеотидной связи. Частично решить эту задачу помог еще один фермент, который использовался для направленного расщепления РНК, — пиримидиловая рибонуклеаза (РНаза).
Ранее было показано, что этот фермент расщепляет только алкиловые эфиры пиримидиновых рибонуклеозид-3'-фосфатов до рибонук-леозид-3'-фосфатов (через промежуточный рибонуклеозид-2',З'-циклофосфат). Оказалось, что аналогичным образом этот фермент действует и на РНК. В экспериментах с любыми образцами очищенной РНК было обнаружено, что количество фосфорной кислоты, которая образуется при обработке полимера последовательно пиримидиловой РНазой и фосфомоноэстеразой (ФМЭ), а также количество иодной кислоты, затрачиваемой на последующее окисление, эквивалентно количеству остатков пиримидинов в данном образце РНК. Это говорило в пользу того, что по крайней мере пиримидиновые нуклеотиды в РНК связаны с соседними нуклеотидами только посредством 3'—5'-межнук-леотидной связи. Этот вывод подтверждают данные щелочной обработки ферментативных гидролизатов РНК, полученных после действия на нее РНазы: в щелочной среде миграция фосфатного остатка в рибонуклеозид-З'- и -2'-фосфатах невозможна, и наличие в соответствующих гидролизатах только пиримидиновых рибонуклеозид-З'-фосфатов делает очевидным 3'—5'-тип межнуклеотидной связи для пиримидиновых нуклеотидов.
7. МАТРИЧНЫЙ СИНТЕЗ ДНК
Способность клеток поддерживать высокую упорядоченность своей организации зависит от генетической информации, которая сохраняется в форме дезоксирибонуклеиновой кислоты (ДНК). ДНК - это вещество, из которого состоят гены. Размножение живых организмов, передача наследственных свойств из поколения в поколение и развитие многоклеточного организма из оплодотворенной яйцеклетки возможны потому, что ДНК способна к самовоспроизведению. Сам процесс самовоспроизведения ДНК называется репликацией
. Иногда используют также название-синоним - редупликация
.
Как известно, генетическая информация записана в цепи ДНК в виде последовательности нуклеотидных остатков, содержащих одно из четырех гетероциклических оснований: аденин (A), гуанин (G), цитозин (C) и тимин (T). Предложенная Дж. Уотсоном и Ф. Криком в 1953 году модель строения ДНК в форме регулярной двойной спирали сразу же позволила понять принцип удвоения ДНК. Информационное содержание обеих цепей ДНК идентично, так как каждая из них содержит последовательность нуклеотидов, строго соответствующую последовательности другой цепи. Это соответствие достигается благодаря наличию водородных связей между направленными навстречу друг другу основаниями двух цепей - попарно G и C или A и T. Описывая это свойство двойной спирали, молекулярные биологи говорят, что цепи ДНК комплементарны за счет образования уотсон-криковских пар GРC и AРT.
Поскольку две цепи имеют противоположную направленность, их называют антипараллельными. Легко представить, что удвоение ДНК происходит вследствие того, что цепи расходятся, а потом каждая цепь служит матрицей, на которой собирается комплементарная ей новая цепь ДНК. В результате образуются две дочерние, двуспиральные, неотличимые по строению от родительской ДНК молекулы. Каждая из них состоит из одной цепи исходной родительской молекулы ДНК и одной вновь синтезированной цепи. Такой механизм репликации ДНК, при котором от одного поколения к другому передается одна из двух цепей, составляющих родительскую молекулу ДНК, получил название полуконсервативного
и был экспериментально доказан в 1958 году М. Мезельсоном и Ф. Сталь.
Кроме того, ситезу ДНК характерны такие свойства, как антипараллельность
и униполярность
. Каждая цепь ДНК имеет определенную ориентацию. Один конец несет гидроксильную группу (ОН), присоединенную к 3'-углероду в сахаре дезоксирибозе, на другом конце цепи находится остаток фосфорной кислоты в 5'-положении сахара. Две комплементарные цепи в молекуле ДНК ориентированы в противоположных направлениях - антипараллельно (при параллельной ориентации напротив 3'-конца одной цепи находился бы 3'-конец другой). Ферменты, синтезирующие новые нити ДНК, называемые ДНК-полимеразами, могут передвигаться вдоль матричных цепей лишь в одном направлении - от их 3'-концов к 5'-концам. При этом синтез комплементарных нитей всегда ведется в 5' 3' направлении, то есть униполярно. Поэтому в процессе репликации одновременный синтез новых цепей идет антипараллельно.
ДНК-полимеразы могут давать "задний ход", то есть двигаться в направлении 3' 5'. В том случае, когда последнее добавленное при синтезе нуклеотидное звено оказалось некомплементарным нуклеотиду матричной цепи, оно будет замещено комплементарным нуклеотидом. Отщепив "неправильный" нуклеотид, ДНК-полимераза продолжает синтез в 5' 3' направлении. Такая способность к исправлению ошибок получила название корректорской функции фермента
.
7.1. ДНК-полимеразы
В 1957 году А. Корнберг обнаружил у кишечной палочки фермент, катализирующий процесс полимеризации ДНК из нуклеотидов; он был назван ДНК-полимеразой. Затем ДНК-полимеразы выявили и в других организмах. Было показано, что субстратами всех этих ферментов служат дезоксирибонуклеозидтрифосфаты (дНТФ), полимеризующиеся на одноцепочной ДНК-матрице. ДНК-полимеразы последовательно наращивают одноцепочную цепь ДНК, шаг за шагом присоединяя к ней следующие звенья в направлении от 5-' к 3'-концу, причем выбор очередного дНТФ диктуется матрицей. Присоединение каждого нового нуклеотидного остатка к 3'-концу растущей цепи сопровождается гидролизом богатой энергией связи между первым и вторым фосфатными остатками в дНТФ и отщеплением пирофосфата, что делает реакцию в целом энергетически выгодной.
В клетках обычно присутствует несколько типов ДНК-полимераз, выполняющих различные функции и имеющих разное строение. Они могут быть построены из различного количества белковых цепей (субъединиц), от одной до десятков, однако все они работают на любых последовательностях нуклеотидов матрицы. Задача этих ферментов - сделать точную копию каждой матрицы.
7.2. Точность синтеза ДНК и механизм коррекции
Генетический материал живых организмов имеет огромные размеры и реплицируется с высокой точностью. В среднем в процессе воспроизведения генома млекопитающего, состоящего из ДНК длиной 3 миллиарда пар нуклеотидов, возникает не более трех ошибок. При этом ДНК синтезируется чрезвычайно быстро: скорость ее полимеризации колеблется в пределах от 500 нуклеотидов в секунду у бактерий, до 50 нуклеотидов в секунду у млекопитающих).
Высокая точность репликации, наряду с ее высокой скоростью, обеспечивается наличием специальных механизмов, осуществляющих коррекцию, то есть устраняющих ошибки. Суть механизма коррекции заключается в том, что ДНК-полимеразы дважды проверяют соответствие каждого нуклеотида матрице: один раз перед включением его в состав растущей цепи и второй раз перед тем, как включить следующий нуклеотид. Очередная фосфодиэфирная связь синтезируется лишь в том случае, если последний (3'-концевой) нуклеотид растущей цепи ДНК образовал правильную уотсон-криковскую пару с соответствующим нуклеотидом матрицы. Если же на предыдущей стадии реакции произошло ошибочное спаривание оснований, то дальнейшая полимеризация останавливается до тех пор, пока ошибка не будет исправлена. Для этого фермент перемещается в обратном направлении и вырезает последнее добавленное звено, после чего его место может занять правильный нуклеотидпредшественник. Иными словами, многие (но не все) ДНК-полимеразы обладают, помимо 5'-3'-синтетической активности, еще и 3'-гидролизующей активностью, которая обеспечивает удаление ошибочно спаренных с матрицей нуклеотидов.
8. ОСНОВНЫЕ ПРИНЦИПЫ РЕПЛИКАЦИИ
Основные правила, в соответствии с которыми происходит репликация, были выяснены в опытах с бактериями, однако они справедливы также и для высших организмов.
8.1. Инициация цепей ДНК
ДНК-полимеразы не могут начинать синтеза ДНК на матрице, а способны только добавлять новые дезоксирибонуклеотидные звенья к 3'-концу уже имеющейся полинуклеотидной цепи. Такую заранее образованную цепь, к которой добавляются нуклеотиды, называют затравкой
. Короткую РНК- затравку синтезирует из рибонуклеозидтрифосфатов фермент, не обладающий корректирующей активностью и называемый ДНК-праймазой (от англ. primer - затравка). Праймазная активность может принадлежать либо отдельному ферменту, либо одной из субъединиц ДНК-полимеразы. Затравка, синтезированная этим неточным ферментом, не умеющим исправлять ошибки, отличается от остальной новосинтезированной цепи ДНК, поскольку состоит из рибонуклеотидов, и далее может быть удалена.
Размер рибонуклеотидной затравки невелик (менее 20 нуклеотидов) в сравнении с размером цепи ДНК, образуемой ДНК-полимеразой. Выполнившая свою функцию РНК-затравка удаляется специальным ферментом, а образованная при этом брешь заделывается ДНК-полимеразой, использующей в качестве затравки 3'-ОН-конец соседнего фрагмента. Удаление крайних РНК-праймеров, комплементарных 3'-концам обеих цепей линейной материнской молекулы ДНК, приводит к тому, что дочерние цепи оказываются короче на 10-20 нуклеотидов (у разных видов размер РНК-затравок различен). В этом заключается так называемая "проблема недорепликации концов линейных молекул". В случае репликации кольцевых бактериальных ДНК этой проблемы не существует, так как первые по времени образованиЯ РНК-затравки удаляются ферментом, который одновременно заполняет образующуюся брешь путем наращивания 3'-ОН-конца растущей цепи ДНК, направленной в "хвост" удаляемому праймеру. Проблема недорепликации 3'-концов линейных молекул ДНК решается эукариотическими клетками с помощью специального фермента - теломеразы. В 1985 году он был обнаружен у равноресничной инфузории Tetrahymena thermophila, а впоследствии - в дрожжах, растениях и животных, в том числе в яичниках человека.
Теломераза является ДНК-полимеразой, достраивающей 3'-концы линейных молекул ДНК хромосом короткими (6-8 нуклеотидов) повторяющимися последовательностями (у позвоночных TTAGGG). Согласно номенклатуре, этот фермент называют ДНК- нуклеотидилэкзотрансферазой или теломерной терминальной трансферазой. Помимо белковой части теломераза содержит РНК, выполняющую роль матрицы для наращивания ДНК повторами. Длина теломеразной РНК колеблется от 150 нуклеотидов у простейших до 1400 нуклеотидов у дрожжей, у человека - 450 нуклеотидов. Сам факт наличия в молекуле РНК последовательности, по которой идет матричный синтез куска ДНК, позволяет отнести теломеразу к своеобразной обратной транскриптазе, то есть ферменту, способному вести синтез ДНК по матрице РНК.
В результате того что после каждой репликации дочерние цепи ДНК оказываются короче материнских на размер первого РНК-праймера (10-20 нуклеотидов), образуются выступающие однонитевые 3'-концы материнских цепей. Они-то и узнаются теломеразой, которая последовательно наращивает материнские цепи (у человека на сотни повторов), используя 3'-ОН-концы их в качестве затравок, а РНК, входящую в состав фермента, в качестве матрицы. Образующиеся длинные одноцепочные концы, в свою очередь, служат матрицами для синтеза дочерних цепей по традиционному репликативному механизму.
Постепенное укорочение ДНК хромосом во время репликации является одной из теорий "старения" клеточных колоний. Еще в 1971 году отечественный ученый А.М. Оловников в своей теории маргинотомии (от лат. marginalis -краевой, tome - сечение) предположил, что это явление лежит в основе ограниченного потенциала удвоения, наблюдаемого у нормальных соматических клеток. Американский ученый Леонард Хейфлик в начале 60-х годов показал, что если для культивирования взять клетки новорожденных детей, то они могут пройти 80-90 делений, в то время как соматические клетки от 70-летних делятся только 20- 30 раз. Ограничение на число клеточных делений и называют лимитом Хейфлика
.
8.2. Расплетение двойной спирали ДНК
Поскольку синтез ДНК происходит на одноцепочечной матрице, ему должно предшествовать обязательное разделение (хотя бы на время) двух цепей ДНК. Исследования, проведенные в начале 60-х годов на реплицирующихся хромосомах, выявили особую, четко ограниченную область репликации, перемещающуюся вдоль родительской спирали ДНК и характеризующуюся местным расхождением двух ее цепей. Эта активная область из-за своей Y-образной формы была названа репликационной вилкой. Именно в ней ДНК-полимеразы синтезируют дочерние молекулы ДНК.
С помощью электронной микроскопии реплицирующейся ДНК удалось установить, что область, которая уже реплицирована, имеет вид глазка внутри нереплицировавшейся ДНК. Важно отметить, что репликационный глазок образуется только в тех местах молекулы, где находятся специфические нуклеотидные последовательности. Эти последовательности, получившие название точек начала репликации
, состоят приблизительно из 300 нуклеотидов. В зависимости от того, в одном или в двух направлениях происходит репликация (а это зависит от природы организма), глазок содержит одну или две репликационные вилки. Последовательное движение репликационной вилки приводит к расширению глазка.
Двойная спираль ДНК весьма стабильна; для того чтобы она раскрылась, необходимы особые белки. Специальные ферменты ДНК-хеликазы быстро движутся по одиночной цепи ДНК, используя для перемещения энергию гидролиза ATФ. Встречая на пути участок двойной спирали, они разрывают водородные связи между основаниями, разделяют цепи и продвигают репликационную вилку. Вслед за этим с одиночными цепями ДНК связываются специальные дестабилизирующие спираль белки, которые не позволяют одиночным цепям ДНК сомкнуться. При этом они не закрывают оснований ДНК, оставляя их доступными для спаривания.
Не следует забывать, что комплементарные цепи ДНК закручены друг вокруг друга в спираль. Следовательно, для того чтобы репликационная вилка могла продвигаться вперед, вся еще не удвоенная часть ДНК должна была бы очень быстро вращаться. Эта топологическая проблема решается путем образования в спирали своего рода "шарниров", позволяющих цепям ДНК раскрутиться. Принадлежащие к особому классу белки, называемые ДНК-топоизомеразами, вносят в цепь ДНК одно- или двух- цепочные разрывы, позволяющие цепям ДНК разделиться, а затем заделывают эти разрывы. Топоизомеразы участвуют также в расцеплении зацепленных двухцепочечных колец, образующихся при репликации кольцевых двунитевых ДНК. С помощью этих важных ферментов двойная спираль ДНК в клетке может принимать "недокрученную" форму с меньшим числом витков; в такой ДНК легче происходит расхождение двух цепей ДНК в репликационной вилке.
8.3. Прерывистый синтез ДНК
Легко вообразить, что репликация происходит путем непрерывного роста нуклеотида за нуклеотидом обеих новых цепей по мере перемещения репликационной вилки; при этом, поскольку две цепи в спирали ДНК антипараллельны, одна из дочерних цепей должна была бы расти в направлении 5'-3', а другая в направлении 3'-5'. В действительности, однако, оказалось, что дочерние цепи растут только в направлении 5'-3', то есть всегда удлиняется 3'-конец затравки, а матрица считывается ДНК-полимеразой в направлении 3'-5'.Это утверждение на первый взгляд кажется несовместимым с движением репликационной вилки в одном направлении, сопровождающемся одновременным считыванием двух антипараллельных нитей.
Разгадка секрета заключается в том, что синтез ДНК происходит непрерывно только на одной из матричной цепей. На второй матричной цепи ДНК синтезируется сравнительно короткими фрагментами (длиной от 100до 1000 нуклеотидов, в зависимости от вида), названными по имени обнаружившего их ученого фрагментами Оказаки
. Вновь образованная цепь, которая синтезируется непрерывно, называется ведущей, а другая, собираемая из фрагментов Оказаки, отстающей. Синтез каждого из этих фрагментов начинается с РНК-затравки. Через некоторое время РНК-затравки удаляются, бреши застраиваются ДНК-полимеразой и фрагменты сшиваются в одну непрерывную цепь ДНК специальным ферментом.
8.4. Кооперативное действие белков репликационной вилки
До сих пор мы говорили об участии отдельных белков в репликации так, как будто бы они работают независимо друг от друга. Между тем в действительности большая часть этих белков объединена в крупный комплекс, который быстро движется вдоль ДНК и согласованно осуществляет процесс репликации с высокой точностью. Этот комплекс сравнивают с крошечной "швейной машиной": "деталями" его служат отдельные белки, а источником энергии - реакция гидролиза нуклеозидтрифосфатов. Спираль расплетается ДНК-хеликазой; этому процессу помогают ДНК - топоизомераза, раскручивающая цепи ДНК, и множество молекул дестабилизирующего белка, связывающихся с обеими одиночными цепями ДНК.
В области вилки действуют две ДНК-полимеразы - на ведущей и отстающей цепи. На ведущей цепи ДНК-полимераза работает непрерывно, а на отстающей фермент время от времени прерывает и вновь возобновляет свою работу, используя короткие РНК-затравки, синтезируемые ДНК-праймазой. Молекула ДНК-праймазы непосредственно связана с ДНК-хеликазой, образуя структуру, называемую праймосомой. Праймосома движется в направлении раскрывания репликационной вилки и по ходу движения синтезирует РНК-затравку для фрагментов Оказаки. В этом же направлении движется ДНК-полимераза ведущей цепи и, хотя на первый взгляд это трудно представить, ДНК-полимераза отстающей цепи. Для этого, как полагают, последняя накладывает цепь ДНК, которая служит ей матрицей, саму на себя, что и обеспечивает разворот ДНК-полимеразы отстающей цепи на 180 градусов. Согласованное движение двух ДНК-полимераз обеспечивает координированную репликацию обеих нитей. Таким образом, в репликационной вилке одновременно работают около двадцати разных белков (из которых мы назвали только часть), осуществляя сложный, высокоупорядоченный и энергоемкий процесс.
8.5. Согласованность процессов репликации ДНК и клеточного деления
Эукариотическая клетка перед каждым делением должна синтезировать копии всех своих хромосом. Репликация ДНК эукариотической хромосомы осуществляется посредством разделени хромосомы на множество отдельных репликонов. Такие репликоны активируются не все одновременно, однако клеточному делению должна предшествовать обязательная однократная репликация каждого из них.
Из сказанного ясно, что по хромосоме эукариот в каждый момент времени может двигаться независимо друг от друга множество репликационных вилок. Остановка продвижения вилки происходит только при столкновении с другой вилкой, движущейся в противоположном направлении, или по достижении конца хромосомы. В результате вся ДНК хромосомы в короткий срок оказывается реплицированной. После сборки на молекуле ДНК хромосомных белков каждая пара хромосом в процессе митоза упорядоченно разделяется по дочерним клеткам.
9. ЗАКЛЮЧЕНИЕ
В моей работе я пыталась разобраться в такой проблеме, как происхождение и продолжение жизни, и еще раз убедилась, что все нас окружающее – это результат соединения в различной последовательностью химических элементов. В процессе выполнения работы я все больше убеждалась, что невозможно познать и объяснить загадку происхождения жизни без знания органической химии. Неразрывно связана с химией и биология.
Почти полвека тому назад был открыт принцип структурной (молекулярной) организации генного вещества – дезоксирибонуклеиновой кислоты (ДНК). Структура ДНК дала ключ к механизму точного воспроизведения генного вещества. Так возникла новая наука – молекулярная биология. Была сформулирована так называемая центральная догма молекулярной биологии: ДНК – РНК – белок. Смысл ее состоит в том, что генетическая информация, записанная в ДНК, реализуется в виде белков, но не непосредственно, а через посредство родственного полимера – рибонуклеиновую кислоту (РНК), и этот путь от нуклеиновых кислот к белкам необратим. Таким образом, ДНК синтезируется на ДНК, обеспечивая собственное воспроизведение исходного генетического материала в поколениях; РНК синтезируется на ДНК, в результате чего происходит переписывание, или транскрипция, генетической информации в форму многочисленных копий РНК; молекулы РНК служат матрицами для синтеза белков – генетическая информация транслируется в форму полипептидных цепей. Итак, именно ДНК определяет наследственность организмов, то есть воспроизводящийся в поколениях набор белков и связанных с ними признаков. Биосинтез белка является центральным процессом живой материи, а нуклеиновые кислоты обеспечивают его, с одной стороны, программой, определяющей весь набор и специфику синтезируемых белков, а с другой – механизмом точного воспроизведения этой программы в поколениях. Следовательно, происхождение жизни в ее современной клеточной форме сводится к возникновению механизма наследуемого биосинтеза белков.
10. СПИСОК ЛИТЕРАТУРЫ
1. Н. Грин, У. Стаут, Д. Тейлор – Биология.
2. З.А. Шабарова и А.А. Богданов – Химия нуклеиновых кислот и их полимеров.
3. А.П. Пехов – Биология и общая гинетика.
4. А. Микельсон – Химия нуклеозидов и нуклеотидов.
5. Гауптман, Ю. Грефе, Х. Ремане – Органическая химия.
6. Опарин А.И. Возникновение жизни на Земле (3-е изд.).
7. Альтштейн А.Д. Происхождение генетической системы: гипотеза прогенов
8. Б.А.Павлов, А.П.Терентьев «Курс органической химии».
|