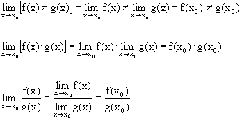
[1+1/(n+1)]n(1+1/x)x(1+1/n)n+1
Если
x+,
то n+
[1+1/(n+1)]n+11/[1+1/(n+1)](1+1/x)x(1+1/n)n(1+1/n)
lim(1+1/x)x=e
x+
В10.Пределы,
связанные со
вторым замечательным
пределом.
1.
.
2.

3.
.
4.
.
5.
.
6.
при a>1
и m>0.
7.
при a>1
и m>0.
8.
при a>1
и m>0.
В11.Арифиметические
операции над
переменными,
имеющими предел.
Неопределенные
случаи.

В12.Непрерывность
функции в точке
и на промежутке.
Арифметические
операции над
непрерывными
функциями
Определение:
функция f(x)
непрерывна,
если: 1)она определена
в х0 и
некоторой ее
окресности.2.Lim
f(x)=f(x)
при x->x0
Функция
непрерывна
на множестве,
если она непрерывна
в каждой точке
этого множества.в
качестве примера
y=x2.
Арифметические
опрерации:
f(x)+-/*g(x)
если функции
непрерывны
в х0



В13.Непрерывность
сложной функции.
Непрерывность
основных элементарных
и принадлежащих
классу элеменетарных
функции.
Пусть
функции f(x) и g(x)
непрерывны
в точке х0.
Тогда функция
f(x) не равная g(x),
f(x)g(x) и
(если
g(x) не равно 0) непрерывны
в точке x0.
Доказательство.
Пусть
f(x) и g(x) непрерывны
в точке x0.
Это значит, что
.
Но тогда, по
свойствам
пределов

Последнее
свойство верно,
если
.
Пусть
y=f(x), но x, в свою
очередь, является
функцией некоторого
аргумента t:
x=(t).
Тогда комбинация
y=f((t))
называется
сложной
функцией,
или суперпозицией
функции (t).
Примеры:
а) y=sin(x),
x=et
=> y=sin(et)
б) y= ex
, x=sin(t) => y= esin(t)
Целая
и дробная
рациональные
функции.
Непрерывность
f(x)=const и
f(x)=x непосредственно
ясна. На основании
теоремы о
произведении
непрерывных
функций вытекает
непрерывность
любого одночленного
выражения axm,
по теореме о
сумме непрерывных
функций - непрерывность
многочлена
a0xn
+ a1xn-1
+ ... +an-1
+ an.
Непрерывность
данных функций
имеет место
на всем интервале
.
Частное двух
многочленов
непрерывно
всюду, кроме
точек b0xm
+ b1xm-1
+...+ bm-1x
+ bm =
0 (в этих
точках - либо
разрыв 2-го рода,
либо устранимый
разрыв).
Показательная
функция
y=ax(a>1)
монотонно
возрастает
на всем интервале
.
Ее значения
заполняют весь
интервал
.
Из существования
логарифма
следует непрерывность
данной функции.
Логарифмическая
функция
.
Рассмотрим
случай a>1.
Эта функция
возрастает
при
,
и принимает
любое значение
из
.
Отсюда следует
ее непрерывность.
Степенная
функция
.
При возрастании
x от 0 до
возрастает
или
убывает
на
интервале
.
Следовательно,
данная функция
непрерывна.
Тригонометрические
функции
,
,
,
,
,
.
Остановимся
на функции
.
Ее непрерывность
на отрезке
вытекает
из ее монотонности,
а также из факта
(устанавливаемого
геометрически),
что при этом
она принимает
все значения
от -1 до 1. То же
относится к
любому промежутку
.
Следовательно,
функция
непрерывна
для всех значений
x. Аналогично
- для функции
.
По свойствам
непрерывных
функций вытекает
непрерывность
функций
.
Исключение
для первых двух
функций - значения
x вида
,
при которых
,
для других двух
- значения вида
,
при которых
.
Обратные
тригонометрические
функции
,
,
,
.
Первые две
непрерывны
на
,
остальные - на

В14.Сравнение
и порядок бесконечно
малых. Эквиваленты
бесконечно
малых. Основные
примеры
Сравнение
бесконечно
малых
Определение
2.16
Пусть фиксирована
некоторая база
и
на некотором
её окончании
заданы
две функции
и
,
бесконечно
малые при базе
.
Предположим
также, что
при
всех
.
Пусть существует

Если
,
то бесконечно
малая
имеет
тот же порядок
малости,
что и
.
Этот факт
обозначается
так:

Если же
,
то
имеет
больший порядок
малости,
чем
.
Это обозначается
так:
Заметим,
что если
,
то для всех
из
некоторого
окончания
базы
будет
выполнено
неравенство
.
Это сразу следует
из того, что

Предложение
2.2
Если при
базе
бесконечно
малая
имеет
тот же порядок
малости, что
,
то и
имеет
тот же порядок
малости, что
,
то есть
|

|
(S) |
Если две
бесконечно
малых
и
одного
порядка малости,
и две бесконечно
малых
и
тоже
одного порядка
малости при
базе
,
то две величины
и
также
имеют один и
тот же порядок
малости при
базе
,
то есть
|

|
(T) |
Кроме
того, бесконечно
малая величина
имеет
тот же порядок
малости, что
она же сама:
|

|
(R) |
Доказательство.
Поскольку
то
,
откуда следует
первое из
доказываемых
утверждений.
Второе утверждение
следует из
первого и цепочки
равенств

где

по
условию предложения.
Наконец,
третье утверждение
сразу следует
из очевидного
соотношения
Итак, свойство
двух или нескольких
бесконечно
малых величин
иметь один и
тот же порядок
малости, то
есть отношение
,
заданное в
множестве
бесконечно
малых при данной
базе
величин
,
является
рефлексивным,
транзитивным
и симметричным.
Рефлексивность
какого-либо
отношения
,
заданного в
некотором
множестве
объектов
,
означает, что
выполнено
свойство
(R):
,
транзитивность --
что выполнено
свойство
(T):
,
а симметричность --
что выполнено
свойство
(S):
.
Любое
рефлексивное,
транзитивное
и симметричное
отношение
разбивает
множество
объектов, для
которых оно
определено,
на классы
объектов,
эквивалентных
по данному
отношению:
в один класс
с объектом
попадают
все объекты
,
для которых
.
Поэтому
все бесконечно
малые при данной
базе
величины
разбиваются
на классы по
отношению
,
в каждый из
которых входят
все величины,
имеющие один
и тот же порядок
малости.
Пример
2.31
При базе
величины
и
,
где
и
,
,
имеют один и
тот же порядок
малости (так
как, очевидно,
их отношение
постоянно и
его предел
постоянно
и его предел
равен
.
Например, при
величины
и
имеют
один и тот же
порядок малости.
При базе
величина
имеет
больший порядок
малости, чем
,
при
:

так
как
.
Если степени
и
определены
и при
,
то аналогичное
утверждение
верно и для
двусторонней
базы
.
Например, при
величина
--
большего порядка
малости, чем
.
При
величина
--
большего порядка
малости, чем
,
а
--
величина большего
порядка малости,
чем
.
Пример
2.34
Поскольку,
как мы видели
в примерах
выше,
и
,
то
--
величина большего
порядка малости,
чем
.
Определение
2.17
Пусть
и
--
бесконечно
малые при базе
и

Тогда
бесконечно
малая
называется
эквивалентной
бесконечно
малой
при
базе
.
Это обозначается
следующим
образом:

Очевидно,
что если величина
эквивалентна
величине
,
то они имеют
один и тот же
порядок малости
(так как при
этом
).
Кроме того,
свойство двух
бесконечно
малых величин
быть эквивалентными,
то есть отношение
,
(так же, как и
отношение
)
рефлексивно,
транзитивно
и симметрично.
А именно, имеет
место
Предложение
2.4
Если при
базе
бесконечно
малая
эквивалентна
бесконечно
малой
,
то и
эквивалентна
:
|

|
(S )
|
Если две
бесконечно
малых
и
эквивалентны,
и две бесконечно
малых
и
тоже
эквивалентны
при базе
,
то две величины
и
также
эквивалентны
при базе
:
|

|
(T )
|
Кроме
того, величина
эквивалентна
себе самой:
|

|
(R )
|
Доказательствоповторяет
доказательство
предложения
2.2. Нужно
только учесть,
что
.
Итак, отношение
эквивалентности
обладает
свойствами
симметричности
(S
),
транзитивности
(T
)
и рефлексивности
(R
)
и, следовательно,
разбивает
множество всех
бесконечно
малых при данной
базе
величин
на классы
эквивалентных
между собой
бесконечно
малых. Эти классы
более мелкие,
чем классы
бесконечно
малых величин
одного порядка
малости, на
которые то же
самое множество
бесконечно
малых разбивается
отношением
.
Пример
2.35
Согласно
первому замечательному
пределу,
Это
означает, что

Кроме того,
в примере
2.20 мы показали,
что
Это
означает, что

Польза для
вычисления
пределов от
использования
эквивалентности
бесконечно
малых, а также
от бесконечно
малых большего
порядка выражается
следующими
утверждениями.
Предложение
2.5
Пусть
существует
предел
где
и
--
бесконечно
малые при базе
.
Пусть также
и
.
Тогда существует
предел

то
есть бесконечно
малые как в
числителе, так
и в знаменателе
неопределённости
вида
можно
заменять на
эквивалентные
им бесконечно
малые: величина
предела от
этого не изменится.
Доказательство.
Для доказательства
напишем такое
равенство:

и
заметим, что
эквивалентность
величин
и
,
и
означает,
что первый и
последний
пределы в правой
части этой
формулы равны 1.
Совершенно
так же доказывается
уточнение
доказанного
только что
предложения.
Это уточнение
означает, что
заменять
эквивалентными
можно не только
числитель или
знаменатель
целиком, но и
любой бесконечно
малый множитель
в числителе
или знаменателе:
Предложение
2.6
Пусть
,
и
существует
предел

Тогда
и
можно
заменить на
эквивалентные,
и значение
предела не
изменится, то
есть

Предложение
2.7
Пусть
,
и
существует
предел
.
Тогда существует
предел

то
есть бесконечно
малые большего
порядка можно
отбрасывать
как в числителе,
так и в знаменателе
неопределённости
вида
величина
предела от
этого не изменится.
Доказательство.
Согласно предложению
2.5, достаточно
доказать, что
если
,
то
.
Но это следует
из такой цепочки
равенств:

Пример
2.36
Вычислим
предел

Для этого
заметим, что,
как мы проверяли
выше,
--
величина большего
порядка малости,
чем
.
Аналогично
проверяется,
что
--
величина большего
порядка малости,
чем
.
Поскольку
слагаемые
большего порядка
малости можно
отбросить, то

Далее,
поскольку
,
очевидно,
эквивалентен
(согласно
первому замечательному
пределу), а
эквивалентен
,
то последний
предел можно
упростить,
заменив бесконечно
малые в числителе
и знаменателе
на эквивалентные
им, а затем сократить
на
:

При вычислении
пределов часто
бывают полезны
также следующие
два утверждения.
Предложение
2.8
Пусть
и
.
Тогда:
1)

и
2)
при
любом
(в
случае, если
степень
определена
только при
,
нужно потребовать,
чтобы выполнялось
неравенство
.
(Заметим,
что второе
утверждение
не следует из
первого, поскольку
--
не обязательно
целое число.)
Доказательство.
Первое утверждение
означает, согласно
определению
эквивалентности,
что

если
известно, что

и

Но
это сразу следует
из теоремы о
пределе произведения
( теорема
2.9).
Второе утверждение
означает, что

если
известно, что

Это
следует из
того, что степенная
функция
непрерывна
при любом
,
если
.
Как отмечалось
выше, для непрерывной
функции можно
переставлять
местами знак
функции и знак
предела:

В
случае степенной
функции
,
сделав замену
переменного
и
связанную с
ней замену
базы, мы получим,
что

Беря
,
получаем, что

что
и требовалось
доказать.

Поскольку
в этой таблице
мы всегда будем
рассматривать
базу
,
для простоты
записи обозначение
этой базы будем
пропускать
и писать знак
вместо
.
1)
.
Эту формулу
мы уже доказали
и использовали
в примерах.
Эквивалентность
и
при
означает
в точности, что
первый замечательный
предел равен 1.
2)
.
Эта эквивалентность
тоже была доказана
выше в одном
из примеров.
3)
.
Докажем эту
эквивалентность:

4)
.
Докажите это
в качестве
упражнения,
сделав замену
и
применив предыдущую
табличную
формулу.
5)
.
Для доказательства
воспользуемся
формулой
.
Далее, имеем:

Это
означает, что
доказываемая
эквивалентность
имеет место.
6)
(
).
Для доказательства
этой эквивалентности
сделаем такое
преобразование:

Для
вычисления
предела правой
части воспользуемся
непрерывностью
логарифма и
вторым замечательным
пределом:

и
мы доказали
формулу 6.
В частном
случае, при
,
получаем
эквивалентность
)
.
7)
(
).
Для доказательства
сделаем замену
и
выразим
через
:
.
Согласно формуле
6,
при
,
откуда
.
Из непрерывности
логарифма
следует, что
и,
значит,
при
.
В этой формуле
осталось лишь
сменить обозначение
переменного
на
,
чтобы получить
формулу 7.
В частном
случае, при
,
получаем
эквивалентность
)
.
В15.Сохранение
знака непрерывной
функции.Понятие
равномерной
непрерывности.
Напомним,
что непрерывность
функции
в
точке
означает,
что
,
то есть

Тем
самым непрерывность
функции
на
интервале или
отрезке
означает,
что

При
этом мы имеем
право выбирать
число
в
зависимости
от
и,
главное, от
точки
.
Предположим
теперь, что
число
можно
выбрать общим
для всех
(но,
конечно, зависящим
от
).
Тогда говорят,
что свойство
функции быть
непрерывной
в точке
выполнено
равномерно
по
.
Дадим теперь
такое
Определение
3.5
Пусть
--
некоторая
функция и
.
Функция
равномерно
непрерывна
на
,
если
Приведём
пример равномерно
непрерывной
функции.
Пример
3.15
Рассмотрим
функцию
и
покажем, что
она равномерно
непрерывна
на всей числовой
оси
.
Фиксируем число
и
положим
.
Выберем теперь
любые две точки
и
,
такие что
,
и покажем, что
тогда
.
Действительно,
так
как, во-первых,
при
всех
и
и,
во-вторых,
при
всех
(у
нас
).
Таким образом.
равномерная
непрерывность
функции
доказана.
Лучше изучить
условие равномерности
по
мы
сможем, приведя
пример, где оно
нарушается.
Пример
3.16
Пусть функция
рассматривается
на интервале
.
Если фиксирована
точка
,
то для заданного
мы
можем выбрать
так,
что
при
всех
таких,
что
;
для нахождения
нужно
решить неравенство
относительно
(напомним,
что точка
фиксирована):
Из
чисел
и
выберем
минимальное:

Тогда
при
будет
.
Проанализируем,
однако, зависимость
от
:
при
,
приближающемся
к 0, значения
будут
убывать и стремиться
к 0 (при неизменном
значении
),
что хорошо
видно на следующем
чертеже:

Рис.3.25.Изменение
в
зависимости
от положения
точки

При приближении
точки
к
началу координат
нам приходится
по одному и
тому же
выбирать
всё меньшие
-окрестности
точки
,
чтобы обеспечить
выполнение
неравенства
.
Выбрать
общим
для всех
,
очевидно, невозможно:
при заданном
какое
бы фиксированное
число
ни
было взято, мы
можем поместить
точку
так
близко от 0, что
значения
и
будут
отличаться
друг от друга
больше, чем на
,
хотя
.
Это означает,
что функция
не
является равномерно
непрерывной
на интервале
.
Теорема
3.10
Пусть
и
функция
непрерывна
на
.
Тогда
равномерно
непрерывна
на
.
Доказательство
этой теоремы
достаточно
сложно и основывается
на тонких свойствах
системы действительных
чисел, а именно,
на том, что любой
замкнутый
отрезок
является
компактом9.
Мы пропускаем
здесь доказательство
теоремы, отсылая
за ним заинтересованного
читателя к
подробным
курсам математического
анализа, например,
Никольский
С.М., Курс
математического
анализа,
т. 1. -- М.: Наука,
1991; Фихтенгольц
Г.М., Курс
дифференциального
и интегрального
исчисления,
т. 1. -- М.-Л.: ГИТТЛ,
1948 и др. годы изд.
В качестве
следствия
равномерной
непрерывности
легко получается
утверждение
теоремы
3.8, а именно,
Следствие
3.1
Любая
функция
,
непрерывная
на замкнутом
отрезке
,
ограничена
на
(то
есть существует
такое число
,
что
при
всех
).
Приведём
это доказательство
(хотя теорема
3.8 была
ранее доказана
другим способом):
Доказательство.
Фиксируем
какое-либо
число
,
например
,
и выберем
такое,
что при всех
,
для которых
,
будет
.
Разобьём
на
отрезки длины
:

(мы положили
;10
длина последнего
отрезка может
оказаться
меньше
).
Выберем в качестве
середину
каждого
из отрезков:

Тогда
для каждого
выполняется
неравенство
и,
следовательно,
.
Это неравенство
эквивалентно
такому:
,
или
.
Поскольку точек
конечное
число (а именно,
),
то мы можем
взять минимальное
из чисел
,
,
и максимальное
из чисел
,
:

Тогда для
любого
верно
неравенство
,
и осталось
взять
.
При этом для
любого
будет
,
что означает
ограниченность
функции
на
.
Теорема
кантора Если
функция непрерывна
на [a,b] , то она
равномерно
непрерывна
на [a,b] .
Равномерная
непрерывность
— одно из важнейших
понятий математического
анализа.
Функция
называется
равномерно
непрерывной
на некотором
множестве E,
если:
Очевидно,
что если функция
равномерно
непрерывна
на E, то она непрерывна
на нём, только
в данном случае
дельта не зависит
от эпсилон. Но
обратное верно
далеко не всегда.
Например, функция
y=1/x в интервале
(0, 1) не равномерно
непрерывна,
т. к. при любом
эпсилон можно
указать отрезок
сколь угодно
малой длины
такой, что на
его концах
значения функции
будут различаться
больше, чем на
эпсилон.Однако
если функция
«обычно» непрерывна
на отрезке, то
она и равномерно
на нём непрерывна,
об этом говорит
теорема Кантора.
В16.Теорема
Больцмана-Коши
и Вейрштрасса
о свойствах
непрерывности
на отрезке
функции
Теорема
Больцано-Вейерштрасса
Из любой огран.
посл-ти можно
выбрать сход.
подпосл-ть.
Док-во
1. Поскольку
посл-ть ограничена,
то
m и
M,
такое что
mxnM,
n.
1=[m,M]
– отрезок, в
котором лежат
все т-ки посл-ти.
Разделим его
пополам. По
крайней мере
в одной из половинок
будет нах-ся
бесконечное
число т-к посл-ти.
2 – та половина,
где лежит бесконечное
число т-к посл-ти.
Делим его пополам.
По краней мере
в одной из половинок
отр. 2
нах-ся бесконечное
число т-к посл-ти.
Эта половина
- 3.
Делим отрезок
3
… и т.д. получаем
посл-ть вложенных
отрезков, длинны
которых стремятся
к 0. Согластно
о т-ме о вложенных
отрезках,
единств. т-ка
С, кот. принадл.
всем отрезкам
1,
какую-либо т-ку
n1.
В отрезке 2
выбираю т-ку
xn2,
так чтобы n2>n1.
В отрезке 3
… и т.д. В итоге
пол-ем посл-ть
xnkk.
Теорема
Больцано-Коши
Пусть ф-ция
непр-на на отрезке
[a,b]
и на концах
отрезка принимает
зн-ния равных
знаков, тогда
т-ка с
(a,b)
в которой ф-ция
обращается
в 0.
Док-во
Пусть Х
– мн-во таких
т-к х из отрезка
[a,b],
где f(x)<0.
Мн-во Х не пустое.
Х
[a,b],
значит х ограничено,
поэтому оно
имеет точную
верхнюю грань.
c=supx.
acb
покажем aa,
cb.
Предположим
f(c)=0,
что это не так,
тогда
окрестность
т-ки с в пределах
которой ф-ция
сохраняет знак,
но это не можетбыть,
т.к. по разные
стороны т-ки
с ф-ция имеет
разный знак.
f(с)=0.
Теорема
Вейерштрасса
Непрерывная
ф-ция на отрезке
ограничена.
Док-во
Предположим
что ф-ция не
ограничена.
Возьмем целое
пол-ное n,
т.к. ф-ция не
ограничена,
то найдется
xn[a,b],
такое что f(xn)>n.
Имеем посл-ть
т-к xn.
По т-ме Больцано-Коши
из посл-ти xn
можно выбрать
сходящиюся
подпосл-ть
xnkx0.
По т-ме о предельном
переходе к
неравенству.
axnkb
ax0b
x0[a,b]
Если посл-ть
xnk
сходится к x0,
то f(xnk)
будет сходится
f(x0)
f(xnk)>nk,
a
nkf(xnk),
т.е. f(xnk)
б/б посл-ть.
С одной
стороны f(xnk)
стремится к
опр. числу, а с
др. стороны
стремится к
,
пришли к противоречию,
т.к. мы предположим,
что ф-ция не
ограничена.
Значит наше
предположение
не верно.
В17.Производная
и ее свойства.
1.
cp.=S/t,
=lim(S/t),
где
t0
2.
pcp.=m/l,
pT=lim(m/l),
где
l0
y=f(x+x)-f(x),
y=f(x)
lim(y/x)=lim((f(x+x)-f(x))/x)
x0
x0
О
пределение.
Если отношение
имеет предел
при
этот предел
называют
производной
функции
при заданном
значении
и
записывают
. (1)
Замечание.
Если при
некотором
значении
,
существует
производная
функции
при этом значении,
то в этой точке
функция непрерывна.
Смысл
производной
- это скорость
изменения ф-ции
при изменении
аргумента.
y=f(x+x)-f(x),
y=f(x).
производной
в точке а называется
предел отношения
приращения
ф-ции к приращению
аргумента:
lim(y/x)=lim((f(x+x)-f(x))/x)=dy/dx
x0
x0
Вычисление
производной:
lim(y/x)=y`
x0
1)
если
y=x, y=x,
y`=x=lim(y/x)=1.
2)
если y=x2,
y=(x+x)2-x2=x2+2xx+x2-x2=x(2x-x),
(x2)`=lim((x(2x+x))/x)=lim(2x+x)=2x
x0
x0
Геометрический
смысл производной.
K
N=y,
MK=x
MNK/tg2=y/x
вычислим
предел левой
и правой части:
limtg=lim(y/x)
x0
tg0=y`
0
При
x0
секущая MNзанять
положение
касательной
в точке M(tg0=y`,
0)
Геометрический
смысл производной
заключается
в том, что есть
tg
угла наклона
касательной,
проведенной
в точке x0.
Теорема:
(связи между
непрерывностью
функции и
существование
производной)
Пусть
f’(x)
функция f(x)
– непрерывна.
Доказательство:
Пусть f(x)
определена
в О(х0)
и lim[f(x)-f(x0)]/(x-x0)=f’(x0)<
[f(x)-f(x0)]/(x-x0)=f(x0)+(x-x0)
∆xx
[f(x)-f(x0)]=f’(x0)(x-x0)+(x-x0)(x-x0)
при хх0
lin[f(x)-f(x0)]=limf’(x0)(x-x0)+lim(x-x0)(x-x0)=0+0=0linf(x)=f(x0)
то есть f(x)
непрерывна
в точки х0
xx
xx
xx
xx
Замечание:
обратное
утверждение
неверно, из-за
непрерывности
функции в точке
х0 не
следует существование
функции в этой
точки.
Пусть
функция f
имеет производную
в точке х
(конечную):
limx0y/x=f'(x).
Тогда y/x
для достаточно
малых x
можно записать
в виде суммы
f'(х) и некоторой
функции, которую
мы обозначим
через (x)
и которая обладает
тем свойством,
что она стремится
к нулю вместе
с х:
y/x=f'(x)+
(x)
(при (x)0,
x0)
и приращение
f в
точке х может
быть записано
в виде y=f'(x)x+x(x)
(при (x)0,
x0)
или y=f'(x)x+o(x)x0
[1].
Ведь выражение
о(x)x0
понимается
как функция
от x
такая, что её
отношение к
x
стремится к
нулю вместе
с x.
Определение:
Функция
f наз. дифференцируемой
в точке х, если
её приращение
y
в этой точке
может быть
представлено
в виде y=Ax+o(x)x0
[2],
где,
А не зависит
от x,
но вообще зависит
от х.
Теорема
№2: Для
того, чтобы
функция f была
дифференцируемой
в точке х, т.е.
чтобы её приращение
в этой точке
представлялось
по формуле [2],
необходимо
и достаточно,
чтобы она имела
конечную производную
в этой точке.
И тогда
A=f'(x).
Таким
образом, сказать,
что f имеет
производную
в точке х или
f дифференцируема
в точке х – это
одно и то же.
Поэтому процесс
нахождения
производной
наз. ещё дифференцированием
функции.
Доказательство
теоремы №1:
Достаточность
условия доказана
выше: из существования
конечной производной
f'(х)
следовала
возможность
представления
y
в виде [1], где можно
положить f'(x)=A.
Необходимость
условия:
Пусть функция
f дифференцируема
в точке x: Тогда
из [2], предполагая
x0,
получаем
y/x=A+(o(x)/x)x0=A+o[1]x0.
Предел правой
части при x0
существует
и равен А: Это
означает, что
существует
производная
f'(x)=A.
1. Производная
алгебраической
суммы равна
алгебраической
сумме производных.
.
Покажем
это. Пусть некоторая
функция у,
равная
имеет приращение
.
Тогда функции
и
тоже должны
получить приращения
и
, соответственно.
Новое значение
будет
,
а для
–
,
следовательно,

Найдем
по определению
(2) производной
.
2. Производная
произведения
равна
.
Покажем справедливость
этого равенства.
Если, как
в первом случае,
дать
приращение
,
то функции u
и v
также получат
приращение,
следовательно,
и функция
тоже изменится.
Найдем
.
.
По определению
производной
Если
необходимо
вычислить
производную
нескольких
сомножителей,
например,
,
если все три
функции имеют
производные
в точке
,
используя
правило вычисления
производной
для двух сомножителей,
получим

3.
Производная
частного.
Рассмотрим
функцию
,
причем, кроме
существования
производных
в точке
для функций
и
необходимо
положить,
что
в точке
отлична от
нуля. Найдем
.
и тогда из
определения
производной
имеем
.
Пример.
Показать, что
.
Решение.
Используя
производную
частного

18.Производная
основных элементарных
функций
19.Производная
обратной функции.
Производные
обратных
тригонометрических.
Производная
обратной функции:
Пусть
функция у=f(х)
строго возрастает,
непрерывна
на интервале
(а,b) и имеет конечную
не равную нулю
производную
f'(х)
в некоторой
точке х(a,b).
Тогда обратная
для f
функция х=f–1(у)=g(y)
также имеет
производную
в соответствующей
точке, определяемую
равенством
g'(y)=1/f'(x)
[1] или
x'y=1/y'x
[1']
Доказательство:
Как нам известно,
обратная функция
x=g(y)
строго возрастает
и непрерывна
на интервале
(A,В),
где A=inf
f(x),
В=sup
f(x)
x(a,b)
x(a,b)
(По
теореме о обратной
непрерывной
функции: Пусть
функция f
непрерывна
и строго возрастает
на (a,b)
(или на [a,b),
или (a,b])
и =inf
f(x),
=sup
f(x)
x(a,b)
x(a,b)
Тогда
образ интервала
(a,b)
(соответственно
[a,b),
(a,b])
есть интервал
(,)
(соответственно
[,),
(,])
и обратная к
f
функция x=g(y)
однозначна,
строго возрастает
и непрерывна
на (,)
[,),
(,])).
Дадим рассматриваемому
у приращение
y0.
Ему соответствует
приращение
x
обратной функции,
также не равное
нулю в силу
строгой монотонности
f.
Поэтому x/y=1/(y/x).
Если теперь
y0,
то в силу непрерывности
g(y)
приращение
x
также 0;
но при х0
y/xf'(x)0,
=>, существует
предел
limy0x/y=1/(limy0y/x)=1/f'(x).
Этим формула
[1] доказана.
Примечание:
Если f'(x)0
непрерывна
на (a,b),
то g'(y)
непрерывна
на (A,B).
Это следует
из [1], где можно
положить x=g(y):
g'(y)=1/f'[g(y)]
(y(A,B)).
Ведь сложная
функция f'[g(y)],
состоящая из
непрерывных
функций f'
и g,
непрерывна.
Основные
формулы:

Для
сложных функций:

В20.Производная
сложной функции.
Логарифмическая
производная.
Производная
функции,заданной
неявно.
Теорема
№1: Если
функция x=(t)
имеет производную
в точке t, а функция
y=f(x)
имеет производную
в точке х, то
сложная функция
у=F(t)=f[(t)]
(1) имеет
производную
(по t)
в точке t
и справедлива
равенство
F'(t)=f'(x)'(t)
(2)
или
y't=y'xx't
(3) Доказательство:
Зададим t, ему
соответствует
значение х=(t).
Придадим t приращение
t0.
это вызовет
приращение
x=(t+t)–
(t).
Так как функция
y=f(x)
имеет производную
в точке х, то
на основании
равенства
f'(x)=lim(x0)y/x=lim(x0)f(x+x)–f(x)/x,
имеем
y=f'(x)x+(x)x
(4),
где (x)0
при х0.
Будем считать,
что (0)=0.
Равенство (4)
при этом соглашении
выполняется,
т.к. если подставить
в него x=0,
то получится
0=0. Разделим теперь
равенство (4)
на t0:
y/t=f'(x)(x/t)+
(x)(x/t)
(5).
Пусть t0.
Тогда, потому
что функция
x(t)(t)
имеет производную
в точке t и, =>,
непрерывна.
Переходим в
равенстве (5) к
пределу при
t0.
Тогда x0
и (x)0,
поэтому получим
y't=f'(x)x'(t)+0x'(t)=f'(x)x'(t)=y'xx't.
Теорема доказана.
Формула
(1) может быть
усложнена.
Например, если
– z=f(y),
y=(x),
x=()
и все три функции
имеют производные
в соответствующих
точках, то
z'=z'yy'xx'
Логарифмическое
дифференцирование
Если требуется
найти
из
уравнения

,
то можно:
а) логарифмировать
обе части уравнения
;
б) дифференцировать
обе части полученного
равенства, где
есть
сложная функция
от х,
.
в) заменить
его
выражением
через х
.
Пример:

§6.
Метод логарифмического
дифференцирования.

5. Дифференцирование
неявных функций
Пусть
уравнение
определяет
как неявную
функцию от х.
а) продифференцируем
по х обе части
уравнения
,
получим уравнение
первой степени
относительно
;
б) из полученного
уравнения
выразим
.
Пример:
.

В21.Приращение
и дифференциал
функции одной
переменной.Условия
существования
диффренциала.
Инвариантность
форм записи
дифференциала
первого порядка.
Дифференциал
функции:
Пусть
функция y=f(x)
дифференцируема
в точке х: т.е.
для её приращения
у
в этой точке
выполняется
равенство [2].
Тогда у
есть сумма двух
слагаемых.
Первое из них
A x
пропорционально
x,
а в таких
случаях говорят,
что оно есть
линейная однородная
функция от х.
Второе – о(х)x0
является
бесконечно
малой функцией
высшего порядка
малости сравнительно
с x.
Если А0,
то второе слагаемое
стремится к
нулю при x0
быстрее, чем
первое. В связи
с этим первое
слагаемое A
x=f'(x)x
наз. главным
членом приращения
y.
Это слагаемое
называют
дифференциалом
функции
и обозначают
символом dy.
Итак, по
определению
dy=df=f'(x)x.
На (рис. 47) изображен
график Г функции
y=f(x);
Т
–касательная
к Г в точке A,
имеющей абсциссу
х; f'(x)=tg,
где
– угол, образованный
касательной
с осью х; dy=f'(х)x=tgx=CD,
DB=y–dy=o(x)x0.
Таким образом,
дифференциал
функции у в
точке х, соответствующий
приращению
x,
есть приращение
ординаты точки,
лежащей на
касательной
(dy=CD).
Вообще
говоря, dyy,
ибо y=dy+
o(x)x0,
а второй член
этой суммы,
вообще говоря,
не равен нулю.
Только для
линейной функции
у=Ах+В имеет
место равенство
у=А
x=dy
для любого х.
В частности,
для у=х, dy=dx=x
т.е. дифференциал
и приращение
независимой
переменной
равны между
собой (dx=x).
Поэтому
дифференциал
произвольной
функции f обычно
записывают
так: dy=f'(x)dx,
откуда f'(x)=dy/dx,
т.е.
производная
функции f
в точке х равна
отношению
дифференциала
функции в этой
точке к дифференциалу
независимой
переменной
х.
Это
объясняет, что
выражение dy/dx
употребляется
как символ для
обозначения
производной.
Надо иметь в
виду, что
дифференциал
dx независимой
переменной
не зависит от
х, он равен x
– произвольному
приращению
аргумента х.
Что же касается
дифференциала
dy функции у
(отличной от
х), то он зависит
от х и dx. Отметим
формулы:
d(u)=dud
[3];
d(u)=ud+du
[4];
d(cu)=cdu
(c
– постоянная)
[5];
d(u/)=(du–ud)/2
(при 0)
[6];
где предполагается,
что u
и
– дифференцируемые
функции в
рассматриваемой
точке х. Например,
формула [6] доказывается
так:

Определение:
Пусть y=f(x)
определена
в некоторой
О(х0)
– она называется
дифференцируемой
в точке х0,
если её приращение
в этой точки
представимо
в виде:
∆y=∆f(x0)=A∆x+(∆x)∆x)
(0)=0
A=const
Определение:
линейная
∆х
часть приращение
дифференцируемой
функции называется
дифференциалом
функции в точке
х0:
dy=df(x0)A∆x
Теорема:
Если функция
дифференцируема
в точке х0
то A=f’(x0),
то она имеет
производную
в этой точке,
то A=f’(x0);
наоборот если
функция имеет
производную
в этой точке,
то она дифференцируема
в этой точке
– называется
дифференциалом.
Доказательство:
Пусть y=f(x)
дифференцируема
в точке х0,
то есть в некоторой
О(х0)
справедливо
равенство
∆f(x0)=A∆x+(∆x)∆x1;
(0)=0.
Поделим обе
части этого
равенства на
∆х
и приведём к
пределу при
∆х0:
lim(∆f(x0))/∆x=lim(A+(x))=A.
Этот предел
существует,
меньше ,
тогда по определению
этот предел
есть
∆x0
∆x0
производная.
Доказательство:
(в обратную
сторону) Пусть
в точке х0
f’(x0)(<)
– это означает,
что f(x)
определена
в некоторой
О(х0)
и
lim(∆f(x0))/∆x=f’(x0)
по определению
предела следует,
что в некоторой
О(х0)
∆x0
(∆f(x0))/∆x=(∆х)+f’(x0)
при ∆х0
∆f(x0)=f’(x0)+(∆x)∆x,
так как lim(∆x)=0,
то в точке х0
y
(∆x)
может
∆х0
быть
лишь устранимым
разрывом . Устраним
его, определим
и доопределим:
(0)=0,
тогда ∆f(x0)=f’(x0)∆x+(∆x)∆x
A=f’(x0)
из установленного
соответствия
получим выражения
для дифференцируемой
функции df(x0)=f’(x0)∆x
Следствие:
по определению
полагают дифференциал
независимой
переменной
равной её приращению
dx=∆x
(х - независимая
переменная)
df(x)=f’(x)dx
f(x)=x
– вычислим
дифференциал
f’(x)=1
df(x)=dx=f(x)∆x=1∆x
Замечание:
дифференциал
функции зависит
от двух переменных
– от самой точки
х и от ей приращения
y=cosx
x0=/2
∆x=/180
y’=-sinx
y’(/2)=-sin(/2)=-1
dy(/2)=-1∆x=-1/180=-/180
Теорема:
Пусть y=f(x)
дифференцируема
в точке х0,
а z=g(y)
дифференцируема
в точке у0=f(x0),
тогда сложная
функция z=g(f(x)
- дифференцируема
в точке х0
и z’(x0)=g’(f)f’(x)
Доказательство:
(1) ∆z=g’(y0)∆y+(∆y)∆y
(2)
∆y=f(x0)∆x+(∆x)∆x
(0)=0
(0)=0
Подставим
в первое равенство
второе:
∆z=g’(y0)f(x0)∆x+g’(y0)(∆x)∆x+[f’(x0)+(∆x)∆x][f’(x0)∆x+(∆x0∆x]
lim∆z/∆x=limg’(x0)f’(x0)+limg’(x0)(∆x)+lim
(f’(x0)+(∆x)∆x)[f’(x0)+∆x]
z’(x0)=g’(y0)f’(x0)
что и требовалось
∆x0
∆x0 ∆x0
∆x0
доказать.Св-ва:
1.
(UV)`=U`V`,
то (UV)`dx=U`dxV`dx,
d(UV)=d(UV)
2.
(UV)`=U`V+V`U, то
(UV)`dx=V`dU+U`dV
3.d(c)=c`dx=0*dx=0
4.
d(U/V)`=(V`dU-U`dV)/V2.
Инвариантность
форм записи:
дифференциал
сложной функции
имеет тот же
вид, какой он
имел бы в том
случае, если
бы промежуточный
аргумент и был
независимой
переменной.
Иначе:форма
дифференциала
не зависит от
того, является
аргумент функции
независимой
переменной
или функцией
другого аргумента.
Найдем диф.сложной
функции: y=f(u),
u=g(x)
или y=(f(g(x))).
По правило
диффер.сложной
функции: dy/dx=f’(u)g’(x)
=> dy=f’(u)g’(x)dx
но g’(x)dx=du
поэтому dy=f’(u)du
В22.Геометрический
смысл дифференциала
функции одной
перменной.
Касательная
и нормаль к
плоскости.
Геометрический
смысл дифференциала
функции и уравнение
касательной.


f’(x0)=tg
уравнение
прямой : Y=kx+b
y0=f(x0)=kx0+b
k-угловой
коэффициент
прямой
k=tg=f’(x0)
Y=f(x0)+f(x0)-f’(x0)x0
b=f(x0)-kx0
Y=f(x)+f’(x0)(x-x0)
∆f(x0)=f’(x0)∆x+(∆x)∆x
при ∆х0
в некоторой
O(x0)
f(x0)=f’(x0)+f’(x0)∆x+(∆x)∆x
при ∆х0
Y=f(x0)+f’(x0)(x-x0)=f’(x0)+f’(x0)∆x
df(x0)=f’(x0)∆x
Геометрический
смысл дифференциала:
df(x0)
– это приращение
ординаты при
движение по
касательной
проведённой
к графику функции
в точки (х0;f(x0).
Замечание:
Часто
говорят о касательной
проведённой
в точке х0.
Линеаризация
функции.
Определение:
Замена
функции в окрестности
данной точки
линейной функции
называется
линеаризацией
функции, точнее
в О(х0)
заменяется
отрезком касательной
в точке х0.
(
*)
f(x)-Y=(∆x)∆x-o(∆x)
Если
в равенстве
(*) отбросить
правую часть,
то мы
получим
приближённое
равенство:
f(x)f(x0)+f’(x0)(x-x0),
xx0
Y=f(x0)+f’(x0)(x-x0)
– уравнение
касательной
в точке х0
Формула
получена из
определения
дифференциала
в точке х0
функции
f(x)=f(x0)+f(x0)∆x+o∆x
при ∆х0
– называется
критерием
дифференциальности
функции в точке
х0.
Рассмотрим
кривую, уравнение
которой есть
y=f(x). Возьмем на
этой кривой
точку М(х
,
у
),
и составим
уравнение
касательной
к данной кривой
в точке М, предполагая,
что эта касательная
не параллельна
оси Оу.
Уравнение
прямой с угловым
коэффициентом
в общем виде
есть у=kх + b. Поскольку
для касательной
k=f ў(x
),
то получаем
уравнение y=f
ў(x
)Чx
+ b. Параметр b
найдем из
условия, что
касательная
проходит через
точку М(х
,
).
Поэтому ее
координаты
должны удовлетворять
уравнению
касательной:
у
=
f ў(x
)Чx
+ b . Отсюда b=y
–
f ў(x
)Чx
.
Таким
образом, получаем
уравнение
касательной
y=f ў(x
)Чx
+y
- f ў(x
)Чx
или
Если
касательная,
проходящая
через точку
М(х
,
)
параллельна
оси ординат
(т.е. производная
в этой точке
не существует),
то ее уравнение
х=х
.
Н
аряду
с касательной
к кривой в данной
точке часто
приходится
рассматривать
нормаль.
Нормалью
к кривой в данной
точке называется
прямая, проходящая
через эту точку
перпендикулярно
к касательной
в данной точке.
Из
определения
нормали следует,
что ее угловой
коэффициент
связан
с угловым
коэффициентом
касательной
к равенством:
=
tg b = tg(90° + a) = - ctg a =
=
=
.
Учитывая,
что нормаль
также как и
касательная
проходит через
точку М(х
,
у
),
то уравнение
нормали к кривой
y=f(x) в данной точке
М имеет вид:
|
y
=
Ч(x
– x )+f(x0)
|
Ясно,
что если касательная
параллельна
оси Ох, т.е. f
ў(x
)=0
и ее уравнение
имеет вид
у=у
,
то нормаль в
этой же точке
будет перпендикулярна
оси Ох. Значит,
ее уравнение
имеет вид х=х
.
В23.Производные
и дифференциалы
порядка выше
первого функции
одной переменной.
Нарушение
инвариантности
форм записи.
Линейная замена
переменной.
Производные
функции, заданной
параметрически.
Существует
f’(x)
x(a,b),
тогда эта производная
сама является
функцией х
(х)=f’(x)
и можно ставить
о дифференцируемости
этой функции.
Существует
’(x)
x(a,b),
то мы называем
её второй производной
’(x)f’’(x)

Диф.высших
порядков не
инвариантен:
d2
y=d(F’(u)du)
Но здесь du=g’(x)dx
зависит от х
и поетому мы
получаем
d2y=d(F(u))du+F’(u)d(du)
или d2y=F’’(u)(du)2+F’(u)d2u
где d2u=g’’(x)(dx)2
Дифференцирование
функций, заданных
параметрически
Пусть
функция задана
параметрическими
уравнениями
,тогда
,
или
риме:
В24.Точка
монотонности
функции и достаточное
условие их
существования.Точки
экстремума
функции.Необходимое
условие экстремума
функции..
Если
x2>x1,
f(x2)>f(x1),
то ф-ция монотонно
возрастает
Если
x2>x1,
f(x2)1),
то ф-ция монотонно
убывает
Монотонность
- постоянство
Необходимые
признаки:1)если
ф-ция f(x)
всюду в интервале
возрастает,
то ее производная
в этом интервале
неотрицательна
(f`(x)>=0)
2)если
ф-ция f(x)
всюду в интервале
убывает, то ее
производная
в этом интервале
неположительная
(f`(x)<=0)
3)если
ф-ция f(x)
всюду в интервале
постоянна, то
ее производная
в этом интервале
=0 (f`(x)=0)
Достаточные
признаки
монотонности:
1)если f`(x)
в интервале
положительна,
то ф-ция f(x)
возрастает
в этом интервале.
2)если
f`(x)<0,
то ф-ция f(x)
возрастает
в этом интервале.
3)если
f`(x)=0,
то ф-ция f(x)=const
на интервале.
x12,
x2-x1>0,
x2>x1
1.
если f`(a)>0, то
f(x2)>f(x1)
2.
если f`(a)<0,
то f(x2)1)
3.
если f`(a)=0,
то f(x2)=f(x1)
Точка
х называется
точкой max
ф-ции, если значение
ф-ции в этой
точке - наименьшее
в некоторой
ее окрестности.
1-
локальный max
2-
локальный min
3-
глобальный
max
4-
глобальный
min
если
tg>0,
то f`(x)>0
если
tg<0,
то f`(x)<0
Необходимый
признак экстремума:
ф-ия f(x)
может иметь
max
и min
только в тех
точках, в которых
f`(x)=0
или не существует.
(В
них можно построить
касательных).
Достаточный
признак: точка
х0
является точкой
экстремума,
если ее производная
в этой точке
меняет знак:
-
если с “+” на
“-”, то х0-
т. max
-
если с “-” на
“+”, то х0-
т. min


В25
Теорема Роля
и ее геометрический
смысл.
Теорема
(Ролля):
Пусть
функция y=f(x)
непрерывна
на отрезке
[a,b]
и дифференцируема
на (a,b).
Кроме того на
концах интервала
она принемает
равные значения
f(a)=f(b),
тогда
с(a,b):
f(c)=0
Доказательство:
Така как функция
непрерывна
на отрезке
[a,b],
то по второй
теореме Вейштрасса
есть наибольшее
и наименьшее
значение (m,M), если
m=M,
то f(x)const
(x[a,b])
(const)’=0.
Пусть
mf(a):
c(a,b):f(c)=M,
то есть точка
с точка экстремума
максимума
следовательно
по теореме
Ферма f’(c)=0
Замечание:
условие
дифференцируемсти
нельзя отбросить.

непрерывна
на отрезке
[a,b]
Геометрический
смысл.

f’(x)=0,
то касательная
оси х. Теорема
не утверждает,
что это единственная
точка.

В26.ТеоремаЛангранжа
и Коши о диф.на
отрезках функциях.
Теорема
Лангранджа:
Пусть
функция y=f(x)
непрерывна
на отрезке
[a,b]
и дифференцируема
на отрезке
(а,b),
то
с(a,b):
f(b)-f(a)=f(c)(b-a)
Доказательство:
F(x)=f(x)+x
где
- пока неизвестное
число.
F(x)
– непрерывна
на отрезке
[a,b]
как сумма непрерывной
функции
f(x)
– дифференцируема
на отрезке
[a,b]
как сумма
дифференцируемой
функции.
Выберем
число ,
так чтобы на
отрезке [a,b]
F(x)
принимало
равное значение.
F(a)=f(a)+a
F
(b)=f(b)+b
F(a)=F(b)
f(a)-f(b)=(a-b)
=[f(b)-f(a)]/[b-a]
F(x)
– удовлетворяет
условию теоремы
Роллера на
отрезке [a,b]
c(a,b):F’(c)=0,
то есть F’(x)=f’(x)+
0=f’(c)+
f’(c)=-=[f(b)-f(a)]/[b-a]
То есть на кривой
которая наклонена
к оси х под таким
же углом как
и секущая
[f(b)-f(a)]/[b-a]=tg=f(x)
c(a,b)
Замечание:Часто
точку с можно
представить
в
нужном
виде: с=х0+∆х
0<(c-x0)/(x-x0)=
<1
c-x0=(x-x0)
c=x0+(x-x0)
f(x)-f(x0)=f’(x0+∆x)(x-x0)
0<<1
∆f(x0)=f’(x0+∆x)∆x
Если
f(x),
g(x)
удовл. трем
условиям:
1).
f(x),
g(x)
непрерыв. на
промеж [a,b]
2).
f(x),
g(x)
деффер. на интервале
(a,b)
3).
g’(x)0
на интер. (a,b),
то сущ. т. с

:
Отметим прежде
всего, что g(b)g(a),
так как по теореме
Ролля для функции
g(x)
F(x)=(f(x)-f(a))
(g(b)-g(a))-(f(b)-f(a))(g(x)-g(a))
–вспомогательная
фун-я
Требуем:1.F(x)
определена
и непрерывна
на всем [a;b]т.к.
она линейная
кобминация
непрерывных.2.F(x)
дифференцируема
на всем промежутке
т.к. коомб. 3. F(a)=0
F(b)=0
F(a)=F(b)=0
– все условия
т.Ролля => внутри
[a;b]
есть С, где F’(C)=0
выразим это
f’(x)(g(b))-g(a))-(f(b)-b(a))g’c=0
Справедлива,
тюк. g(b)!=g(a)по
Ролю
В27.Правило
Лопиталя.
Правила
Лопиталя.
Это
правило в случае
дифференцируемости
функции позволяет
избавляться
от неопределённостей
типа 0/0 или /
при вычисление
пределов.
Теорема:
Пусть
функции f(x)
и g(x)
дифференцируемы
в О(х0),
g’(x0)0
в О(х0),
f(x0)=g(x0)=0
и
lim
f’(x)/g’(x)=k
(конечный или
бесконечный
предел), тогда
lim
f(x)/g(x)=lim
f’(x)/g’(x)=k
xx
xx
xx
Доказательство:
lim
f(x)/g(x)=lim
[f(x)-f(x0)]/g(x)-g(x0)=lim
f’(c(x))/g’(c(x))=
c=c(x)
лежащая между
х их0
если
xx
xx
xx
хх0
то сх0=lim
f’(x)/g’(x)=k
xx
Замечание(1):
f(x0)=g(x0)=0
требование
можно заменить
требованием
lim
f(x)=0,
lim
g(x)=0,
то есть в т х0
f(x)
и
xx
xx
g(x)
могут иметь
устранимый
разрыв, действительно
достаточно
переопределить
или доопределить
f(x)
и g(x)
по непрерывности,
так чтобы
f(x0)=g(x0)=0
Замечание(2):
Если
f’(x0)
и g’(x0),
g’(x0)0,
то утверждение
теоремы будет:
lim
f(x)/g(x)=lim
f’(x)/g’(x)=lim
[(x-x0)(f’(x0)+(x-x0))]/
[(x-x0)(g’(x0)+
(x-x0))]=f’(x0)/g’(x0)
xx
xx
xx
Теорема:
(/)
Пусть
функции f(x)
и g(x)
непрерывны
в О(х0),
g'(x)0
и О(х0),
дифференцируемы
в О(х0)
и
lim
f(x)=lim
g(x)=;
lim
f’(x)/g’(x)=k.
Тогда lim
f(x)/g(x)=lim
f’(x)/g’(x)=k
xx
xx
xx
xx
xx
Без
доказательства!
Замечание:
Если функции
f’(x)
и g’(x)
сами удовлетворяют
условия теоремы
то правило
Лопиталя можно
применить
повторно:
f(x)=ex
g(x)=xn
x
lim
ex/xn=
lim ex/1!=
nN
lim ex/xn=
lim ex/nxn-1=
lim ex/[n(n-1)xn-2]=lim
ex/n!=+
x
+
x+
x+
x+
x+
x+
f(x)=lnx
x+
g(x)=xn
lim
lnx/xn=
lim (1/x)/nxn-1=
lim 1/nxn=0
x+
x+
x+
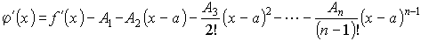
В28.Формула
Тейлора с остаточным
членом в форме
Лангранжа.
Пусть
на интервале
[a, b]
функция f(x)
дифференцируема
n раз и выполняются
следующие
равенства:
f(a)
= f(b) = f '(a) = f ''(a)= ... =
f (n-1)(a)=0
Тогда
внутри интервала
[a, b]
найдется хотя
бы одно значение
с,
при котором
f
(n)(c)
= 0
Доказательство.
По теореме
Ролля
имеем
f
'(x0
) = 0,
где
a < x0
< b. Тогда
f '(x)
на интервале
[a, x0]
удовлетворяет
теореме Ролля,
так как, по условию,
f '(a) = 0
и f '(x0
) = 0, а
потому
f
''(x1
) = 0,
где
a
< x1
< x0.
Применяя
теорему Ролля
последовательно
к функциям
f ''(x), f '''(x), ..., f (n-1)(x),
найдем наконец:
f (n)(с)
= 0,
где
a < c <
xn-1
< b . Теорема
доказана.
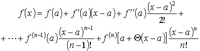
Выведем
теперь формулу
Тейлора с остаточным
членом в форме
Лагранжа.
Пусть
функция f
(x)
дифференцируема
n
раз на интервале
[a, b].
Рассмотрим
вспомогательную
функцию
(x)
= f (x) - P (x),
где

Продифференцируем
n
раз функцию
(x).
Тогда
будем
иметь



.
. . . . . . . . . . . . . . . . . . . . . . . . . .
.
(n-1)(x) = f(n-1)(x) - An-1 - An(x - a),
(n)(x) = f(n)(x) - An
Потребуем,
чтобы функция
(x)
удовлетворяла
условиям обобщенной
теоремы Ролля.
Тогда будем
иметь
(1)
.
Так
как функция
(x)
удовлетворяет
условиям обобщенной
теоремы Ролля,
то найдется
такое значение
с (a < c < b),
что
(n)(с) = f(n)(с) - An = 0 (2)
Далее
найдем из n
первых уравнений
системы (1)
коэффициенты
A0 ,
A1 ,
..., An-1:
A0 = f(a),
A1 = f'(a),
A2 = f''(a),
..., An-1 = f(n-1)(a),
а
из уравнения
(2) коэффициент
An:
An = f(n)(c)
и подставим
их значения
в последнее
уравнение
системы (1):
,
где
0 < < 1
Заменяя
b
на x,
получим формулу
Тейлора:

где
0 < < 1
Последнее
слагаемое

называется
остаточным
членом в форме
Лагранжа.
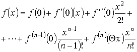
При
a = 0
получается
так называемая
формула
Маклорена:

где
0 < < 1,
а остаточный
член записывается
в виде

В29.Условие
монотонности
функции на
промежутке.
Условие постоянства
функции на
промежутке
и его свойства.

Пусть
f(x)
определена
и непрерывна
на [a;b]
и имеет конечную
производную
во всех точках.Для
того, чтобы
функ-я была
постоянной
достаточно
чтобы производная=0
в каждой точке
отрезка.
Док-во
по теореме
лангранжа есть
хоть одно С из
(x0,x)
для которого
f(c)=f(x0)+f’(c)(=0)(x-x0)
(f’(x)-f(x))/(x’-x0)=f’(c)
f(x)=f(x)
Следствие:
f(x)
и g(x)
непрер, имеют
производн и
если производн
совпад., то фун-и
отличаются
на постоянную
величину.
Док-во:
h(x)=f(x)-g(x)
h’(x)=f’(x)-g’(x)=0
f-g=c
f=g+c
В30.Достаточные
признаки экстремума
функции 1 переменной
Экстремумы
функции.
М
ожно
указать О(х1)
в которой все
значения функции
f(x)1)
b
и О1(х1)
анологично
для точки х2
f(x)>f(x1)
b
и О2(х1).
Значенгие
функции в точке
М1,
М3
и М5 –
max;
M2
и М4
– min
– такие точки
назавыются
точкками
экстремума
или
точками локального
max
и min.
Определение:
(точки экстремума)
Пусть
функия f(x)
определена
в некоторой
О(х0)
и f(x)>f(x0)
в
О(х0)
или f(x)0)
в этом случае
точка х0
– называется
точкой локального
max
(min).
З
амечание:
f(x)f(x1)
в О1(х1)
f(x)f(x2)
в О2(х2)
говорят,
что точки х1
и х2 точки
не строгого
локального
экстремума.
Теорема:
(Ферма) (о необходимости
условия экстремума
дифференцируемой
функции)
Пусть
y=f(x)
дифференцируема
в точки х0
и точка х0
– точка экстремума,
тогда f(x0)=0
Доказательсто:
Заметим, что
х0
точка экстремума,
то в её окрестности
f(x)
– f(x0)
сохраняет знак.
Запишем условие
∆f(x0)=f(x)-f(x0)(x-x0)+o(x-x0)
f(x)-f(x0)=(x-x0)[f(x0)+(x-x0)]
то при х – достаточно
близких к х0
знак выражения
стоящего в
квадратных
скобках совпадает
со знаком f’(x0)0
(x-x0)
– меняет знак
при переходе
черех точку
х0
f’(x0)=0
Функция
u=f(Р)
имеет максимум
(минимум) в точке
P0(x01,...,x0n),
если существует
такая окрестность
точки P0,
для всех
точек Р (x1,...,xn)которой,
отличных от
точки P0,
выполняется
неравенство
f(Р0)>f(Р)
(соответственно
f(Р0)экстремумом.
Необходимое
условие экстремума:
Если дифференцируемая
функция f(Р)
достигает
экстремума
в точке P0,
то в этой точке
f'xk(P0)=0
для всех k=1,2,...,n
{1} или
df(P0,x1,...,xn)=0
тождественно
относительно
,x1,...,xn.
Точки, в которых
выполняются
условия {1} наз.
стационарными
точками функции
u=f(Р).
Таким образом,
если P0
– точка экстремума
функции u=f(P),
то либо P0
– стационарная
точка, либо в
этой точке
функция не
дифференцируема.
Достаточные
условия экстремума.
Пусть P0(x01,...,x0n)
– стационарная
точка функции
u=f(P),
причем эта
функция дважды
дифференцируема
в некоторой
окрестности
точки P0
и все её
вторые частные
производные
непрерывны
в точке P0.
Тогда: (1)
если второй
дифференциал
d2u(P0(x1,...,xn))
как функция
x1,...,xn
имеет постоянный
знак при всевозможных
наборах значений
x1,...,xn
не равных
одновременно
нулю, то функция
u=f(P)
имеет в точке
P0
экстремум,
а именно – максимум
при d2u(P0(x1,...,xn))<0
и минимум при
d2u(P0(x1,...,xn))>0;
(2)
если d2u(P0(x1,...,xn))
является
знакопеременной
функцией
x1,...,xn,
т.е. принимает
как положительные,
так и отрицательные
значения то
точка P0
не является
точкой экстремума
функции u=f(P); (3)
если d2u(P0(x1,...,xn))0
или d2u(P0(x1,...,xn))0,
причем, существуют
такие наборы
значений x1,...,xn
не равных
одновременно
нулю, для которых
значение второго
дифференциала
обращается
в нуль, то функция,
u=f(P)
в точке P0
может иметь
экстремум, но
может и не иметь
его (в этом случае
для выяснения
вопроса требуется
дополнительное
исследование).
В частном случае
функции двух
переменных
достаточные
условия экстремума
можно сформулировать
следующим
образом. Пусть
P0(x0,y0)
– стационарная
точка функции
z=f(x,y)
причем эта
функция дважды
дифференцируема
в некоторой
окрестности
точки P0
и все её
вторые частные
производные
непрерывны
в точке P0.
Введем обозначения:
A=f''xx(x0,y0),
B=f''xx(x0,y0),
C=f''xx(x0,y0)
D=AC–B2.
Тогда: [1]
если D>0,
то функция
z=f(х,у)
имеет в точке
Р0(x0,y0)
экстремум, а
именно – максимум
при А<0 (С<0) и минимум
при А>0 (С>0); [2]
если D<0, то экстремум
в точке Р0(x0,y0)
отсутствует;
[3]
если D=0,
то требуется
дополнительное
исследование.
В31.Вогнутость,
выпуклость,
точки перегиба
графика функции.
Условиях их
существования


В
ыпуклость
и вогнутость.
Определение:
Пусть
функция f(x)
– дифференцируема
в
точке
х0, то
она называется
выпуклой (вогнутой)
в верх
в
точке х0,
если f(x)-yкас<0
в О(х0)

Определение:
Пусть
функция f(x)
– дифференцируема
в
точке
х0, то
она называется
выпуклой (вогнутой)
вниз в
точке
х0, если
f(x)-yкас>0
в О(х0)
Определение:
Пусть
функция f(x)
– дифференцируема
в
точке
х0, то
она называется
выпуклой (вогнутой)
в верх
(вниз)
на интервале
(a,b),
если она выпукла
в верх (вниз)
в
каждой точке
этого интервала.
Определение:
(точки перегиба)
Пусть
функция f(x)
диф-
ференцируема
в
О(х0)
и непрерывна
в О(х0).
Точка х0
–
называется
точкой перегиба
графика f(x),
если при пере-
ходе
через точку
меняется знак
выпуклости.
Теорема:
(о достаточном
условие выпуклости
функции).
Пусть
функция f(x)
дважды дифференцируема
в точке х0
и f’’(x0)<0
(f’’(x0)>0),
тогда f(x)
– выпукла вверх
(вниз) в тоске
х0.
Доказательство:
Напишем формулу
Тейлора с остаточным
членом в форме
пеано:
Если
х близко к х0,
то знак квадрата
скобки определяется
знаком f(x0).
Если f’’(x0)<0,
то f(x)-yкас>0
в О(х0).
Если
f’’(x0)>0,
то f(x)-yкас>0
в О(х0)
Теорема:
Путь функция
f(x)
непрерывна
в О(х0)
и дважды дифференцируема
в О(х0),
причём f’(x)
меняет знак
при переходе
через точку
х0, тогда
точка х0
– точка перегиба.
Доказательство:
f’’(x)
- +
(
) x
x0
f’’(x)<0
в O-(x0)
f(x)
– выпукла вверх
в О-(х0)
f’’(x)>0
в O+(x0)
f(x)
– выпукла вниз
в О+(х0)
Следствие:
Если f(x)
дважды дифференцируемы
в точке х0.
Если точке х0
точка перегиба,
то f’’(x0)=0
Путь
точка х0
точка перегиба
и существует
f’’(x0)>0,
тогда

то есть
при переходе
через точку
х0 левая
часть равенства
f(x)-yкас
не меняет знак.
Аналогично
получаем для
f(x)>0
f’’(x0)=0
Замечание:
Условие
равенства
f’’(x0)=0
необходимо,
но недостаточно.
В32.Вертикальные
и наклонные
асимптоты
графика функции.
Асимптоты.
Вертикальные
Пусть
функция f(x)
определена
в
,
тогда прямая
х=х0
называется
правой вертикальной
асимптотой
для функции
f(x) 
Пусть
функция f(x)
определена
в
,
тогда прямая
х=х0
называется
левой вертикальной
асимптотой
для функции
f(x)

Наклонные
асимптоты
2.1 Пусть функция
f(x)
определена
в
,
тогда прямая
y=kx+b
называется
правой наклонной
асимптотой
для функции
f(x).
(Если k=0,
то говорят, что
y=b
– горизонтальная
асимптота).

2.2 Пусть функция
f(x)
определена
в
,
тогда прямая
y=kx+b
называется
левой наклонной
асимптотой
для функции
f(x).

Необходимые
и достаточные
условия существования
наклонной
асимптоты.
Пусть функция
f(x)
определена
в О(+)
и

тогда
прямая y=kx+b
правая наклонная
асимптота

Замечание:
если условие
1) не выполнено,
то нужно посчитать
предел lim(f(x)),
чтобы выяснить
поведение
х+
функции
на бесконечности.
В33.Функции
нескольких
переменных:
открытые множества,
окресности,
области.Пределы
и непрерывность
функции.
Предел
и непрерывность
ф-ции нескольких
переменных.
Величина
U
наз-ся ф-цией
переменных
(x1,x2...xn),
если каждой,
рассматриваемой
в совокупности
этих величин
соотв-ет 1 определенное
значение величины
U.
Пусть
f(M)=M0(x10,
x20,...
xn0),
M(x1,
x2,...
xn)
Ф-ция
f(M)=f(x1,
x2,...
xn)
имеет предел
А при М0М,
если каждому
значению как
угодно малого
числа (дельта)
соотв-ет, как
угодно малое
заданное число
>0,
если |M0M|=,
то |f(M)-A|<
Ф-ция
f(M)
наз-ся непрерывной
в точке М0,
если б.м. приращению
любого аргумента
соответствует
б.м. приращение
ф-ции.
limf(x10,
x20,...
xn0)=limf(x1,
x2,...
xn)
x10
x1
x20
x2
Точки
экстремума
и экстремумы
функций:
Функция
u=f(Р) имеет
максимум (минимум)
в точке P0(x01,...,x0n),
если существует
такая окрестность
точки
P0,
для
всех точек Р
(x1,...,xn)которой,
отличных от
точки
P0,
выполняется
неравенство
f(Р0)>f(Р)
(соответственно
f(Р0)экстремумом.
Необходимое
условие экстремума:
Если дифференцируемая
функция f(Р)
достигает
экстремума
в точке P0,
то в этой точке
f'xk(P0)=0
для всех
k=1,2,...,n
{1}
или
df(P0,x1,...,xn)=0
тождественно
относительно
,x1,...,xn.
Точки,
в которых выполняются
условия {1}
наз.
стационарными
точками функции
u=f(Р). Таким
образом, если
P0
– точка
экстремума
функции u=f(P),
то либо
P0
–
стационарная
точка, либо в
этой точке
функция не
дифференцируема.
Достаточные
условия экстремума.
Пусть P0(x01,...,x0n)
– стационарная
точка функции
u=f(P),
причем эта
функция дважды
дифференцируема
в некоторой
окрестности
точки P0
и все
её вторые частные
производные
непрерывны
в точке P0.
Тогда:
(1)
если второй
дифференциал
d2u(P0(x1,...,xn))
как функция
x1,...,xn
имеет постоянный
знак при всевозможных
наборах значений
x1,...,xn
не равных
одновременно
нулю, то функция
u=f(P)
имеет в точке
P0
экстремум,
а именно
– максимум
при d2u(P0(x1,...,xn))<0
и минимум при
d2u(P0(x1,...,xn))>0;
(2)
если d2u(P0(x1,...,xn))
является
знакопеременной
функцией
x1,...,xn,
т.е. принимает
как положительные,
так и отрицательные
значения то
точка
P0
не является
точкой экстремума
функции u=f(P);
(3)
если d2u(P0(x1,...,xn))0
или d2u(P0(x1,...,xn))0,
причем, существуют
такие наборы
значений x1,...,xn
не
равных одновременно
нулю, для которых
значение второго
дифференциала
обращается
в нуль,
то функция,
u=f(P) в
точке P0
может
иметь экстремум,
но может и не
иметь его (в
этом случае
для выяснения
вопроса требуется
дополнительное
исследование).
В частном случае
функции двух
переменных
достаточные
условия экстремума
можно сформулировать
следующим
образом. Пусть
P0(x0,y0)
– стационарная
точка функции
z=f(x,y)
причем эта
функция
дважды дифференцируема
в некоторой
окрестности
точки P0
и все
её вторые частные
производные
непрерывны
в точке P0.
Введем обозначения:
A=f''xx(x0,y0),
B=f''xx(x0,y0),
C=f''xx(x0,y0)
D=AC–B2.
Тогда:
[1]
если
D>0, то
функция
z=f(х,у)
имеет в точке
Р0(x0,y0)
экстремум, а
именно
– максимум
при А<0 (С<0)
и минимум при
А>0 (С>0);
[2]
если D<0, то экстремум
в точке
Р0(x0,y0)
отсутствует;
[3]
если
D=0, то
требуется
дополнительное
исследование.