ПРЕОБРАЗОВАНИЯ
КООРДИНАТ И ПРОЕКЦИЙ
Задание 1:
спроектируйте вектор на оси, на плоскости
Задание 2: преобразовать
полярные и сферические координаты в прямоугольные.
A ( b, R ) à A (
x,y ) 
Z
X = R*… X
= R*… j
Y = R*… Y
= R*…
Y Z = R*…
b
Y
X
R l
X
Задание 3: преобразовать
относительные координаты в абсолютные
A (x1,y1) à
A(x,y) A(x1,y1) à
A(x,y)
Y Y1
L2
=X2+Y2 = X12+Y12
Y
dX X1
Y1 X1
dY L
X j X
X = dX +… X
= X1*…- Y1*… разница проекций
Y = Y1 +… Y = X1*…+Y1*… сумма проекций
Задание 4: спроектируйте тело на
плоскости проекций
Забиваем Сайты В ТОП КУВАЛДОЙ - Уникальные возможности от SeoHammer
Каждая ссылка анализируется по трем пакетам оценки:
SEO, Трафик и SMM.
SeoHammer делает продвижение сайта прозрачным и простым занятием.
Ссылки, вечные ссылки, статьи, упоминания, пресс-релизы - используйте по максимуму потенциал SeoHammer для продвижения вашего сайта.
Что умеет делать SeoHammer
— Продвижение в один клик, интеллектуальный подбор запросов, покупка самых лучших ссылок с высокой степенью качества у лучших бирж ссылок.
— Регулярная проверка качества ссылок по более чем 100 показателям и ежедневный пересчет показателей качества проекта.
— Все известные форматы ссылок: арендные ссылки, вечные ссылки, публикации (упоминания, мнения, отзывы, статьи, пресс-релизы).
— SeoHammer покажет, где рост или падение, а также запросы, на которые нужно обратить внимание.
SeoHammer еще предоставляет технологию
Буст, она ускоряет продвижение в десятки раз,
а первые результаты появляются уже в течение первых 7 дней.
Зарегистрироваться и Начать продвижение
П П Б
В В
П – вид спереди
В – вид сверху
Б – вид сбоку
В Е К Т О Р Н Ы Е П Р Е О Б Р А З О В А Н И Я
Примеры векторных преобразований:
Задание 1: суммируйте
одинаково направленные векторы геометрически.
Задание 2: Разложите
указанные векторы на их составляющие так, чтобы эти составляющие были бы
параллельны построенным вами векторам реакции опор.
ВЕКТОРНЫЕ И КООРДИНАТНЫЕ ПОСТРОЕНИЯ.
Задача1: Рыбак грёб на лодке против течения /Рис.1/.
Под первым мостом он обронил поплавок. Через 20 минут он обнаружил пропажу и
повернул лодку назад, чтобы догнать поплавок. Под вторым мостом он догнал этот
поплавок. Каково расстояние между мостами, если скорость течения реки равна 6
км/ч?
Задача 2: От порта А до порта В /Рис.2/ катер против
течения прошёл за 3 часа, обратный путь он преодолел за 2 часа. Скорость катера
постоянна. Сколько времени будет плыть от порта В до порта А плот?
Задача 3: Под каким углом к линии, перпендикулярной
скорости течения реки, должна плыть лодка /Рис.3/, чтобы двигаться по этой линии?
Какова будет скорость лодки относительно берега? Скорость лодки относительно
воды - 5 м/с, течения – 3 м/с.
Задача 4: На рисунке 4 изображен транспортёр. Описать
движение тела, имеющего скорость 10 м/с в начале пути, до полной его
остановки. Скорость ленты – 5 м/с. Коэффициент трения k = 0,4.
Задача 5: . На рисунке 5 – вид сверху на транспортёр.
Построить систему координат и описать движение в ней тела, имеющего скорость 10
м/с, до полной остановки этого тела. Скорость ленты – 5 м/с, ширина её – 10 м,
k = 0,4
Рис.1 Рис.4
Рис.2
Рис.5
Рис.3
АЛГЕБРАИЧЕСКИЕ ПРЕОБРАЗОВАНИЯ
Задание 1: для каждой из
данных пропорций составьте хотя бы по три производной пропорции.
Пример:
для F = kN : F/N = k, N/F = 1/k, N = F/k, kN/F = 1
Сервис онлайн-записи на собственном Telegram-боте
Попробуйте сервис онлайн-записи VisitTime на основе вашего собственного Telegram-бота:
— Разгрузит мастера, специалиста или компанию;
— Позволит гибко управлять расписанием и загрузкой;
— Разошлет оповещения о новых услугах или акциях;
— Позволит принять оплату на карту/кошелек/счет;
— Позволит записываться на групповые и персональные посещения;
— Поможет получить от клиента отзывы о визите к вам;
— Включает в себя сервис чаевых.
Для новых пользователей первый месяц бесплатно.
Зарегистрироваться в сервисе
Задание 2: из данных
формул выделите а) формулы, выражающие физический закон, b) формулы связи, определяющие физическую
величину.
Пример: для формул F = mg ; A = Fl : a) F = mg, b)A = Fl
Задание 3 : исходя из
данных формул, составьте хотя бы по три формулы для определения постоянных
величин m, v,
г, g.
Пример:
w = v/г, w2 = F/m/R, w = g.
Задание 4 : преобразуйте
формулы векторных величин в формулы скалярных величин, измеряемых вдоль
направления вектора силы.
Пример:
, W
= Fv*cos j,
где j - угол
между F и
v
Задание 5 : выразите
зависимость скорости от пройденного пути для равноускоренного движения тела,
описанного уравнениями:
v =
at, vo = 0, s = at2/2
Задание 6 : выразите
зависимость энергии, затраченной на разгон тела массой m
и ускорением а, от конечного значения приобретённой телом скорости v.
Определение энергии: E = Fs, где
F – сила, s – пройденный путь.
Задание 7 : с какой
угловой скоростью w вращается
Луна относительно солнечного наблюдателя, если известно, что Луна всегда
повёрнута одной своей стороной к Земле? Период годового обращения Земли равен Тз,
период месячного обращения Луны относительно Земли равен Тл,
направления обращения Земли и Луны совпадают.
Г Р А Ф И Ч Е С К И Е П О С Т
Р О Е Н И Я
Задание :
начертить графики другим цветом, используя те же сист.координат
L, X,
Y – длина, v – скор, a –
ускор, V-объем, р-плотность, m-масса,
m/l
–линейн.расх, m/t-секундн. расх
Если искомая величина получается делением, то - производная
если –
умножением, то - интеграл
По.гр.l=f(t) постр-ть гр.v=f(t),a=f(t) По.гр.m/l=f(v) постр-ть гр.m/t=f(v)
По.гр.v=f(t) постр-ть гр.l=f(t),a=f(t) По.гр.m/t=f(v) постр-ть гр.m/l=f(v)
По.гр.a=f(t) постр-ть гр.v=f(t),l=f(t) По.гр.Y=f(X) , постр-ть
гр.X=f-1(Y)
По.гр.v=f(l) постр-ть гр.
a=f(l) По.гр.Y=f(X) постр-ть гр.X=f-1(Y)
По.гр.a=f(l) постр-ть гр.v=f(l) По.гр.V=f(X) постр-ть гр.m= p*f(X)
ФИЗИКА
И СВЯЗЬ ЕЁ С ДРУГИМИ НАУКАМИ.
Задание : Пользуясь
приведёнными ниже образцами и справкой, дайте определение наукам, названия
которых указаны в таблице № 1.
Образцы определений :
ФИЛОСОФИЯ – наука о общих законах
развития природы, общества и мышления.
ФИЗИКА – наука о состояниях и
движении материи.
ИСТОРИОГРАФИЯ ФИЗИКИ – отрасль
физики, изучающая прежний опыт познания.
Справка. Большинство наук именуется таким образом:
q
Первая часть слова означает предмет изучения / для этого
используются корни древнегреческих слов /;
q
Вторая часть слова означает цель познания ; «графия» означает
описательную цель, «логия» означает предсказательную цель.
Древнегреческие корни слов и их перевод:
хроно – время астро
– звезда био – жизнь сейсмо - землетрясение
гидро – вода аэро –
воздух гляцио – лёд топо –
место
метеоро – осадки метро –
мерить эко – беречь номия – описание
Таблица 1. .
|
НАЗВАНИЯ НАУК
|
ОПРЕДЕЛЕНИЯ НАУК
|
|
Математика
|
|
|
Топология
|
|
|
Хронология
|
|
|
Астономия
|
|
|
Химия
|
|
|
Биология
|
|
|
География
|
|
|
Метрология
|
|
|
Ге о ф и з и к а
|
Геология
|
|
|
|
Гидрология
|
|
|
|
Аэрология
|
|
|
|
Метеорология
|
|
|
|
Гляциология
|
|
|
|
Сейсмология
|
|
|
|
Экология
|
|
|
|
|
|
|
ТОПОЛОГИЧЕСКИЕ ДВИЖЕНИЯ СИММЕТРИИ
Задание: нарисовать очертания животных, растений и
предметов, в которых наблюдается симметрия – упорядоченное расположение частей
целого. Показать эту симметрию
| Движения симметрии |
Примеры
движений
|
Н а б л
ю д а е м а я с и м м е т р и я |
| В п р и р о д е |
В ц и в и л и з а ц и и |
|
Органическая
/ живая /
|
Неорганическ
/ неживая /
|
Сооружения/ /недвижим / |
Изделия
/движимые/
|
|

ПЕРЕНОС -
параллельное
поступательное
движение
|
$$$$$$$$
       
|
Гусеница
Бамбук
Змея
|
Кристаллы
/ 230 групп/
|
Опоры элект
Кирпичная
кладка
Небоскрёбы
Железн дор
|
Орнамены
Клавии
Упаковка
|
|
ПОВОРОТ –
вращение
вокруг
неподв.центра
|
     
|
Цветок
Медуза
|
Снежинки |
Башни
Трубопровод
|
Колесо
Шестерня
Гайка
|
|
ПОДОБИЕ –
пропорционал
движение
|
         
|
Потомство
животных,
растений
|
Круги на воде |
Пирамиды
/любые похожие сооружения/
|
Мебель
Посуда
|
|
ОТРАЖЕНИЕ
перенос с
поворотом
на 180 0
|
      
|
Бисимметрия
/2 уха, глаза, руки, ноги и так далее/
Листья
|
Отражение лучей |
Архитектура |
Автомобили
Велосипеды
|
| Название ситемы |
Разновидности |
Сфера применения |
Примеры |
|
Прямоугольная
|
0 точечная
1 линейная
2 площадная
3 объёмная
|
|
|
|
Полярная
|
1
угловая
1 линейная
2 угл/линейн
|
|
|
|
Сферическая
|
2 угловых +1 лин |
|
|
|
Проективная
|
В трёх плоскостях
переносят размеры
детали без измерений дпины
|
|
|
|
Многомерная
произвольная
|
М( том,страница, строка, столбец) |
|
|
|
Почтовая
система
адресации
|
А(И,К,Д,У,Г,О,С)
(имя,кв,дом,ул ,…)
|
|
|
|
Позиционная
цифровая
|
6 543 210,123 4
(разрядная цепь)
|
|
|
|
|
|
|
|
ТОПОЛОГИЧЕСКИЕ
СИСТЕМЫ КООРДИНАТ.
Задание : в
3 столбце укажите сферы деятельности или науки, где применяются данные системы
координат; в 4 столбце приведите примеры названий и обозначений, численных
значений и размерностей координат.
МЕТРОЛОГИЧЕСКИЕ
СТАНДАРТЫ
Задание 1: заполнить пустые ячейки
Справка : метрология – наука о измерении физических
величин, единицах измерения и погрешностях измерений ; для системы единиц СИ (SI) установлено 7 основных и более
100 производных единиц; 16 единиц названы именами
знаменитых физиков ; единицы
имеют стандартное наименование и обозначение.
Физическая
величина
|
Обозначение |
Единица измерения |
Обозначение |
Размерность
величины
|
| О С Н О В Н Ы Е |
|
|
|
|
| длина |
l
|
|
|
L |
| время |
t
|
|
|
T |
| масса |
m
|
|
|
M |
| сила света |
J
|
канделла |
кд |
J |
| сила эл тока |
I
|
|
|
I |
| температура |
T
|
|
|
Q |
| количество вещества |
N
|
|
|
-- |
| П Р О И З В О Д Н Ы Е |
|
|
|
|
| плоский угол |
|
|
|
-- |
| телесный угол |
|
|
|
-- |
| скорость |
|
|
|
|
| ускорение |
|
|
|
|
| площадь |
|
|
|
|
| объём |
|
|
|
|
| давление |
|
|
|
|
| плотность |
|
|
|
|
| мощность |
|
|
|
|
| энергия |
|
|
|
|
| частота |
|
|
|
|
|
|
|
|
|
|
Погрешность измерения – определённое значение : абсолютное D = Х – Q ( ед. изм ) или
относительное d = D/X * 100%


Задание 2: найдите значение
погрешностей абсолютной относительной
1. Трижды взвесили тело на
весах, имеющих
погрешность 0,1 % .
Результаты: 243, 242, 244 кг
2. Мысленно объединили 100
тел, с массой из
первой задачки, в одно тело.Какова
будет
погрешность в оценке массы
такого тела ?
3.Результат арифметической
операции:
20,2 м + 5 м = 25,2 м.
Оцените погрешность
полученного результата.
4. Один человек пролежал без
движения ровно месяц,
секунда в секунду.Оцените
погрешность информации
Вспомните хронологию.
.
ЗАКОН
ВСЕМИРНОГО ТЯГОТЕНИЯ
На
схеме изображена гигантская инерциальная система – наша галактика «Млечный
путь», где все космические тела обращаются вокруг своих центральных тел.
Расстояния между телами и размеры
тел можно измерить методом геометрической триангуляции. Движения тел
подчиняются закону тяготения и закону инерции.
Задания :
- Угловые размеры Солнца и
Луны, наблюдаеиых с Земли, приблизительно одинаковы: около 0,5
градуса /0,0088 рад/.Расчитайте диаметры этих тел, используя данные,
отображенные на нижней схеме.
- Массы космических тел
невозможно измерить прямым взвешиванием. Предложите сособ измерения массы
центральных тел с использованием параметров движения их естественных
спутников. Расчитайте массу Земли. Данных для этого на нижней схеме
достаточно. Воспользуйтесь законом тяготения и формулой центробежной силы
: F = mv2/R.
- Никого не удивишь сегодня
«тарелкой» спутникового телевидения. Оси этих «тарелок» направлены на
космический геостационарный спутник связи, который из поля зрения
«тарелки» никогда не уходит.Период обращния спутника – ровно 24 часа,
плоскость орбиты приблизительно параллельна плоскости земного экватора.
Удивите своих друзей! Расчитайте, на какой высоте относительно поверхности
Земли расположен такой спутник. Если Вы справились с предыдущей задачей,
то справитесь и с этой. Радиус Земли равен 6,37*106м, хотя
расчёты и результат можно выразить просто в радиусах Земли.
ГАЛАКТИКА
СОЛНЦЕ
ЗЕМЛЯ
геостационарный
спутник
ЛУНА
ЗЕМЛЯ
ЛУНА
ЕСТЕСТВЕННОЕ ПОЛЕ
ДАВЛЕНИЙ ЗЕМЛИ.
go=9,81
g=gox g=go/x2 P=P0*0,9X(км)
2,4
1,1 0,6 100
kПа
0,4
25 kПа
X
R 2R 3R 4R 5R 6R x
0
10 км
Поле тяготения Земли можно
описать кинетической характеристикой g = f(x)
или v = f(x), или динамической: F = f(x).
Все эти величины являются векторными /направлены в центр Земли/. Все
материальные тела притягиваются друг к другу, причём устойчивое равновесие сил
тяготения и упругости наступит тогда, когда эти тела в сувокупности образуют
тело сферической формы. Образуется естественное статическое поле давлений, в
котором более плотные тела располагаются ближе к центру, вытеснив менее
плотные.
Задание :
1
Расчитать массу земной атмосферы.
Радиус Земли равен 6,37 *106м, атмосферное давление на уровне моря
равно 100 кПа.
2
Расчитать массу воды в океанах,
если они занимают 2/3 площади земного шара и имеют среднюю глубину 4 *10 3м.
Припомните естественный эталон массы.
3
Чем можно объяснить тот факт, что
в недрах земной коры существуют целые моря воды, нефти, газа ? Ведь менее
плотные вещества должны всплывать из более плотной среды.В каком порядке
расположатся эти вещества в единой подземной ёмкости ? Какие естественные силы
Вы бы использовали для извлечения каждого из этих веществ на поверхность Земли
из километровых глубин ?

РАСПРОСТРАНЕНИЕ ВОЗДЕЙСТВИЙ В РАЗЛИЧНЫХ СРЕДАХ.
Залание 1 : указать
последовательность загорания лампочек после удара молотком по стальной трубе, наполненной
водой. Датчики давления расположены в воздухе, воде, на трубе. В таблице
указаны скорости распространения электрического и механического возмущений.
Электромагнитное
Звуковое
в стали
воде
воздухе
Задание 2 : описать физический и математический принципы, лежащие
в основе применения радио- и акустической эхо-локации. Нужно указать способ
сведения лучей в узкий пучок, способ определения направления на облучаемый
объект и способ определения расстояния до объекта, способ различения
передаваемого и принимаемого сигналов в приёмнике.
a
L
Задание 3 : описать физический и математический принципы
использования того факта, что скорость распространения волн в среде не зависит
от скорости перемещения в этой среде источника или приёмника волн.
v
ОПИСАНИЕ
ДВИЖЕНИЯ ТЕЛ.
Задание : описать графически траекторию
движения тел / их центра масс / в абсолютной системе координат, словесно
описать траекторию тел относительно центра масс. Аналитически описать
/ через уравнения пути, скорости, ускорения / те же движения.
Движение шаров рассматривать в горизонтальной плоскости, без
сил трения и тяжести.
Условные знаки:
Шар массой m
Шар
массой 3m
Исходная скорость шаров
искомые
траектории
жёсткий
стержень
ничтожной
массы
ОПИСАНИЕ ДВИЖЕНИЯ
ФИЗИЧЕСКИХ ОБЪЕКТОВ.
Описание может включать в
себя: динамическую характеристику среды и способ движения
объекта в ней, статическую характеристику / известные силы и моменты /, кинематическую
характеристику /возможные изменения скорости /.
Формы описаний : словесная
; графическая /векторная, траекторная схема/; алгебраическая
/уравнения и неравенства/.
ОБЪЕКТЫ :
Автомобиль
движется с горы
Автомобиль
на косогоре
Автомобиль движется в гору
Подводная лодка в движении
Перегрузка при торможении
Передача движений в автомобиле
Самолёт в наборе высоты
Движение человека и
змеи/бионика/
Балансировка велосипедиста
Погрузчик на гусеничном ходу
Маневры корабля на воде
Маневры космической ракеты
Пример описания :
Объект : самолёт в наборе высоты
Атмосфера
не может служить жёсткой опорой для самолёта, но воздух обладает инерцией.
Двигатели, отталкивая от себя воздух, создают реактивную тягу, крыло, отклоняя
встречный поток воздуха на некоторый угол по отношению к траектории полёта,
создаёт подъёмную силу. Инертный воздух оказывает сопротивление движению
самолёта.
Схема сил и
моментов:
Y1
P
Y2
m a
X2
X1
G
Уравнения движения Y = Y1
+ Y2
Y cos a+
(P – Q)sin a = G ; ( >G; <G)
P = Q , v=c; ( P>Q , v ; P<Q , v )
Y1X1 = Y2X2
ИССЛЕДОВАНИЕ ДВИЖЕНИЯ УПРУГОЙ СИСТЕМЫ ТЕЛ.
Задание
:
m1
m2 Дана
абсолютно упругая система, как показано на рисунке. kупр=
400 Н/м , m1 = m2 = 1 кг, L = 1,2.
Силу
тяготения, сопротивление воздуха и массу пружины не учитывать.
L=1,2
1) Вычислить Тколеб
указанной системы
Сжали пружину. Нажимая
на правое тело, прижали всю систему к вертикальной стенке, L = 0,2м, затем резко освободили систему, отпустив
правый тело.
L=0,2
2) Какую максимальную
скорость приобретёт правое тело?
3) Какую скорость
относительно стенки приобретёт вся упругая система, то есть её центр масс?
4) В какой момент придёт в движение левое тело?
5) С какой амплитудой
относительно центра масс системы будут колебаться тела?

6) Начертить график
скоростей тел в зависимости от расстояния до стенки, используя характерные
точки на траектории их движения.
m v m
m
7) Какая часть энергии,
переданной колебательной системе извне, превратится в кинетическую энергию
движения центра масс системы, а какая – в внутреннюю энергию системы? Энергия
передана системе в процессе упругого удара грузом.
8. Какую скорость будет иметь система из четырёх одинаковых
тел, если придать скорость v одному из тел?
САМОПИСЦЫ , РЕГИСТРАТОРЫ , « ЧЁРНЫЕ ЯЩИКИ ».
Самописцы устанавливают для непрерывной или
периодической записи скорости, пройденного пути, направления движения и других
параметров. Их устанавливают для целей объективного контроля на транспортных
средствах, электростанциях, в лабораториях и т.д.
В лаборатории такой самописец с часовым механизмом
автоматически записывает данные различных приборов, необходимые для научных
исследований.
Задание 1 : спроектировать регистратор температуры воздуха
с фоторегистрацией.
Исходные
материалы :
Фотобумага ртутный
термометр цилиндр часовой механизм штатив
Задание 2: спроектировать
регистратор скорости ветра. Ветряк вращается под действием ветра. Будильник
имеет секундную, минутную и часовую оси. На одну из них можно насадить цилиндр.
Исходные материалы :
Карандаши ветряк
цилиндр будильник щтатив листы бумаги
Задание 3 : спроектировать регистратор температуры воздуха
с графорегистрацией.
Биметаллическая пластина
изгибается с изменением температуры.
Исходные материалы :
Штатив , биметаллическая стрелка,
цилиндр, будильник, лист фольги.
АВТОМОБИЛЬ –
СРЕДСТВО ПЕРЕДВИЖЕНИЯ
Задание: опишите назначение и принцип
действия самых важных систем автомобиля, используя свои знания физики и
химии. Какими свойствами должны обладать вещества, используемые в этих
системах?
БЫТОВЫЕ ЭЛЕКТРОПРИБОРЫ.
|
|
Электрические явления, на котоых основан принцип действия
прибора |
Названия приборов |
|
| 1 |
|
нагревательные |
|
|
|
эпектродуговые |
|
| 2 |
|
| 3 |
|
электроприводные |
|
| 4 |
|
электропитающие |
|
| 5 |
|
вибрационные |
|
| 6 |
|
сигнальные |
|
| 7 |
|
питание калькулятора |
|
| 8 |
|
звучащие игрушки |
|
| 9 |
|
аудиотехника |
|
Задание : на рисунке
изображены принципиальные схемы бытовых электроприборов. Какие электрические
явления / эффекты / используются в этих устройствах? Назовите электроприборы,
которые работают по изображённым на рисунках принципам и заполните таблицу.
Пример:
/ 2 / ионизация газа
эл.током / зажигалка, дуговая лампа /
ВЛИЯНИЕ
ТЕРМОДИНАМИЧЕСКИХ ПРОЦЕССОВ НА ПОГОДУ.
Метеорологи регистрируют состояния погоды с
интервалами минутными, часовыми, суточными. Учёт десятков, сотен факторов
позволяет прогнозировать погоду по времени и месту. Три основных
термодинамических процесса, протекая с разными скоростями, определяют характер
погоды :
q
Конвектиный /массовый перенос теплоты /
q
Теплопроводный /молекулярный перенос теплоты /
q
Радиационный / волновой перенос теплоты /
Основные причины изменения
погоды: солнечное излучение:, суточное и годовое вращение Земли, земное
тяготение.
Задание 1 : На рисунках
изображены графики зависимости температуры атмосферы от высоты. Первый график
отражает стандартное / усреднённое / распределение температуры, остальные –
отражают распределение температуры по высоте для раздичных климатических зон:
умеренной, полярной, экваториальной.
Найдите на рисунке графики
температур для каждой из перечисленных зон и обоснуйте свой выбор с точки
зрения термодинамики.
В какое летнее время суток
наиболее вероятно образование тумана? В ясную или облачную погоду туман более
вероятен? Обоснуйте свой прогноз.
В ы с о
т а ( км )
30
20
10
-60 0 60
0
Т е
м п е р а т у р а ( К)
Задание 2: Из-за общего западного переноса воздушных
масс для стран Балтики погода приходит с Запада. Над Исландией образуются
циклоны и приносят дождливую погоду.
Летом над
Сахарой образуются антициклоны и приносят сухую погоду. На рисунке показана
схема зарождения исландского циклона. Направление врашения циклона показано на
горизонтальной проекции. Условно обозначены : ВД, НД – высокое и низкое
давление атмосферы, ТВ, ХВ – тёплый и холодный воздух.

Представьте
себе холодеющий /ночью/ остров среди тёплого океана и посредством физических
понятий опишите этот циклонический процесс.
Для
аналогии можно представить поведение горячей и холодной масс воды, изображённых
на следующем рисунке, если быстро убрать разделяющий их цилиндр.
ФИЗИКА, ХИМИЯ,
ПРИРОДА И БЕЗОПАСНОСТЬ.
Задание : ответьте на вопросы и сделайте выводы по
безопасности.
- Почему кучка пороха или сера на
спичке сгорают медленно, а в оружейном патроне тот же порох или сера от
спички взрываются мгновенно?
- Почему бензин медленно сгорает в
фитиле лампы и мгновенно взрывается в камере сгорания двигателя? В чём
опасность паров бензина?
- Почему природный газ медленно
сгорает в газовой плите и мгновенно взрывается в камере сгорания двигателя
или на кухне / в случае утечки и последующего его воспламенения от
открытого огня /?
- Почему в дизельном двигателе
топливо самовоспламеняется, а в бензиновом двигателе его воспламеняют
электрической искрой?
- Почему в обыкновенной печке /или
на костре/ кучка каменного угля сгорает часами, а в котельной, в такой же
по объёму печке, за час сгорает тонна угля?
- Почему минеральной пылью можно
тушить пожары, а органическая пыль /мучная, хлопковая, древесная /
взрывается от искры?
- Почему хвойные леса возгораются
чаще, чем лиственные? Одна причина – вероятностная, другая – сущностная.
- Величайшую вершину Гималаев –
Эверест, высотой около 9 км, – альпинисты покоряют эа неделю. Некоторые
альпинисты даже не используют кислородные приборы. Если эти же альпинисты
будут лететь в самолёте на высоте 9 км и из самолёта произойдёт быстрая
утечка воздуха так, что давление в нём понизится до давления атмосферы на
этой высоте, то они испытают сильные боли, потеряют сознание и могут
погибнуть.Почему? Ведь препад давлений в обоих случаях одинаков.
- Аквалангист ныряет на глубину 40
метров, через полчаса всплывает и садится в барокамеру. В ней поднимают
давление до 3 – 4 атмосфер и затем, в течении нескольких часов, снижают
давление в барокамере до атмосферного. Если не проделать такую процедуру,
то аквалангист может потерять сознание или даже погибнуть. Почему? Ведь
в барокамере он как бы вновь погружается на такую же глубину.
- Если сделать несколько глубоких
вдохов, затем задержать дыхание и обжать грудную клетку, то можно запросто
потерять сознание. Такое может произойти даже при надувании ртом
футбольного мяча. Почему? Ведь футбольный мяч – не самолёт и не
подводная лодка.
ЦЕНТРОСТРЕМИТЕЛЬНОЕ УСКОРЕНИЕ
Задание 1 : объяснить один из способов вывода
формулы ускорения при движении тела со скоростью v
по окружности радиусом R. ( a = dv/dt )
v*dt
dv dv
v R v v

С И Л А К А Р И О Л И С А
Карл Бэр, преподававший в Тартуском
Университете, первым предположил объяснение отклоняющей силы, действующей на
перемещающиеся по поверхности Земли тела, суточным вращением Земли. Кариолис
теоретически вывел формулу этой силы.Во многих книгах по географии,
метеорологии, технике их авторы ссылаются на эту силу, но редко дают полное
объяснение столь загадочной силе. Сила Кариолиса приложена к телу, лежит в
плоскости вращения и перпендикулярна вектору скорости перемещения тела
относительно вращающейся плоскости. Формула силы Кариолиса : F = 2 m w v , где m
– масса тела, w – угловая сорость системы, v – скорость тела
относительно системы.
Задание : сформулируйте пять выводов из
приведённого ниже кинематического доказательства формулы силы Кариолиса. Здесь
использованы: законы сохранения импульса и сохранения момента импульса, правило
сложения векторов и теорема Пифагора, правила интерпозиции и взаимной
независимости действия фмзических законов.

УСТОЙЧИВОЕ ПОЛОЖЕНИЕ ТЕЛА
НА ВРАЩАЮЩЕЙСЯ
ПОВЕРХНОСТИ.
Задание 1: какой должна быть форма вращающейся с
угловой скоростью w тарелки, чтобы покоящийся на ней
шарик занимал устойчивое положение, то есть не скатывался бы к центру и не убегал
бы к краю тарелки? Ось вращения тарелки направлена вдоль вектора силы тяжести.

Задание 2 : тела
на поверхности Земли испытывают силу тяготения, направленную в центр Земли, и
центробежную силу из-за вращения Земли, направленную перпендикулярно оси
вращения Земли. Вывести формулу угла между радиусом Земли и отвесом
/грузиком на нитке /, в зависимости от широты места этого отвеса.
Задание 3 : тела на сплюснутой поверхности Земли
находятся в таком же устойчивом положении равновесия, как шарик в тарелке из задания
1. Пользуясь этой аналогией, определите, по какой траектории будет катиться
шарик на идеально гладкой поверхности Земли, если толчком придать шарику
сорость v? Рассмотрите движение шарика относительно
земного и солнечного наблюдателей.
ГЕОМЕТРИЧЕСКАЯ И ВОЛНОВАЯ ОПТИКА
Задание 1 : отражатели карманных фонариков,
автомобильных фар, прожекторов, «тарелки» спутникового телевидения и связи
имеют форму параболоида. Расчитайте, по правилам геометрической оптики, в
каком месте параболоида должен находиться источник излучения, чтобы лучи из
этого параболоида выходили параллельно оптической оси. Разумеется, при
обратном ходе параллельные лучи должны сходиться в одну точку, называемую
фокусом параболоида. Расчёт на рисунке приведён. Только его нужно обосновать
словами и проверить правильность выводов.

Задание 2 : доказать, что
все точки плоской волны, после отражения её от параболоида, приходят в фокус
одновременно.Если это так, то тогда сферические волны излучателя, отражаясь от
параболоида, должны преображаться в плоские волны.
Задание 3 : На нижнем рисунке показан ход лучей от
параболического отражателя к уголковому и обратно. Придумайте применение такого
явления. Можно ли использовать уголковый отражатель для передачи информации на
большое расстояние? Причём этот отражатель не имеет даже излучателя. Придумайте
механический способ формирования информационных сигналов

Задание 4 :
. Как должен выглядеть уголковый отражатель в объёмном представлении?
ИССЛЕДОВАНИЕ
КОЛЕБАТЕЛЬНОГО ДВИЖЕНИЯ.
Задание : на левом рисунке графикам физических
величин / F, a,
E, v, t / соответствуют, расположенные справа от них, формулы.
Все формулы выводятся теоретическим путём.
Постарайтесь обосновать справедливость всех формул,
обведённых рамками.
Вам в помощь в правой и нижней частях листа приведены
рисунки.
-A m A Виды
упругой деформации : растяжение, сжатие, сдвиг, кручение.
x
напряжение
упругости

относительное
удлиннение
Многие металлы, резина обладают,
в ограниченых пределах, пропорциональной упругостью, то есть F
= kx. Благодаря этому свойству, металлические струны,
пластины могут совершать гармонические свободные колебания. Таким образом можно
получать музыкальные звуки. Постоянный период колебаний пружины используется в
часовых механизмах. Постоянный коэффициент упругости пружины удобен для цели
взвешивания.
v v
F
vmax
Ep = STP x

X
МОЛЕКУЛЯРНО
– КИНЕТИЧЕСКАЯ ТЕОРИЯ ГАЗА.
/
давление газа в ограниченном объёме,
cкорости молекул,скорость звука /
Задание : объясните словесно один из трёх способов
вывода фориулы давления газа для двух степенй свободы / пункт 2./.
1. ДЛЯ ОДНОЙ СТЕПЕНИ СВОБОДЫ


2. ДЛЯ ДВУХ СТЕПЕНЕЙ СВОБОДЫ.

3. ДЛЯ ТРЁХ СТЕПЕНЕЙ СВОБОДЫ.

4. СКОРОСТЬ ПЕРЕДАЧИ ВОЗМУЩЕНИЯ.

ПУТЕШЕСТВИЕ МЕЖДУ
ПОЛЮСАМИ ЗЕМЛИ.
Задание : если прокопать колодец сквозь Землю от
полюса до полюса, создать в нём вакуум, то можно путешествовать от полюса к
полюсу без затрат энергии на перемещения. Докажите это утверждение и опишите
изменения ускорения, перегрузки, скорости в процессе такого путешествия.
Сколько времени будет продолжаться оно?




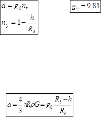
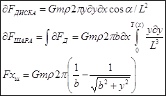
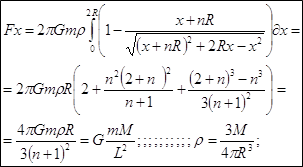
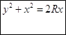
Задание : доказать, что два шара однородной плотности
притягиваются друг к другу как две матариальные точки, расположенные в центрах
этих шаров. Говорят, что Ньютону удалось это доказать. Закон гравитации для
материальных точек : FT = G m1m2 / R2.

Y


a X
m
b
Y
2R
x

Y
m X

L
КОНСТРУИРОВАНИЕ
ИНТЕГРАЛОВ.
Задание : из каких
геометрических соображений сконструированы интегралы для вычисления длины
окружности, площадей круга и шара, объёма шара?

ПРОЕКТИВНЫЕ ПОСТРОЕНИЯ И ПРЕОБРАЗОВАНИЯ
Задание
: длину дуги большого круга /ортодромии/ можно выразить через сферические
координаты её крайних точек. Повернём шар вокруг горизонтальной оси так, чтобы
нижняя точка вертикальной проекции хорды ортодромии оказалась в центре круга.
Докажите, что длина ортодромии S = R3*arccos (sin φ1*sinφ2+cosφ1*cosφ2*cos(γ2-γ1)).
j
Z
Z1
L Y1
a
Y
Dl
другой
способ:
L2 = DX2 +DY2
+DZ2