Новосибирский Государственный Аграрный Университет
Кафедра экономического анализа и статистики
Курсовая работа
По дисциплине: «Статистика финансов»
На тему: «
Статистика оборотных средств»
Выполнил: студент 446 гр.
Селютин Д.В.
Проверил: Шелковников С.А.
Новосибирск 2010
Оглавление
Введение. 3
1.Состав и структура оборотный средств на предприятие.4
2.Методики анализа использования оборотных средств.7
2.1 Применение коэффициентов при анализе оборотных средств. 7
2.2Определение потребности предприятия в оборотных средствах. 11
2.3 Удельный расход и анализ его изменений. 19
2.4 Метод корреляционного анализа. 21
3.Статистика оборотных средств. 22
3.1 Анализ наличия и структуры оборотных фондов в ЗАО «Ирмень».22
3.2. Анализ эффективности использования оборотных средств. 24
3.3 Корреляционно-регрессионный анализ зависимости величины оборотных фондов от выручки.25
3.4 Определение тенденции изменения величины оборотных средств.26
Заключение. 29
Список использованной литературы.. 30
Введение
Статистика является методологической основой для многих экономических дисциплин. В частности, наиболее тесным образом связаны статистика и анализ. Статистическая методология является в анализе основополагающей. Все аналитические данные получают с помощью статистических приемов.
В данной курсовой работе рассмотрено применение статистических методов при проведения анализа оборотного капитала. Актуальность данной темы объясняется динамичным ростом производства в России, развитием рыночным отношений, необходимостью своевременного анализа состояния предприятия и, в частности, состояния оборотных фондов.
- Задачами статистики оборотного капитала
являются:
- разработка и совершенствование методологии статистической характеристики оборотного капитала;
- определение объема и структуры оборотного капитала;
- характеристика воспроизводства оборотного капитала;
- характеристика обеспеченности производства оборотного капитала;
- оценка оборачиваемости и характеристика эффективности использования оборотного капитала.
- В статистике оборотного капитала используются показатели объема и структуры оборотного капитала; использования, оборачиваемости и др.
1. Состав и структура оборотный средств на предприятие.
Забиваем Сайты В ТОП КУВАЛДОЙ - Уникальные возможности от SeoHammer
Каждая ссылка анализируется по трем пакетам оценки: SEO, Трафик и SMM.
SeoHammer делает продвижение сайта прозрачным и простым занятием.
Ссылки, вечные ссылки, статьи, упоминания, пресс-релизы - используйте по максимуму потенциал SeoHammer для продвижения вашего сайта.
Что умеет делать SeoHammer
— Продвижение в один клик, интеллектуальный подбор запросов, покупка самых лучших ссылок с высокой степенью качества у лучших бирж ссылок.
— Регулярная проверка качества ссылок по более чем 100 показателям и ежедневный пересчет показателей качества проекта.
— Все известные форматы ссылок: арендные ссылки, вечные ссылки, публикации (упоминания, мнения, отзывы, статьи, пресс-релизы).
— SeoHammer покажет, где рост или падение, а также запросы, на которые нужно обратить внимание.
SeoHammer еще предоставляет технологию Буст, она ускоряет продвижение в десятки раз,
а первые результаты появляются уже в течение первых 7 дней.
Зарегистрироваться и Начать продвижение
Оборотный капитал- это сумма финансовых источников формирования оборотных средств предприятия. Отражается в пассиве баланса. . Потребность в оборотных средствах в условиях рынка часто называют финансово- эксплуатационными потребностями (ФЭП), которые определяются как разница между средствами, иммобилизованными в запасах и клиентской задолженности, и задолженностью предприятии поставщикам. Во многих западных источниках разница между текущими активами и текущими пассивами называется рабочим капиталом.
При формировании уставного капитала предприятие самостоятельно устанавливает плановый размер оборотных средств, необходимый для его производственной деятельности, в виде норматива в денежном выражении. Потребность предприятия в оборотном капитале колеблется в течении года вследствие сезонности производства, неравномерности поступления денег за отгруженную продукцию и т.д. По источникам формирования оборотный капитал предприятия подразделяется на собственный и заемный (Рисунок 1).
Кредиторская задолженность
|
|
| Прибыль направляемая на финансирование оборотных средств |
|
Рисунок 1- Источники формирования оборотного капитала.
В отличие от основных средств, которые неоднократно учувствуют в процессе производства, оборотные средства функционируют только в одном производственном цикле и полностью переносят свою стоимость на вновь изготовленный продукт, поэтому их ещё называют переменным капиталом.
Иными словами, для того чтобы осуществлять производственную- хозяйственную деятельность, предприятие должно иметь денежные средства для оплаты сырью, материалов, выдачи зарплат. Готовая продукция, дебиторская задолженность, товары отгруженные и денежные средства представляют в целом фонды обращения предприятия.
При создании предприятия в результате капитальных вложений формируются основные и оборотные средства предприятия, необходимые для производства и реализации продукции. Капитальные вложения создающегося акционерного общества финансируются за счет эмиссии акций, - это уставной капитал акционерного общества. Часть его составляет оборотный капитал предприятия, вложенный в производственные запасы. Эти запасы поступают в производство, предприятие выпускает продукцию, реализует её. За счет той части выручки, которая возмещает производственные запасы, он возобновляется. В случае увеличения объемов производства продукции запасы увеличиваются за счет другой части выручки- прибыли.
Ещё один источник формирования оборотного капитала- устойчивые пассивы, - это минимальная переходящая задолженность по оплате труда; минимальная задолженность по резервам на покрытие предстоящих расходов и платежей; задолженность заказчикам по авансам и частичной оплате продукции и т.д.
Сервис онлайн-записи на собственном Telegram-боте
Попробуйте сервис онлайн-записи VisitTime на основе вашего собственного Telegram-бота:
— Разгрузит мастера, специалиста или компанию;
— Позволит гибко управлять расписанием и загрузкой;
— Разошлет оповещения о новых услугах или акциях;
— Позволит принять оплату на карту/кошелек/счет;
— Позволит записываться на групповые и персональные посещения;
— Поможет получить от клиента отзывы о визите к вам;
— Включает в себя сервис чаевых.
Для новых пользователей первый месяц бесплатно.
Зарегистрироваться в сервисе
В годы экономического финансового кризиса в России имели место высокая инфляция, обесценение производственных запасов предприятий, постоянные нарушения платежно- расчетной дисциплины, неудовлетворительное финансовое состояние многих предприятий. В следствии этих причин в общей сумме источников формирования оборотного капитала промышленных предприятий резко снизилась доля собственного и заемного капитала и увеличилась доля кредиторской задолженности.
С увеличением кредиторской задолженности финансовое состояние предприятия улучшается, так как кредиторская задолженность, по сути означает бесплатное кредитование предприятия поставщиками сырья. Но одновременно ухудшается финансовое состояние предприятий-поставщиков , так как у них растет соответственно дебиторская задолженность.
Оборотный капитал
– важная часть национального богатства страны, его наиболее мобильный, постоянно возобновляемый элемент.
В оборотный капитал включаются производственные запасы (сырье, материалы, топливо, запчасти, инструменты, хозяйственные товары, семена, посадочные материалы, корма и фураж, животные на откорме, молодняк животных и др.), незавершенное производство, запасы готовой продукции у производителей, товары для перепродажи и материальные резервы. Следует отметить, что в составе оборотных средств учитывается часть ценностей (драгоценные металлы и камни), подлежащая обработке тем предприятием, где они хранятся
2. Методики анализа использования оборотных средств.
2.1
Применение коэффициентов при анализе оборотных средств
Наличие оборотного капитала, имеющегося в распоряжении той или иной фирмы, может быть рассчитано как по состоянию на определенную дату (обычно отчетной датой является последний день соответствующего квартала), так и в среднем за истекший отчетный период. Такие показатели могут быть определены как по всему оборотному капиталу фирмы в целом, так и по отдельным составляющим этот капитал элементам или их группам.
Наличие оборотного капитала по состоянию на отчетную дату определяется непосредственно по данным бухгалтерского баланса или более детально по данным бухгалтерского синтетического и аналитического учета (по счетам и субсчетам плана счетов бухгалтерского учета).
Если исходить из того, что потребности оперативного управления любой фирмой требуют ежемесячного подведения итогов ее деятельности (хотя отчетность по месяцам фирмой может и не представляться), то средний остаток (О) оборотного капитала за данный месяц проще всего определить как полу-сумму остатков на начало (0н
) и конец (Оц
) этого месяца, т. е. по формуле

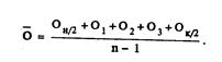
Если возникает необходимость определить средние остатки оборотного капитала за период времени, включающий несколько равных по продолжительности отрезков (например, за год по данным об остатках на начало и конец каждого квартала), то используется формула средней хронологической простой:

Изменение остатков оборотного капитала в целом и по его отдельным составляющим (элементам) происходит вследствие того, что имеющиеся в начале производственного цикла запасы непрерывно потребляются в процессе производства, а их возобновление, необходимое для обеспечения непрерывности производственного процесса, происходит за счет финансовых ресурсов, образующихся в результате реализации продукции. В этом, собственно говоря, и состоит смысл понятия цикла оборота оборотного капитала, в начале которого потребление из уже имеющегося запаса, а в конце — возмещение (возобновление запаса), оплачиваемое из выручки от реализации. Схематически сказанное можно иллюстрировать так:

где МЗ — запас материала;
МП — потребление материала в производстве;
ПР — процесс производства и ВР — выручка от реализации.
В силу сказанного при анализе на фирме процессов производства и условий, его обеспечивающих, кроме показателей, характеризующих наличие (средние остатки) оборотного капитала (О) и выручки от реализации (Р), обязательно используются показатели, характеризующие скорость оборота оборотного капитала i его элементов.
Простейшим из показателей такого рода является коэффициент оборачиваемости оборотного капитала, равный частному сп деления стоимости реализованной продукции (выручки от реализации) за данный период (Р) на средний остаток оборотного капитала за тот же период (О):

Преимущество этого показателя в предельной простоте расчета и ясности содержания. Так, если выручка от реализации составила за год 2000 млн. руб., а средний остаток оборотного капитала фирмы — 400 млн. руб., то коэффициент оборачиваемости оборотного капитала Кдб=
2000/400 = 5 раз. Это означает, что за год каждый рубль, вложенный в оборотный капитал фирмы, совершил 5 оборотов.
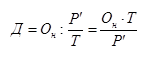
Отсюда легко определяется и показатель средней продолжительности одного оборота в днях. Особенность этого показателя по сравнению с коэффициентом оборачиваемости в том, что он не зависит от продолжительности того периода, за который был вычислен. Например, 2 оборотам средств в каждом квартале года будут соответствовать 8 оборотов в год при неизменной продолжительности одного оборота в днях.
В практике финансовых расчетов при исчислении показателей оборачиваемости для некоторого их упрощения принято считать продолжительность любого месяца, равную 30 дням, любого квартала — 90 дням и года — 360 дням. Продолжительность же оборота в днях всегда может быть исчислена по формуле
где К„об — коэффициент оборачиваемости;
Т — продолжительность периода, за который определяются показатели, дней (Т = 30; 90; 360).
Особенность этого показателя по сравнению с коэффициентом оборачиваемости в том, что он не зависит от продолжительности того периода, за который был вычислен.
Пример. Двум оборотам средств в каждом квартале года будут соответствовать 8 оборотов в год при неизменной продолжительности одного оборота в днях
Выведенная после подстановки формула широко применяется в практике всевозможных финансовых и плановых расчетов. При этом в нее включен еще один показатель, характеризующий скорость оборота оборотного капитала, – среднесуточный оборот фондов (среднедневная выручка от реализации – Р : Т = ), что позволяет определить продолжительность оборота (показатель обеспеченности производства запасами, где Р’– общий размер расхода или плановая потребность в данном периоде) в днях:
 
а также определить коэффициент закрепления (Кз) оборотного капитала (средств), который представляет собой величину, обратную количеству оборотов (исчисляется в рублях):
или или
Он отражает среднюю стоимость запасов оборотного капитала, приходящихся на рубль реализованной продукции или услуг.
Пример Кз= 400/2000 = 0,20 руб./руб. Эту величину можно интерпретировать следующим образом: на один рубль выручки от реализации продукции в среднем за рассматриваемый период приходилось 20 коп. стоимости запасов оборотного капитала.
Наконец, необходимо упомянуть об еще одной проблеме, возникающей при определении наличия запасов на ту или иную отчетную дату. Дело в том, что непрерывно протекающие процессы возобновления запасов на протяжении периода в условиях нестабильности цен приводят к ситуации, когда партии отдельных видов запасов, приобретаемые в более поздние сроки, могут стоить дороже, чем приобретенные ранее. В практике учета в России принято оценивать запасы по ценам приобретения, что приводит к необходимости оценивать расход этих запасов на производство по средним фактически сложившимся ценам. Однако в практике учета ряда западных стран разрешается списывать в затраты на производство по мере расходования партий материалов их стоимость либо с оценкой первой из поступивших партий (метод ФИФО) либо с оценок последней из поступивших партий (метод ЛИФО).
2.2
Определение потребности предприятия в оборотных средствах
Проблема определения потребности фирмы в оборотном капитале является важной составной частью финансового планирования, так как недостаток оборотных средств неизбежно приводит к невозможности своевременного обеспечения производственного процесса необходимыми материальными ресурсами, а их избыток может приводить к финансовым потерям вследствие неэффективного "замораживания" части оборотного капитала в излишних запасах товарно-материальных ценностей.
Решение задачи, связанной с определением потребности в оборотном капитале, возможно двумя принципиально различными путями: во-первых, на основе укрупненных расчетов с использованием информации о положении дел в предшествующие планируемому периоды; во-вторых, на основе детальных технико-экономических расчетов — об обоснованиях потребности в отдельных элементах оборотного капитала с последующей их денежной оценкой и агрегированием результатов по видам и группам элементов оборотного капитала.
В условиях кризисного состояния экономики и резко выраженных инфляционных тенденций расчеты потребности в оборотном капитале на более или менее длительные периоды времени целесообразно производить на основе укрупненных расчетов с корректировкой полученных результатов на ожидаемый уровень инфляции, т. е., на основе экспертных оценок.
Если же речь идет об относительно коротких периодах времени (месяц, квартал), то реально существующие потребности обеспечения производства необходимыми видами запасов сырья, материалов, топлива и других элементов оборотных производственных фондов (средств) диктуют необходимость в детальных технико-экономических расчетах по отдельным видам запасов предметов труда. Такие расчеты необходимы, в частности, и потому, что на их основе формируется тактика организации материально-технического снабжения, определяются поставщики, сроки и объемы поставок и другие связанные с этим моменты, составляющие неотъемлемую часть всего комплекса задач, решаемых в процессе оперативного управления производственной и коммерческой деятельностью фирмы. Разумеется, состав и масштабы задач, решение которых связано с управлением запасами и определением потребности в оборотном капитале, существенно зависят от профиля деятельности и размеров фирмы. Однако существуют некоторые достаточно общие приемы решения рассматриваемого здесь круга задач, именно о них и пойдет речь далее. Наиболее общий метод расчета потребности в оборотном капитале фирмы основан на объеме реализованной продукции, определенном в бизнес-плане на предстоящий период и уровне коэффициента закрепления оборотных средств за предшествующие периоды.
Из формулы, по которой рассчитывается этот коэффициент, непосредственно следует:

где О — средний остаток оборотного капитала;
Р — стоимость реализованной продукции;
К, — коэффициент закрепления.
Таким образом, общая потребность в оборотном капитале определяется умножением намеченного на планируемый период коэффициента закрепления на планируемый объем реализации.
Зная потребность в оборотном капитале и наличие на начало планируемого периода, несложно затем рассчитать дополнительную потребность в оборотном капитале и определить источники покрытия этой потребности (за счет собственных или заемных финансовых ресурсов).
Если полагать, что планируемый объем реализации собственной продукции фирмы определяется на основе маркетинговых исследований, анализа сложившейся структуры и требований потребителей, зафиксированных в уже заключенных и предполагаемых к подписанию договорах поставки, то главную проблему представляет обоснованное определение планируемого уровня коэффициента закрепления оборотного капитала.
Разумеется, можно исходить из фактически сложившейся величины коэффициента закрепления в ближайшем к планируемому отчетном периоде; однако целесообразнее предварительно проанализировать сложившийся уровень оборотного капитала и выявить возможные резервы сокращения потребности в нем.
Для пояснения сказанного приведем условный при мер укрупненного расчета потребности фирмы в оборотном капитале
Но следующим данным:

Как видно из приведенных в примере исходных данных, в составе оборотного капитала фирмы имеются элементы, наличие которых не вызывается необходимостью обеспечения бесперебойного производственного процесса. Общая стоимость этих элементов составляет: 400 + 800 = 1200 тыс. руб. Поэтому при планировании потребности в оборотном капитале на I квартал следующего года можно исходить из реальной возможности сокращения, допустим, на 50% (разумеется, можно установить и иную величину), т. е. на 600 тыс. руб. излишних запасов оборотного капитала. Тогда планируемый коэффициент закрепления оборотного капитала на I квартал следующего года составит:

Суммарная планируемая потребность в оборотном капитале, исходя из задания по объему реализуемой продукции, допустим, 20 000 тыс. руб. будет равна: 0,4625 • 20 000 = 9250 тыс. руб. Иными словами, даже при планируемом снижении коэффициента закрепления оборотного капитала на 7,5% (0,4625/0,50 = == 0,925) с учетом увеличения объема реализации на 25,0% (20000/16000 = 1,25) требуется увеличение оборотного капитала на 1250 тыс. руб., или на 15,6%. Последняя цифра может легко быть проверена: 0,925 • 1,250 = 1,15625, что с небольшим округлением и составляет величину прироста оборотного капитала на 15,6%.
Метод поэлементного расчета потребности в оборотном капитале на основе детальных технико-экономических расчетов заключается в использовании данных о предполагаемом объеме производства конкретных видов продукции (изделий и услуг) и данных о нормативах затрат конкретных видов сырья, материалов и других элементов производственных запасов на производство единицы продукции каждого вида (нормативных удельных расходах). После определения потребности в конкретных видах материальных элементов на планируемый период можно, руководствуясь определенными правилами, рассчитать необходимую величину запасов, а после оценки этих запасов получить и общую стоимость производственных запасов, включаемую в стоимость оборотного капитала. В сущности, итог таких расчетов и дает величину необходимых нормируемых оборотных средств (см. рис.1), к которой затем можно добавить определенную методом укрупненных расчетов величину ненормируемых оборотных средств.
Нормативный метод расчета потребности в оборотных средствах кроме знания норматива расхода конкретных видов предметов труда на единицу продукции каждого вида (удельных расходов) требует использования данных об особенностях обеспечения производства необходимыми материальными ресурсами и о структуре необходимых для обеспечения нормального хода производства запасов товарно-материальных ценностей.
В практике внутрифирменного планирования процессов материально-технического снабжения принято различать следующие виды запасов сырья, материалов, топлива и других элементов нормируемых оборотных средств: текущие запасы, страховые запасы и сезонные запасы. Текущие запасы сырья и материалов должны быть достаточными для обеспечения нормального хода производственных процессов в течение всего периода времени их осуществления. Необходимая величина текущего запаса материала данного вида на складах фирмы определяется с учетом общей потребности в нем на определенный календарный период, условий поставки (периодичность, объемы каждой поставки) для возобновления запаса и календарного графика передачи материалов со склада в производство.
Для характеристики временных условий производственного потребления материалов используют коэффициент задержки материалов в запасе. Так, для массового производства, для которого характерно равномерное во времени потребление материалов (равными долями в равные промежутки времени), коэффициент задержки всегда будет равен 0,5, т. е. половине срока поставки. Если поставка производится, допустим, один раз в месяц, а расход осуществляется ежедневно, то на начало месяца объем запаса будет максимальным, а в последний день месяца (в день возобновления запаса) может быть даже равным нулю. Следовательно, средняя величина запаса в этом случае и будет составлять: 1,0 + 0,0/2 =0,5, или 50% от начального уровня.
В серийном и единичном производстве передача материала обычно .производится партиями с учетом графиков запуска в производство отдельных заказов. Между моментами передачи материала в производство могут быть с учетом технологических особенностей установлены как равные, так и неравные интервалы времени.
Допустим, что в течение месяца передача материалов в производство осуществляется равными долями еженедельно, а поставка материала, как и прежде, производится один раз в месяц. При таких допущениях коэффициент задержки материалов в запасе (Кзд) составит (условно продолжительность каждой недели, исходя из 30 дней в месяце, принимаем равной 7,5 дня):

Зная величины средней суточной потребности в материале (Мс), интервал поставок (Ид) и коэффициент задержки материалов в запасе (Кзд), можно определить общую величину необходимого текущего запаса материала. Так, если в сутки предполагается производить 100 шт. изделий и расход стали марки СТ.З на одно изделие составляет 15 кг, общая величина текущего запаса в условиях равномерного расходования материала и интервала между поставками равного 15 дням, составит:

Эта величина не учитывает времени, необходимого для подготовки имеющегося в запасе материала к передаче в производство, а также времени, необходимого на приемку, разгрузку и сортировку поступающих на склад материалов (Пд). Величина запаса материалов, обеспечивающая их своевременную подготовку к запуску в производство, определяется по формуле

Допустим, что в нашем примере на обработку данных о каждой поступающей партии материалов и подготовку к передаче их в производство требуется одна рабочая смена. Тогда, исходя из односменного режима работы фирмы, величина подготовительного запаса составит:

Кроме текущего и подготовительного в расчеты общей величины необходимого запаса материала следует включать и величину страхового запаса. Назначение такого запаса — компенсировать возможные срывы регулярных поставок в связи с задержками отправки материалов поставщиком, задержками в пути и другими внешними с точки зрения фирмы-потребителя причинами.
Величину страхового запаса можно установить с помощью анализа данных об интервалах поставок за предшествующие периоды, определения вероятности каждой задержки и расчета средней величины задержки в днях.
Допустим, что в течение достаточно длительного периода времени фирмой было зафиксировано 70% случаев задержек поставок стали на 5 дней и 30% — задержек на 10 дней. Тогда в расчетах величины страхового запаса следует учесть среднюю вероятность задержки: 5 • 0,7 + 10 • 0,3 = 6,5 дня, что требует с учетом суточной потребности в материале иметь величину страхового (неснижаемого) запаса в размере: 6,5 (15 • 100) = 9750 кг.
Теперь можно определить и суммарную величину необходимого запаса стали Ст.З, обеспечивающую бесперебойную работу фирмы, т. е. норматив запаса. Он составит: 11 250 + 1500 + 9750 == 22 500 кг. Если практически возможно полностью обеспечить равномерную поставку каждые 15 дней партий стали общим весом 12 750 кг (11 250 + 1500), то потребности в страховом запасе не возникает, и на этом расчеты потребности в данном элементе оборотного капитала можно считать законченными. Однако может иметь место ситуация, в которой обеспечить регулярную поставку в необходимом размере оказывается невозможным или экономически невыгодным.
Например, поставщик может потребовать заключение договора на поставку стали в размерах не менее так называемой "транзитной" нормы (минимального веса груза, принимаемого к перевозке по железной дороге). В такой ситуации потребитель должен либо увеличить интервал времени между поставками, доведя размер каждой из них до транзитной нормы, либо принять меры к поиску другого поставщика или фирмы-посредника с более приемлемыми для него условиями поставки.
Сезонные запасы создаются, как правило, в тех отраслях промышленности и других отраслях народного хозяйства, где сырье или товары поступают в течение года неравномерно или вообще могут поступать только в отдельные периоды (сахарная свекла для переработки на сахаропесочных заводах, товары народного потребления, завозимые в северные районы в период летней навигации, и т. п.). В таких случаях величина сезонного запаса определяется по величине общей потребности на весь период с уче--том равномерного использования запаса по времени. Как правило, фирма не может обеспечить за счет собственных оборотных средств накопление сезонных запасов и вынуждена прибегать к привлечению кредитных ресурсов банков, тем или иным путем добиваться для себя льготных процентных ставок и условий возврата кредита.
Как видно из сказанного, важнейшей величиной, от достоверности которой зависят дальнейшие результаты оценки потребности в оборотном капитале методом технико-экономических расчетов, является показатель удельного расхода материала данного вида на производство единицы продукции. Именно эта нормативная величина и лежит в основе определения суточной и общей потребности в материалах и других видах предметов труда.
2.3 Удельный расход и анализ его изменений
Величиной, от достоверности которой зависят результаты оценки потребности в оборотном капитале, является показатель удельного расхода материала данного вида на производство единицы продукции. Именно эта нормативная величина лежит в основе определения суточной и общей потребности в материалах и других видах предметов труда. Показатели уровня удельного расхода сырья, материалов, топлива и других видов оборотных средств на единицу продукции или услуг определяются как отношение общего их расхода на количество выпущенной продукции или услуг
В общем виде величину удельного расхода (m
) можно всегда определить делением общей величины расхода материала данного вида (М) в натуральных измерителях на количество единиц произведенной продукции данного вида (q
), т. е. по формуле :
m
= М : q
.
Величина удельного расхода может быть определена как нормативная либо по данным учета и отчетности как фактическая.
Контроль за соблюдением нормативной и фактической динамики удельных расходов осуществляется при помощи вычисления индексов. Индекс удельного расхода позволяет сделать вывод о том, какие изменения произошли в удельном расходе за отчетный период (m
1) по сравнению с базисным (m
0) или нормой (m
норм). Индекс удельного расхода одного вида материала, затрачиваемого на производство одного вида продукции, вычисляется следующим образом:
im
= m
1 : m
0 илиim
= m
1 : m
норм
Разность числителя и знаменателя индекса определяет величину экономии (перерасхода) материала, затрачиваемого на производство единицы продукции данного вида:
Эm
= m
1 – m
0
Величина экономии в расчете на весь фактически произведенный в данном периоде объем продукции данного вида q
1 рассчитывается по формуле
Эm
= (m
1 – m
0) q
1
При необходимости рассчитывают сводные показатели, характеризующие относительное изменение удельного расхода в среднем по всем видам продукции (сводные индексы удельных расходов
) и абсолютные величины экономии (перерасхода) вследствие изменения удельных расходов по отдельным видам материалов. Общий сводный индекс удельных расходов в наиболее общем случае вычисляется по формуле:
где m
1 и m
0 – удельные расходы материала данного вида на производство единицы каждого вида продукции; p
– цена единицы материала, принимаемая неизменной для обоих сравниваемых периодов; q
1 – количество единиц продукции каждого вида, фактически произведенной в отчетном периоде
Разность числителя и знаменателя этого индекса характеризует величину изменения общих затрат на материалы (экономию или перерасход) в денежном выражении в расчете на фактически произведенный объем продукции вследствие только изменения удельных расходов:
При необходимости определить влияние удельных расходов и цен на материалы на общую величину затрат на производство данного объема продукции вводят индекс цен на материалы
(см. статистику издержек)
2.4 Метод корреляционного анализа
Корреляция — статистическая взаимосвязь двух или нескольких случайных величин (либо величин, которые можно с некоторой допустимой степенью точности считать таковыми). При этом, изменения одной или нескольких из этих величин приводят к систематическому изменению другой или других величин. Математической мерой корреляции двух случайных величин служит коэффициент корреляции.
Некоторые виды коэффициентов корреляции могут быть положительными или отрицательными (возможна также ситуация отсутствия статистической взаимосвязи — например, для независимых случайных величин). Если предполагается, что на значениях переменных задано отношение строгого порядка, то отрицательная корреляция
— корреляция, при которой увеличение одной переменной связано с уменьшением другой переменной, при этом коэффициент корреляции может быть отрицательным; положительная корреляция
в таких условиях — корреляция, при которой увеличение одной переменной связано с увеличением другой переменной, при этом коэффициент корреляции может быть положительным.
Коэффициент корреляции или парный коэффициент корреляции в теории вероятностей и статистике — это показатель характера взаимного стохастического влияния изменения двух случайных величин. Коэффициент корреляции обозначается латинской буквой R в математической статистике (r в статистике) и может принимать значения от −1 до +1. Если значение по модулю находится ближе к 1, то это означает наличие сильной связи, а если ближе к 0 — связь слабая или вообще отсутствует. При коэффициенте корреляции равном по модулю единице говорят о функциональной связи (а именно линейной зависимости), то есть изменения двух величин можно описать математической функцией. Рассчитывается по следующей формуле :

3.Статистика оборотных средств
3.1 Анализ наличия и структуры оборотных фондов в ЗАО «Ирмень».
Аналитическая часть данной работы будет построена на анализе использования оборотных средств по данным бухгалтерской отчетности ЗАО «Ирмень». Данные взяты за промежуток от 2004 до 2006 года.
Таблица 1
Данные о составе оборотных средств ЗАО «Ирмень»
| 2004 |
2005 |
2006 |
| Сырьё, материалы, руб |
150813 |
89030 |
119859 |
| Готовая продукция, руб |
13261 |
15544 |
21315 |
| Денежные средства, руб |
12698 |
21403 |
38478 |
| Дебиторская задолженность, руб |
9297 |
8587 |
18209 |
| Итого |
188073 |
136569 |
199867 |
На основании выше указанных данных рассчитаем среднегодовую стоимость каждого отдельного элемента. Для расчета применим формулу средней хронологической. Результаты расчетов в таблице 2.
Таблица 2
Среднегодовая стоимость оборотных средств ЗАО «Ирмень»
| Сырьё, материалы, руб |
112183 |
| Готовая продукция, руб |
16416 |
| Денежные средства, руб |
23495,5 |
| Дебиторская задолженность, руб |
11170 |
| Итого |
163264,5 |
Проследим динамику изменения величины оборотных средств и отклонение их от средней величины на графике.

Рис. 2. Отклонение стоимости оборотных ЗАО «Ирмень» от среднегодовой величины.
Анализируя данные из таблицы 1,2, а так же рисунка 2, нельзя сделать конкретных выводы о тенденции к увеличению или снижению оборотных фондов. Она относительна стабильна, за исключением сатьи- сырьё и материалы.
Что бы более наглядно представить структуры оборотных средств на предприятии построим круговую диаграмму, рис 3.

Рисунок 3 Структура оборотных средств ЗАО «Ирмень»
Делая выводы по диаграмме на рисунке 3, можно сказать, что наибольший удельный вес в структуре оборотных средств занимает сырье и материалы ( 68,7 %), а наименьший – дебиторская задолженность (6,8%). Низкий уровень дебиторской задолженности свидетельствует о грамотно разработанной кредитной политике на предприятие.
3.2. Анализ эффективности использования оборотных средств
Для определения эффективности использования оборотных фондов рассчитаем коэффициенты оборачиваемости, закрепления, среднюю продолжительность одного оборота.
Таблица 3
Выручка от реализации продукции, руб.
| 2004 |
2005 |
2006 |
| Выручка от реализации продукции |
396230 |
412167 |
490665 |
Таблица 4.
Показатели использования оборотных средств
| 2004 |
2005 |
2006 |
Ср.годовой |
| Коэф. Оборачиваемости |
2,045 |
1,742 |
1,63 |
1,81 |
| Коэф. закрепления |
0,48 |
0,57 |
0,60 |
0,55 |
| Средняя продолжительность одного оборота, дней |
175,73 |
206,40 |
219,58 |
200,57 |
По данным таблицы 4 можно сделать вывод, что средняя продолжительность одного оборота в период с 2004 по 2006 года увеличилась на 43 дня. Снижение оборачиваемости может указывать на увеличение сроков производства продукции или непосредственную связь с сезонностью производства.
3.3 Корреляционно-регрессионный анализ зависимости величины оборотных фондов от выручки.
Проведем корреляционно-регрессионный анализ величины оборотных средств.
Таблица 5
| год |
Выручка, тыс.руб (Сi) |
Оборотные средства,тыс.руб (Ki) |
CiKi |
Ci^2 |
Ki^2 |
| 2004 |
396,23 |
188,07 |
74520,16 |
156998,21 |
35371,45 |
| 2005 |
412,17 |
136,57 |
56289,24 |
169881,64 |
18651,09 |
| 2006 |
490,67 |
199,87 |
98067,74 |
240752,14 |
39946,82 |
| Итого |
1299,06 |
524,51 |
228877,14 |
567631,99 |
93969,36 |
Факторным признаком в данной задаче является выручка от реализации продукции, а результативным – величина оборотных средств, тогда коэффициент корреляции


Исходя из результатов корреляционного анализа можно сделать вывод о наличие прямой связи. В данном случае выручка от реализации продукции на 51% влияет на уровень оборотных средств в ЗАО «Ирмень» и 49% другие факторы, не учтенные в данной модели.
На основании данных о динамике оборотных средств в ЗАО «Ирмень» определим тенденцию показателя и изобразим её графически.
Таблица 6
| Год |
t |
Оборотные средства, тыс.руб. |
y*t |
 |
 |
 |
 |
| 2002 |
-2 |
83,90 |
-167,80 |
4,00 |
74,85 |
9,05 |
81,86 |
| 2003 |
-1 |
104,12 |
-104,12 |
1,00 |
101,29 |
2,83 |
8,02 |
| 2004 |
0 |
114,19 |
0,00 |
0,00 |
127,73 |
-13,54 |
183,44 |
| 2005 |
1 |
136,57 |
136,57 |
1,00 |
154,17 |
-17,60 |
309,68 |
| 2006 |
2 |
199,87 |
399,73 |
4,00 |
180,60 |
19,26 |
371,04 |
| Итого |
0 |
638,65 |
264,38 |
10,00 |
638,65 |
- |
954,04 |
В качестве функции для построения линии тренда выберем

Для нахождения параметров уравнения выравнивания решим систему :

При условии, что , получаем :

Отсюда параметры уравнения рассчитываются по формулам
, b= 
Функция выравнивания принимает вид : y= 127,7 + 26,4*t

Рисунок 4
Среднее квадратическое отклонение находим по формуле :


Далее определим значение коэффициента вариации


На основании графика тренда, а также расположением на этом графике фактических значений уровня оборотных средств, можно сделать вывод что имеется тенденция к росту.
Заключение
Статистика играет очень важную роль в экономическом анализе. Статистико-экономический анализ выполняет регулирующую роль в деятельности предприятия. Обоснованное, умелое сочетание приемов и методов статистики и анализа необходимо каждому бухгалтеру в его непосредственной, каждодневной работе.
Статистика оборотных фондов должна охарактеризовать наличие оборотных фондов, их состав, использование и возобновление. Всякое ускорение оборачиваемости оборотных фондов должно, достигаемое за счет более рациональной организации производства и реализации продукции, высвобождает часть оборотных фондов для расширения данного производства, обеспечивая тем самым повышение общей эффективности производства, что, в конечном итоге, служит целью любого современного предприятия.
Разумное и обоснованное прогнозирование в статистико-экономическом анализе позволяет предприятию принимать точные оперативные решения и выбирать для себя верный экономический курс.
Список использованной литературы
| 1. Бурцева С.А. Статистика финансов. – М.: Финансы и статистика, 2004. – 287 с |
| 2. Громыко Г.Л. , Теория статистики – 2-е изд., перераб. и доп. – М.: ИНФРА-М, 2006. |
| 3. Гусаров В.М. Теория статистики. – М.: Аудит, 1998. – 248 с. |
| 4. Елисеева И.И . Статистика. – М: Проспект, 2008 – 448 с. |
| 5. Ефримов М.Р. ,Петрова Е.В. , общая теория статистики, - М: Инфра, 1997. – 416 с. |
| 6. Иванова Ю.Н. , Экономическая статистика. – М., 2006. |
| 7. Кильдишев Г.С., Овсиенко В.Е., Рабинович П.М., Рябушкин Т.В. Общая теория статистики. – М.: Статистика, 1980. – 423 с. |
| 8. Остапенко В.В. , Финансы предприятия . –М : Омега-Л, 2008. -302 с. |
| 9. Практикум по статистике: Учебное пособие для вузов (Под ред. В.М. Симчеры). ВЗФЭИ. – М.: ЗАО «Финстатинформ», 1999. – 259 с. |
| 10. Салин В.Н., Шпаковская Е.П. Социально-экономическая статистика: Учебник. – М.: Юристъ, 2001. – 271 с. |
| 11. Салина В.Н. ,Финансовая статистика. – М.: Финансы и статистика, 2002. |
| 12. Сергеев С.С. Сельскохозяйственная статистика с основами социально-экономической статистики: Учебник. – М.: Финансы и статистика, 1989. – 656 с. |
| 13. Скляренко В.К. , Прудников В.М. Экономика предприятия : Учебник. – М: Инфра, 2007. -528 с. |
| 14. Теслюк И.Е. Статистика финансов. – Минск: Высшей шк. 1999 |
| 15. Юджин Ф. Бригхэм , Майкл С. Эркхардт. Финансовый менеджмент 10-е изд. 2009.- 960с. |
| 16. Яковлева А.В. Статистика финансов. – М.: Экзамен, 2006. – 126 с. |
|