| ------ Universität---------
Sympathoadrenerges System und Katecholamine im Sport

Dozent: Hr. Dr.----------
HS: ---------------
Referent: ----------
Imtr.Nr.(--): -------- --------- den 31.03.2004
Bei körperlicher Arbeit oder bei einer intensiven sportlichen Belastung kann der Energiebedarf einzelner besonders beanspruchter Muskeln auf das Zweihundertfache des Ruhewertes ansteigen, was zu einer entsprechenden Erhöhung des Sauerstoff- und Energiebedarfs führt. Um diesen gesteigerten Bedarf zu decken, müssen sich alle Versorgungssysteme des Körpers auf die Belastungssituation umstellen. Das Herz muss schneller und kräftiger schlagen, die Lunge muss tiefer und schneller atmen, die Gefäße der arbeitenden Muskulatur müssen sich erweitern usw.
Die Regelung all dieser Anpassungsvorgange übernimmt das vegetative Nervensystem, dessen oberstes Integrations- und Befehlszentrurn im zentralen Nervensystem der Hypothalamus ist.
Das periphere vegetative Nervensystem besteht aus zwei anatomisch und funktionell weitgehend getrennten Anteilen, dem Sympathikus und dem Parasympathikus.
Für die Anpassungsvorgänge der inneren Organe an akute sportliche Belastungssituationen spielt der Sympathikus die wichtigere Rolle, während manche Trainingsveränderungen dem Parasympathikus zugeschrieben werden.
Anatomische Grundlagen
Die vegetativen Zentren des Sympathikus liegen im Rückenmark der Brustwirbelsäule und der oberen Lendenwirbelsäule. Die kurzen Fasern der sympathischen Neurone verlassen das Rückenmark durch die Zwischenwirbellöcher und enden an den Ganglien (Nervenzellansammlungen) des Grenzstranges. Der Grenzstrang
verbindet die 22 rechts und links der Wirbelsäule angeordneten Ganglienknotenpaare durch längs verlaufende Nervenstränge.
Ein Teil der sympathischen Fasern zieht durch die Grenzstrangganglien hindurch und endet in den sogenannten terminalen Ganglien, dessen bekanntestes das Sonnengeflecht
ist. Das Sonnengeflecht liegt in der Tiefe der Magengegend und versorgt sympathisch sämtliche Organe der Bauchhöhle. Bei Gewalteinwirkung auf das Sonnengeflecht kommt es zur Bewusstlosigkeit infolge reflektorischer Fehlschaltungen der Blutverteilung (wahrscheinlich K. O. beim Boxen).
Забиваем Сайты В ТОП КУВАЛДОЙ - Уникальные возможности от SeoHammer
Каждая ссылка анализируется по трем пакетам оценки: SEO, Трафик и SMM.
SeoHammer делает продвижение сайта прозрачным и простым занятием.
Ссылки, вечные ссылки, статьи, упоминания, пресс-релизы - используйте по максимуму потенциал SeoHammer для продвижения вашего сайта.
Что умеет делать SeoHammer
— Продвижение в один клик, интеллектуальный подбор запросов, покупка самых лучших ссылок с высокой степенью качества у лучших бирж ссылок.
— Регулярная проверка качества ссылок по более чем 100 показателям и ежедневный пересчет показателей качества проекта.
— Все известные форматы ссылок: арендные ссылки, вечные ссылки, публикации (упоминания, мнения, отзывы, статьи, пресс-релизы).
— SeoHammer покажет, где рост или падение, а также запросы, на которые нужно обратить внимание.
SeoHammer еще предоставляет технологию Буст, она ускоряет продвижение в десятки раз,
а первые результаты появляются уже в течение первых 7 дней.
Зарегистрироваться и Начать продвижение
Übertragungswege
Während die präganglionaren Fasern ihre Impulse in den Ganglien mit Hilfe des Azetylcholins auf die postganglionären Fasern übertragen, kontrollieren die postganglionären Fasern das Erfolgsorgan durch einen anderen Überträgerstoff, das Noradrenalin.
Wenn das zentrale Nervensystem die Ausführung einer Bewegung plant, informiert es sofort die vegetativen Zentren über diese Absicht. So kamt es schon vor dem Start zu entsprechenden Funktionsanpassungen der inneren Organe kommen, die man zusammengefasst als zentrale Mitinnervation
bezeichnet.
Die durch das vegetative Nervensystem ausgelösten Umstellungsvorgänge (Herzfrequenzsteigerung, Blutdrücksteigerung, Atemfrequenzsteigerung, Blutumverteilung usw.)
Im Zusammenhang mit der Aktivität des sympathischen Anteils des vegetativen Nervensystems spielt das Nebennierenmark
eine besondere Rolle. Das Nebennierenmark ist ein umgewandeltes sympathisches Ganglion, aus dem in Notfallsituationen (Blutverlust, Unterkühlung, extreme körperliche Belastung) große Mengen von Adrenalin (80 Prozent) und Noradrenalin (20 Prozent), die man zusammen als Katecholamine
bezeichnet, in die Blutbahn ausgeschüttet werden. Adrenalin und Noradrenalin werden von verschiedenen
NNM-Zellen produziert. Die Ruheausschüttung
beträgt etwa 8—10 ng je kg Körpergewicht und Minute. Sie ist zentralnervös bedingt und hängt von der Ruheaktivität in den präganglionären Fasern ab. In Körperruhe sind über 80% der zirkulierenden Katecholamine sulfatgebunden. Während der Arbeit vermindert sich dieser Prozentsatz aus unbekannten Gründen.
Wirkungen der Katecholamine aus dem NNM
Der Reiz für Katecholaminfreisetzung aus dem Nebennierenniark ist immer ein Impuls aus den präganglionären sympathischen Fasern bei erhöhter Sympathikusaktivität, die wiederum zentral durch den Hypothalamus gesteuert wird.
Diese sind normalerweise wahrscheinlich nur für Organe oder Organbereiche wichtig, die wenig oder nicht durch postganglionäre Neurone innerviert sind (z. B. Arterien mit großem Durchmesser). Für Organe mit dichter noradrenerger Innervation (z. B. kleine Arteriolen) spielt sie kaum eine Rolle, weil relativ wenige extrasynaptische Adrenozeptoren vorhanden sind. Die aus dem Nebennierenmark ausgeschütteten Katecholamine scheinen überwiegend der Regulation metabolischer Prozesse
zu dienen. Sie mobilisieren katalytisch freie Fettsäuren
aus Fettgewebe, ferner Glukose
und Laktat
aus Glykogen. Die Katecholamine des NNM sind also in ersten Linie als Stoffwechselhormone
zu betrachten. Diese metabolischen Wirkungen der Katecholamine werden durch (ß) -Adrenozeptoren
vermittelt.
Сервис онлайн-записи на собственном Telegram-боте
Попробуйте сервис онлайн-записи VisitTime на основе вашего собственного Telegram-бота:
— Разгрузит мастера, специалиста или компанию;
— Позволит гибко управлять расписанием и загрузкой;
— Разошлет оповещения о новых услугах или акциях;
— Позволит принять оплату на карту/кошелек/счет;
— Позволит записываться на групповые и персональные посещения;
— Поможет получить от клиента отзывы о визите к вам;
— Включает в себя сервис чаевых.
Для новых пользователей первый месяц бесплатно.
Зарегистрироваться в сервисе
In Notfallsituationen,
wie bei Blutverlust, Unterkühlung, Hypoglykämie, Hypoxie, Verbrennung oder bei extremer körperlicher Belastung, erhöht sich die Ausschüttung von Katecholaminen aus dein NNM.
Abgesehen von den Notfallsituationen wird das NNM ganz besonders bei emotionaler Belastungen
aktiviert. Es kann kurzzeitig zu mehr als dem 10-fachen der Ruheausschüttung der Katecholamine kommen. Diese Ausschüttungen werden durch den Hyporhalamus und das limbische System gesteuert.
Die Reaktionen der Effektororgane, die in Notfallsituationen und bei starkem emotionalem Stress durch die Aktivierung der postganglionären sympathischen Neurone und des NNM zustande kommen, werden auch Notfallreaktionen
genannt. Während dieser Reaktionen scheinen nahezu alle Ausgänge des sympathischen Nervensystems einheitlich
aktiviert zu werden. Deshalb spricht man in diesem Zusammenhang auch vom svtnpathikaadrenalen System.
Diese einheitliche Reaktion des sympathischen Nervensystems unter Extrembedingungen wird besonders vom Hypothalamus ausgelöst, z.B.
beim Abwehrverhalten.
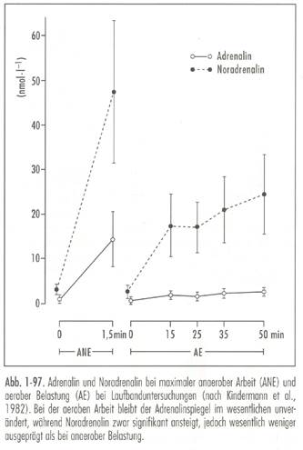
Es bestehen enge Beziehungen zwischen dem belastungsbedingten Anstieg des Lactatspiegels im arteriellen Blut und der Zunahme von Noradrenalin und Adrenalin. Der belastungsbedingte Anstieg des Noradrenalins entstammt vermutlich dem Skelettmuskel. Bei intensiver Arbeit kleiner Muskelgruppen mit entsprechend geringer maximaler Sauerstoffaufnahme steigen die Katecholamine höher an als bei der Arbeit mit großen Muskelgruppen mit hoher maximaler 02
-Aufnahme. Der Plasma- Adrenalinaufstieg ist in Relation zu dem des Noradrenalin bei statischer Arbeit stärker als bei dynamischer. Bei konstanter Größe der Sauerstoffaufnahme steigen Noradrenalin und besonders Adrenalin bis zum Zeitpunkt der Erschöpfung an. Auch bei Hypoxie nimmt auf gegebenen Belastungsstufen und damit unveränderter Größe der Sauerstoffaufnahme der Katecholaminspiegel stärker zu als unter Normalverhältnissen. Umgekehrt bewirkt Hyperoxie eine geringe Reduzierung des Katecholaminspiegels.
Bei der allgemeinen aeroben Langzeitausdauer nimmt die hormonelle Regulation eine zentrale Bedeutung ein. Die Katecholamine Adrenalin, Noradrenalin und Dopamin steigen in Abhängigkeit von der Belastungsintensität und -dauer an. Die Arbeitsreaktion wird auch von der Körpertemperatur beeinflusst, welche vor allem Noradrenalin zunehmen lässt. Bei Frauen fällt die Belastungsreaktion in der Follikelphase höher aus als in der Lutealphase.
Während Adrenalin vornehmlich die Glykogenolyse und die Glukoneogenese in der Muskulatur und in der Leber sowie die Lipolyse im Muskel- und Fettgewebe bewirkt, ist Noradrenalin vornehmlich für die Lipolyse im Fettgewebe verantwortlich, weniger in den Muskelzellen. Zusätzlich fördert es die muskuläre Glukoseaufnahme.
Zur Katecholaminfreisetzung kommt es nicht nur, wenn das sympathische Nervensystem die Organsysteme des Körpers auf die Abwehr äußerer Belastungssituationen vorbereitet, sondern auch bei emotionaler Belastung. Es ist denkbar, dass durch zu oft auftretende emotionale Belastungen (Stress-Situationen) im Alltag und Berufsleben der Katecholaminspiegel im Blut oft unnötig ansteigt und so das Entstehen verschiedener Erkrankungen begünstigt.
Parasympathikus
Die vegetativen Zentren des Parasympathikus liegen im Hirnstamm und im Sacralmark. 75 Prozent der parasympathischen Nervenfasern verlassen den Hirnstamm mit dem 10. Gehirnnerv, dem Vagus.
Deswegen wird der Parasympathikus oft vereinfachend als Vagus bezeichnet.
Die Umschaltstellen — die Ganglien des Parasympathikus liegen in der Nähe oder sogar innerhalb der Erfolgsorgane. Überträgerstoff des parasympathischen Nervensystems ist das Acetylcholin, und zwar an den präganglionären wie an den postganglionären Nervenendigungen. Die meisten inneren Organe werden sowohl vom Sympathikus als auch vom Parasympathikus innerviert. Die Wirkung des Parasympathikus ist derjenigen des Sympathikus zumeist entgegengesetzt. So fördert zum Beispiel der Parasympathikus den Aufbau der Energiereserven in der Leber und in der Muskulatur. er intensiviert die Verdauungsvorgänge und ökonomisiert die Herzarbeit.
Während bei körperlicher Arbeit der Sympathikuseinfluss auf alle Organe überwiegt, ist die Aufgabe des Parasympathikus die schnelle Wiederauffüllung des Energiedepots und die Einregulierung der Organfunktionen auf die Ausgangsleistung. Deswegen wird der Parasympathikus auch als Erholungsnerv
bezeichnet.
Herz
Sympathikus und Parasympathikus (N.vagus) beeinflussen das Herz vermittels ihrer Überträgerstoffe Noradrenalin bzw. Azetylcholin. Einflüsse auf die Erregungsbildung (positiv bzw. negativ chronotrope Wirkung) greifen vor allem an den langsamen diastolischen Depolarisationen in den Schrittmacherzellen an. Noradrenalin bewirkt eine Versteilung, Azetylchoin eine Abflachung der diastolischen Depolarisationen. Der Vagus vermindert die Kontraktionskraft vor allem in den Vorhöfen (negativ inotrope Wirkung). Der Sympathikus verstärkt sie in Vorhöfen und Ventrikeln (positiv inotrope Wirkung). Einflüsse der vegetativen Herznerven auf die Erregungsleitung betreffen nur die AV-Region. Der Sympathikus beschleunigt die atrioventrikuläre Leitung, der Vagus verlangsamt sie.
Katecholaminwirkungen.
Für die Wirkungen des Sympathikus bzw.
seines Überträgerstoffes Noradrenalin ist eine Verstärkung des langsamen Ca2+
Einwärtsstroms infolge Erhöhung der
Ca2
+
Leitfähigkeit
experimentell gut gesichert. Dasselbe gilt für Adrenalin aus dem Nebennierenmark. Dieser Effekt erklärt die positiv inotrope Wirkung durch eine Intensivierung der elektromechanischen Koppelung. Die mit der positiv inotropen Wirkung einhergehende Beschleunigung der Erschlaffung wird dagegen auf eine Stimulation der Ca2+
Aufnahme die intrazellularen Speicher
zurückgeführt. Noch etwas umstritten ist bis heute der Mechanismus der positiv chronotropen Sympathikuswirkung.
Fehlsteuerungen
So kann eine Überempfindlichkeit (Allergie) gegenüber bestimmten Eiweißen (z. B. Pollen) zum Bronchialasthma führen. In dem Falle überwiegt der Parasympathikus gegenüber dein Sympathikus so stark, dass daraus eine krankhafte Verengung der Bronchien mit Luftnot und Absonderung eines zähen Sekrets resultiert. Krampfartige Verengungen der Herzkranzgefäße durch Erhöhung der Aktivität des Parasympathikus können eine akute Sauerstoffnot am Herzmuskel oder sogar den Eintritt von Gewebstod (Myokardinfarkt) zur Folge haben. Die Ursachen dafür sind meistens Bewegungsarmut in Verbindung mit psychischer Überbelastung, Fehlernährung und Genussmittelmissbrauch.
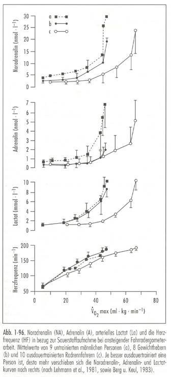
Aber auch eine Dominanz des Sympathikus kann Störungen verursachen oder Ausdruck von Krankheiten sein. Die Fehlsteuerung äußert sich hier in Nervosität, Unruhe und fehlender Ausgeglichenheit. Wie ein mit zu hoher Ruhedrehzahl laufender Motor arbeiten hier Herzkreislaufsystem, Atmung und Stoffwechsel auf einem viel zu hohen Niveau auch in der Ruhephase. Häufig wird eine solche sympathikotone Lage durch eine Überfunktion der Schilddrüse erzeugt. Eine Verbesserung des Ausdauertrainingszustandes führt aufgegebenen submaximalen Belastungsstufen zu einer Reduktion der Katecholammausschüttung. Sie bezieht sich vor allem auf Noradrenalin.
Übertraining
Bei Sportlergruppen, in denen systematisch ein Übertrainingszustand angestrebt wurde, eine vorübergehende «Erschöpfung« des sympathoadrenergen Systems beobachten. Die Untersuchungen bezogen sich auf 8 erfahrene Mittel- und Langstreckenläufer, deren Trainingsumfang von 86km/Woche 4 Wochen lang auf 175 km/Woche gesteigert wurde. Davon lagen stets ungefähr 80% der Belastung im Bereich von 50 70% der maximalen Sauerstoffaufnahme. Nach Ende der Übertrainingsphase sanken die Dopaminplasmaspiegel signifikant ab, ebenso die nächtliche Ausscheidung von Adrenalin, Noradrenalin und Dopamin. Je schlechter das subjektive Befinden der Probanden war, desto stärker nahm die Noradrenalinausseheidung ab. Wichtiger als der Absolutwert der Hormone erschien die Änderung der Ausscheidungsrate.
Immunsystem (psychophysiologischer Effekt)
Die Abb. 1 (unten) stellt den Schaltplan dar, wie das Gehirn auf Stress reagiert. Signale aus der Umwelt werden nach der Reizverarbeitung und Verwertung im Gehirn, besonders im Hippokampus, anschließend im Hypothalamus in chemische Aktivität verwandelt. Der Corticotropin-releasing-Faktor (CRH) und Vasopressin werden vom Hvpothalamus freigesetzt. Es handelt sich um Neuropeptide, welche die Produktion von ACTH veranlassen. Dieses wiederum stimuliert die Bildung von Kortisol, einem Stresshormon. Es hemmt in einer Rückkopplungsschleife die weitere Freisetzung von CRH und ACTH. Viele Neurotransmitter und andere Neuropeptide wirken auf verschiedenen Wegen regulierend. lmntunopeptide sind dabei von besonderer Bedeutung. Kortisol kann die Rezeptoren für Serotonin und Noradrenalin ebenso verändern (erhöhen) wie die Produktionsgroße dieser Neurotransmitter.
Über den Hippokampus, den Organisator für das Langzeitgedächtnis und einer Schaltstelle für Gefühle, kann in Verbindung mit dem limbischen System die Gefühlswelt geprägt werden. Gleichzeitig werden Herzschlagzahl, Blutdruck, Eß-, Sexual- und Schlafverhalten beeinflusst. z.T. über die Adrenalinausschüttung im Nebennierenmark. Die initiale Aktivierung des vegetativen Nervensystems und damit von Adrenalin und Noradrenalin erfolgt wiedertun im Hypothalanius und im limbischen System. Adrenalin und Noradrenalin erweitern die Bronchien und die arteriellen Gefäße der Skelettmuskulatur, ferner mobilisieren sie Glykogen- und Fettdepots. Im Gehirn und im Nebennierenmark gebildete Endorphine und Enkephaline wirken schinerzdämpfend. Akuter Schmerz löst spontan die Ausschüttung von Substanz P und Glutamat aus. Die Information wird der Formatio reticularis und dem Locus coeruleus zugeleitet. während die Schmerzwahrnehrung im Großhirn erfolgt in Verbindung mit dem limbischen System. Endorphine hemmen die Reizübertragung im Rückenmark.
In tierexperimentellen Untersuchungen konnte nachgewiesen werden, dass durch klassische Konditionierung analog Pawlow nicht nur Ernährungsweisen von Tieren beeinflusst werden können, sondern sie gegebenenfalls auch durch psychisch ausgelöste Schwächung des Immunsystems Infektionskrankheiten zum Opfer fallen. Sicherlich kommt dabei auch Glukokortikoiden wie Kortisol mit ihren hemmenden Effekten auf Immunzellen eine maßgebliche Bedeutung zu. Damit war aber erstmals die Psychoneuroimmunologie auf eine naturwissenschaftlich fassbare Basis gestellt.
Auch das vom Gehirn produzierte Stresshormon CRH kann die Funktion der natürlichen Killerzellen im Blut unterdrücken, ohne eine Erhöhung von ACTH oder eines der anderen Stresshormone.
Eine zu schwache
Stressreaktion aufgrund einer zu geringen Funktion der Achse Hvpothalamus-Hypophyse-Nebenniere haben manche depressive Personen, die sich meist müde und affektlos fühlen. Ähnliche Symptome finden sich beim „chronischen Müdigkeitssyndrom“ und bei lichtabhängigen Winterdepressionen. Hierfür sind gleichzeitig Esslust und Gewichtszunahme charakteristisch. Gleichzeitig ist ein Mangel an Kortisol vorhanden.
Inaktivierung adrenerger Transmitter
Die Beendigung der Wirkung adrenerger Transmitter erfolgt vor allem durch eine rasche Wiederaufnahme (,,reuptake“ der frei gesetzten Überträgersubstanz in die präsynaptischen Endigungen. Dies ist ein energiefordernder Prozess, durch den innerhalb weniger Sekunden bis zu 80% der adrenergen Transmitter aus dem synaptischen Spalt wieder entfernt werden. Ein Teil des freigesetzten Transmitters diffundiert rasch in die umgebende Interzellularflüssigkeit und verliert dadurch seine Bedeutung für die synaptische Erregungsübertragung. Der gleichzeitig mit diesen beiden Inaktivierungsvorgängen ablaufende enzymatische Abbau von Adrenalin und Noradrenalin im synaptischen Spalt durch die Katechol-O-Methyltransferase (COMT) und Monoaminoxidase (MAO) zu Vanillinmandelsäure spielt dagegen für die Beendigung der Erregungsübertragung im sympathischen Nervensystem nur eine geringe Rolle. Anders ist dies heim Abbau von adrenergen Transmittern, die in großer Menge aus dein Nebennierenmark freigesetzt werden. Allerdings hält die Wirkung der aus dein Nebennierenmark frei gesetzten Katecholamine zirka 10 mal so lang (10 bis 30 Sekunden) an. Ihre Inaktivierung erfolgt in der Leber. Sie werden dort aus dein Blut aufgenommen und durch COMT und MAO enzymatisch abgeballt.
Literatur:
R.F. Schmidt, G. Thews, „Physiologie des Menschen“ springer-Verlag Berlin Heidelberg, 1997.
W. Hollmann, T.Hettinger, „Sportmedizin“, Schattauer Verlag, 2000.
   
|