Совершенствование финансового менеджмента на предприятии
Содержание
Введение
1. Теоретические аспекты финансового менеджмента
1.1 Понятие и значение роли финансового менеджмента на предприятии
1.2 Инструменты финансового менеджмента
1.3 Методы оценки эффективности финансового менеджмента в управлении предприятием
2. Анализ системы финансового менеджмента на предприятии ТОО "Жулдыз"
2.1 Экономическая характеристика ТОО "Жулдыз"
2.2 Анализ ликвидности и финансовой устойчивости ТОО "Жулдыз"
2.3 Анализ деловой активности и платежеспособности ТОО "Жулдыз"
2.4 Оценка уровня управления финансами на ТОО "Жулдыз"
3. Пути совершенствования системы финансового менеджмента на предприятии ТОО "Жулдыз"
3.1 Разработка мероприятий финансового контроля
3.2 Совершенствование финансового планирования на предприятии
Заключение
Список использованной литературы
Приложения
финансовый менеджмент ликвидность платежеспособность
Введение
Рыночная экономика Республики Казахстан в последние годы показывает уверенный рост. Вместе с тем набирает силу и конкуренция как основной механизм регулирования хозяйственного процесса. Конкурентоспособность предприятию, акционерному обществу, любому другому хозяйствующему субъекту может обеспечить только правильное управление движением капитала и финансовых ресурсов, находящихся в их распоряжении.
Вот тут на помощь и приходит финансовый менеджмент, универсальный инструмент управления финансами предприятия
Финансовый менеджмент, или управление финансовыми ресурсами и отношениями, охватывает систему принципов, методов, форм и приёмов регулирования рыночного механизма в области финансов с целью повышения конкурентоспособности хозяйствующего субъекта.
Финансовый менеджмент – искусство управления финансами предприятий – уверенно вошел в отечественную практику хозяйствования, используя богатый арсенал методов, накопленных рыночной экономикой. [1, c.74]
Отечественный финансовый менеджмент, в отличие от западного, характеризуется динамизмом своих подходов и методов, определяемыми быстрыми изменениями внешних и внутренних условий хозяйствования предприятий. Те управленческие решения, которые вчера обеспечивали предприятию финансовый успех, сегодня могут привести к противоположному результату. В связи с этим искусство управления финансами предприятия требует на современном этапе своевременной корректировки его финансовой идеологии и стратегии, постоянного поиска новых методических приемов обоснования управленческих решений, новых финансовых инструментов реализации этих решений. [2, c.37]
Однако, несмотря на высокий динамизм финансового менеджмента, ему присущи и свои стабильные принципы, без знания которых довольно рискованно принятие решений в условиях рыночной экономики. Это относится к принципам формирования структуры капитала и состава активов, методам управления денежными потоками и финансовыми рисками, механизмом финансового управления в условиях кризисного развития предприятия. Знание и практическое использование современных принципов и механизмов, методов эффективного управления финансовой деятельностью предприятий позволяет обеспечить их относительно безболезненный переход к новому качеству экономического развития в рыночных условиях.
Забиваем Сайты В ТОП КУВАЛДОЙ - Уникальные возможности от SeoHammer
Каждая ссылка анализируется по трем пакетам оценки: SEO, Трафик и SMM.
SeoHammer делает продвижение сайта прозрачным и простым занятием.
Ссылки, вечные ссылки, статьи, упоминания, пресс-релизы - используйте по максимуму потенциал SeoHammer для продвижения вашего сайта.
Что умеет делать SeoHammer
— Продвижение в один клик, интеллектуальный подбор запросов, покупка самых лучших ссылок с высокой степенью качества у лучших бирж ссылок.
— Регулярная проверка качества ссылок по более чем 100 показателям и ежедневный пересчет показателей качества проекта.
— Все известные форматы ссылок: арендные ссылки, вечные ссылки, публикации (упоминания, мнения, отзывы, статьи, пресс-релизы).
— SeoHammer покажет, где рост или падение, а также запросы, на которые нужно обратить внимание.
SeoHammer еще предоставляет технологию Буст, она ускоряет продвижение в десятки раз,
а первые результаты появляются уже в течение первых 7 дней.
Зарегистрироваться и Начать продвижение
Президент Республики Казахстан Н.А. Назарбаев неоднократно в своих ежегодных посланиях подчеркивает, что целью развития нашей страны является управление ростом экономики Казахстана.[3] Достижение этой цели непосредственно зависит от уровня руководства, от объективности, конкретности, оперативности и научной обоснованности принимаемых решений. Теория и практика показывают, что успеха на рынке добиться невозможно без эффективного и целенаправленного управления всеми процессами, связанными с функционированием организации в рыночных условиях. А конкурентоспособность предприятия, в свою очередь, напрямую зависит от успешного управления перечисленных выше процессов.
Именно роль в управлении предприятием и совершенствование системы финансового менеджмента объясняют актуальность темы данной дипломной работы.Исходя из актуальности, была определена цель исследования, которая заключается в изучении роли финансового менеджмента в конкурентоспособности предприятия.В соответствии с целью были определены задачи, решение которых запланировано в работе:1. изучить теоретические основы финансового менеджмента;2. провести анализ системы финансового менеджмента на предприятии;3. определить пусти совершенствования системы финансового менеджмента на предприятии;4. сделать выводы.Объект исследования данной работы – система финансового менеджмента на предприятии.
Предмет исследования – организация и совершенствование финансового менеджмента на к предприятии.
При написании работы были использованы следующие методы исследования: организационные, эмпирические методы, методы обработки данных, включающие: количественный (статистический) и качественный методы, а также интерпретационные методы.
Информационной базой исследования проведенного в дипломной работы послужили научные труды и монографии ведущих отечественных и зарубежных ученых-финансистов, специальная и учебная литература, а также практические материалы ТОО "Жулдыз".
Структурно дипломная работа состоит из введения, трех глав и заключения.
Во введении, обоснована актуальность, определены цель, задачи, объект и предмет исследования. В первой главе рассматриваются теоретические аспекты финансового менеджмента. Во второй главе проведен анализ системы финансового менеджмента на ТОО "Жулдыз". В третьей главе проведено исследование вероятности банкротства, а также предложены мероприятия по совершенствованию финансового планирования на предприятии. В заключении приведены выводы по исследованию.
Сервис онлайн-записи на собственном Telegram-боте
Попробуйте сервис онлайн-записи VisitTime на основе вашего собственного Telegram-бота:
— Разгрузит мастера, специалиста или компанию;
— Позволит гибко управлять расписанием и загрузкой;
— Разошлет оповещения о новых услугах или акциях;
— Позволит принять оплату на карту/кошелек/счет;
— Позволит записываться на групповые и персональные посещения;
— Поможет получить от клиента отзывы о визите к вам;
— Включает в себя сервис чаевых.
Для новых пользователей первый месяц бесплатно.
Зарегистрироваться в сервисе
"Финансовый менеджмент - это наука о критериях принятия важнейших финансовых решений" [4,с.11]. Объектом управления в финансовом менеджменте является совокупность условий осуществления денежного оборота, кругооборота стоимости, движения финансовых ресурсов и финансовых отношении, между хозяйствующими субъектами и их подразделениями в хозяйственном процессе.
Финансовый менеджер постоянно сталкивается с проблемой выбора источников финансирования. Под внутренними и внешними источниками финансирования в финансовом менеджменте понимают соответственно собственные и привлеченные (заемные) средства. Известны различные классификации источников средств. Одна из возможных и наиболее общих группировок представлена на следующем рисунке (рисунок 1):

Рисунок 1. Источники финансовых средств предприятия
Источниками собственных средств являются уставный капитал; резервы, накопленные предприятием; прочие взносы юридических и физических лиц (целевое финансирование, пожертвования, благотворительные взносы и т.д.)
К основным источникам привлеченных средств относятся: ссуды банков; заемные средства; средства от продажи облигаций и других ценных бумаг; кредиторская задолженность. [5, с.231]
Финансовый механизм - система действия финансовых рычагов, выражающаяся в организации, планировании и стимулировании использования финансовых ресурсов. Структура финансового механизма представлена на следующем рисунке (рисунок 2):

Рисунок 2. Структура финансового механизма
Финансовый рычаг представляет собой прием действия финансового метода. К финансовым рычагам относятся: прибыль, доходы, амортизационные отчисления, экономические фонды целевого назначения, финансовые санкции, арендная плата, процентные ставки по ссудам, депозитам, облигациям, паевые взносы, вклады в уставный капитал, портфельные инвестиции, дивиденды, дисконт, котировка валютного курса тенге и т. п.
Правовое обеспечение функционирования финансового механизма включает законодательные акты, постановления, приказы, циркулярные письма и другие правовые документы органов управления.
Информативное обеспечение функционирования финансового механизма образуют инструкции, нормативы, нормы, тарифные ставки, методические указания и разъяснения и т. п.
Финансовый менеджмент как управленческий комплекс связан с управлением разными финансовыми активами, каждый из которых требует использования соответствующих приемов управления и учета специфики соответствующего звена финансового рынка. Поэтому финансовый менеджмент можно рассматривать как сложный управленческий комплекс, который включает в себя:
1) риск-менеджмент;
2) менеджмент кредитных операций;
3) менеджмент операций с ценными бумагами;
4) менеджмент валютных операций;
5) менеджмент операций с драгоценными металлами и драгоценными камнями;
6) менеджмент операций с недвижимостью.
Финансовый менеджмент как орган управления представляет собой аппарат управления, т. е. часть руководства хозяйствующим субъектом. На крупных предприятиях и в акционерных обществах таким аппаратом управления может быть финансовая дирекция во главе с финансовым директором или главным финансовым менеджером. Финансовая дирекция состоит из различных подразделений, состав которых определяется высшим органом управления хозяйствующего субъекта. К этим подразделениям могут относиться финансовый отдел, планово-экономический отдел, бухгалтерия, лаборатория (бюро, сектор) экономического анализа и т. д.
Финансовый менеджмент как форма предпринимательской деятельности означает, что управление финансовой деятельностью не может быть чисто бюрократическим, административным актом. Речь идет о творческой деятельности, которая активно реагирует на изменения, происходящие в окружающей среде. Финансовый менеджмент как форма предпринимательства предполагает использование научных основ планирования и управления, финансового анализа, нововведения (инноваций). Как форма предпринимательства финансовый менеджмент может быть выделен в самостоятельный вид деятельности. Эту деятельность выполняют как профессиональные менеджеры, так и финансовые институты (холдинговые компании, траст-компании и др.).
Таким образом, финансовый менеджмент – это наука управления финансами предприятия, направленная на достижение его тактических и стратегических целей, т.е. организация управления финансовыми потоками в целях рационального управления и эффективного использования собственного и заемного капитала и получения максимальной прибыли.
Основной целью финансового менеджмента является оценка потенциальных финансовых возможностей предприятия на предстоящие периоды и обеспечение максимизации благосостояния собственников предприятия с помощью рациональной финансовой политики.
Соответственно сущности финансового менеджмента можно выделить ряд задач, решаемые с его помощью:
1. обеспечение формирования объемов финансовых ресурсов, т.е. определение величины ресурсов в соответствии с анализом потребности в них;
2. обеспечение наиболее эффективного использования финансовых ресурсов;
3. оптимизация денежного оборота (увеличение скорости денежного оборота);
4. обеспечение максимизации прибыли;
5. обеспечение минимизации уровня финансового риска;
6. обеспечение постоянного финансового равновесия предприятия. [6, c.59]
Финансовый менеджмент как деятельность имеет две сферы приложения:
- внутрихозяйственную сферу, в которой управление финансовыми ресурсами и капиталом осуществляется на основании решений администрации внутри предприятия;
- внешнюю сферу, где управление финансовыми ресурсами и капиталом осуществляется в процессе установления финансовых отношений между предприятием и другими хозяйствующими субъектами, а так же между предприятием и государством.
Необходимые условия функционирования финансового менеджмента:
- предпринимательская деятельность;
- самофинансирование;
- рынок труда;
- рынок капиталов;
- четкая регламентация государственного регулирования деятельности предприятий, основанная на системе рыночного законодательства.
Сущность финансового менеджмента как экономической категории проявляется в выполняемых им функциях. Представляется целесообразным выделение и исследование трех основных функций:
- воспроизводственной;
- распределительной;
- контрольной.
Воспроизводственная функция финансового менеджмента обеспечивает сбалансированность материальных и финансовых ресурсов на всех стадиях кругооборота капитала в процессе простого и расширенного воспроизводства.
Экономическая обособленность оборотных, внеоборотных и финансовых активов приводит к необходимости управления их кругооборотом в рамках отдельно взятого предприятия или коммерческой организации.
"Кругооборот активов, совершающийся непрерывно во времени, представляет собой оборот, обслуживающий воспроизводство" [7, с.19]. Кругооборот является стадией оборота капитала.
Проявление воспроизводственной функции финансового менеджмента - прибыльность и ликвидность активов предприятия. Эффективное управление финансовыми ресурсами позволяет повышать прибыльность и обеспечивать долгосрочные инвестиции. Для поддержания высокой прибыльности и ликвидности решающую роль играет управление собственным и привлеченным капиталом.
Распределительная функция финансового менеджмента тесно связана с воспроизводственной функцией, так как выручка от реализации товаров подлежит распределению. Эта функция заключается в формировании и использовании денежных фондов, поддержании эффективной структуры капитала предприятия и коммерческой организации. Распределение начинается с формирования фонда возмещения, обеспечивающего покрытие затрат на простое воспроизводство и начисление износа. Это входит в сферу текущего финансирования и требует оперативного реагирования.
В результате распределительных процессов в предприятиях и коммерческих организациях покрываются затраты и образуется прибыль, которая также участвует в распределении и является его объектом. Прибыль определяется действующим законодательством, как "разница между выручкой от реализации продукции (работ, услуг) без налога на добавленную стоимость и акцизов и затратами на производство и реализацию, включаемыми в себестоимость продукции (работ, услуг)".[8, c.117]
Финансовый менеджер определяет политику предприятия в области распределения прибыли, ее роль и значение в воспроизводственном процессе и стимулировании. Результатом распределительных процессов является создание фондов денежных средств, обеспечивающих финансирование принятых к реализации программ, поддержание оптимальной структуры капитала, сведение к минимуму риска банкротства.
Контрольная функция финансового менеджера заключается в контроле тенге за реальным денежным оборотом. Контроль тенге может осуществляться двумя способами:
- в форме контроля за изменением финансовых показателей, состоянием платежей и расчетов: в этом случае финансовый менеджер опирается на систему санкций и поощрений;
- в форме контроля за реализацией стратегии финансирования: речь идет о реализации функции стратегического управления. Выработка стратегии финансирования позволяет концентрированно направлять финансовые ресурсы в те сферы, которые могут принести большую экономическую выгоду. [9, c.52]
Контрольная функция финансового менеджмента всегда имеет конкретную форму проявления. Для ее реализации большое значение имеет используемая предприятием система департаментализации. Наиболее распространены в мировой практике функциональная и дивизиональная департаментализации. Функциональная структура основывается на четком разграничении обязанностей, областей деятельности и задач, решаемых отделами и службами. Основные организационные блоки - это отдел производства, отдел сбыта, финансовый отдел, отдел маркетинга и т.п. Отделы могут дробиться и иметь более узкую специализацию.
Контрольная функция проявляется в том, что финансовый менеджер:
- выявляет степень соответствия получаемых доходов, структуры фондов денежных средств намеченным заданиям по расширению объемов производства и продаж;
- корректирует несоответствие между доходами предприятия и его расходами в использовании не только денежных, но и материальных ресурсов.
Контрольная функция финансового менеджмента реализуется последующим основным направлениям:
- контроль за правильным и своевременным перечислением средств в фонды предприятия по всем установленным источникам финансирования;
- контроль за соблюдением заданной структуры фондов с учетом потребностей производственного и социального развития;
- контроль за целенаправленным и эффективным использованием финансовых ресурсов. [7, c.97]
Для реализации контрольной функции предприятиям необходимо разрабатывать нормативы для внутреннего пользования, определяющие размеры фондов денежных средств и источники их финансирования, а так же регулирующие финансовые отношения со структурными подразделениями и филиалами. Например, в мировой практике широкое распространение получили бюджеты предприятий, которые позволяют также осуществить функцию планирования.
Контрольная функция финансового менеджмента включает также:
- контроль за поступлением выручки от реализации продукции и услуг;
- контроль за уровнем самофинансирования, прибыльности и рентабельности. С учетом уровня самофинансирования и прибыльности определяется степень финансового риска.
Основным принципом в деятельности финансового менеджера является выравнивание возможностей получения прибыли с преодолением риска от авансирования денежных средств в различные сферы предпринимательской деятельности.
Финансовый менеджмент играет активную роль в финансовой деятельности фирмы. Для ее выяснения рассмотрим принципы финансового менеджмента, в числе которых выделим основные:
- плановость и системность;
- целевую направленность;
- диверсифицированность;
- стратегическую ориентированность.
Финансовый менеджмент соединяет планирование материальных, трудовых и финансовых ресурсов, обеспечивая их сбалансированность. Финансовое планирование в данном случае имеет внутреннюю ориентацию с применением государственного внешнего регулирования. [10, c.142]
Функции финансового менеджмента определяют формирование структуры управляющей системы. Различают две основных группы функций финансового менеджмента: функции менеджмента как управляющей системы и функции менеджмента как специальной области управления. К первой группе относятся следующие функции:
1. Разработка финансовой стратегии предприятия.
2. Организационная функция обеспечивает принятие и реализацию управленческих решений по всем аспектам финансовой деятельности предприятия и сводится к объединению людей, совместно реализующих финансовую программу на базе каких-то правил и процедур. К последним относятся создание органов управления, построение структуры аппарата управления, установление взаимосвязи между управленческими подразделениями, разработка норм, нормативов, методик.
3. Информационная функция обеспечивает обоснование нескольких вариантов управленческих решений с помощью сбора, анализа, систематизации, передачи и хранения информации.
4. Функция анализа результатов различных аспектов финансовой деятельности предприятия.
5. Планирование обеспечивает разработку стратегических и тактических планов, бюджетов по основным направлениям финансовой деятельности, различным структурным подразделениям и предприятию в целом. Финансовое планирование охватывает весь комплекс мероприятий, как по выработке плановых заданий, так и по воплощению их в жизнь.
6. Прогнозирование (от греч. prognosis - предвидение) в Финансовом менеджменте - разработка на длительную перспективу изменений финансового состояния объекта в целом и его различных частей. Прогнозирование в отличие от планирования не ставит задачу непосредственно осуществить на практике разработанные прогнозы. Эти прогнозы представляют собой предвидение соответствующих изменений. Особенностью прогнозирования является также альтернативность в построении финансовых показателей и параметров, определяющая вариантность развития финансового состояния объекта управления на основе наметившихся тенденций. Прогнозирование может осуществляться на основе как экстраполяции прошлого в будущее с учетом экспертной оценки тенденции изменения, так и прямого предвидения изменений. Эти изменения могут возникнуть неожиданно. Управление на основе их предвидения требует выработки у финансового менеджера определенного чутья рыночного механизма и интуиции, а также применения гибких экстренных решений.
7. Стимулирующая функция связана с обеспечением стимулирования реализации принятых управленческих решений, т.е. с побуждением работников к заинтересованности в результатах своего труда посредством распределения материальных и духовных ценностей в зависимости от количества и качества затраченного труда.
8. Контрольная функция, посредством которой собирается информация об использовании финансовых средств и о финансовом состоянии объекта, вскрываются дополнительные резервы и возможности, вносятся изменения в финансовые программы, в организацию финансового менеджмента. Контроль предполагает анализ финансовых результатов. Финансовый контроль является оборотной стороной финансового планирования и должен рассматриваться как его составная часть - контроль за выполнением финансового плана, за реализацией принятых решений. [11,c.127]
Вторая группа функций включает в себя:
1) управление активами;
2) управление капиталом;
3) управление инвестициями;
4) управление денежными потоками;
5) управление финансовыми рисками и предотвращение банкротства.
Достижение целей финансового менеджмента задается стратегией развития. Задача стратегического курса заключается, прежде всего в отторжении тех вариантов принятия решений, которые могут противоречить глобальным целям.
Стратегия не может задаваться лишь перспективным планом, финансовая стратегия определяет возможность сбалансированного управления материально техническими и денежными ресурсами.
Соотношение текущего финансирования и накопления капитала - наиболее важный момент в финансовом менеджменте. Ликвидация централизованно устанавливаемых пропорций в использовании прибыли на потребление и накопление позволяет предприятиям самостоятельно решать, какую долю прибыли следует направлять на производственные цели, социальное развитие, оплату труда. Однако отсутствие четкой финансовой стратегии управления, игнорирование рыночной конъюнктуры никогда не позволят предприятию стать лидером ни на внутреннем, ни тем более на внешнем рынке. [12, c.77]
Финансовый менеджер систематически отслеживает сравнительную окупаемость капитальных вложений по конкретным объектам инвестирования, оценивает степень и уровень риска во временном аспекте.
Таким образом, принцип стратегической направленности является определяющим в отношении инвестиционной активности предприятий и коммерческих организаций, и задача финансового менеджмента заключается в необходимости его реализации.
Методы финансового управления многообразны. Основными из них являются: прогнозирование, планирование, налогообложение, страхование, самофинансирование, кредитование, система расчетов, принципы ценообразования, трастовые операции, залоговые операции, трансфертные операции, факторинг, аренда, лизинг. Составным элементом приведенных методов являются специальные приемы финансового управления: кредиты, займы, процентные ставки, дивиденды, котировка валютных курсов, акциз, дисконт и другие. [13, c.201]
Основной целью финансового анализа является получение небольшого числа ключевых (наиболее информативных) параметров, дающих объективную и точную картину финансового состояния предприятия, его прибылей и убытков, изменений в структуре активов и пассивов, в расчетах с дебиторами и кредиторами. При этом аналитика и управляющего (менеджера) может интересовать как текущее финансовое состояние предприятия, так и его проекция на ближайшую или более отдаленную перспективу, т.е. ожидаемые параметры финансового состояния. Но не только временные границы определяют альтернативность целей финансового анализа. Они зависят также от целей субъектов финансового анализа, т.е. конкретных пользователей финансовой информации. Исходной базой финансового анализа являются данные бухгалтерского учета и отчетности. Практика финансового анализа уже выработала основные правила (методику анализа) финансовых отчетов. Можно выделить среди них 7 основных методов. [14, c.187]
1. Чтение отчетности (изучение абсолютных показателей, представленных в отчетности). Посредством чтения определяют имущественное положение предприятия, его краткосрочные и долгосрочные инвестиции, источники формирования собственного и заемного капитала, оцениваются связи с поставщиками и покупателями предприятия, финансово кредитными учреждениями, оценивают выручку от основной деятельности и прибыль текущего года.
2. Горизонтальный анализ (временной) позволяет определить абсолютные и относительные изменения различных статей отчетности по сравнению с предыдущим периодом.
3. Вертикальный анализ (структурный) - определение структуры итоговых финансовых показателей с выявлением влияния каждой позиции отчетности на результат в целом. Он проводится с целью выявления удельного веса статей отчетности в общем итоговом показателе, принимаемом за 100%.
4. Трендовый анализ показывает динамику развития и основан на расчете относительных отклонений показателей отчетности за ряд лет от уровня базисного года, для которого показатели принимаются за 100%, т.е определение тренда - основной тенденции динамики показателя, очищенной от случайных влияний и индивидуальных особенностей отдельных периодов. С помощью тренда формируются возможные значения показателей в будущем, а следовательно, ведется перспективный, прогнозный анализ.
5. Расчет финансовых коэффициентов, которые описывают финансовые пропорции между различными статьями отчетности и определяют их взаимосвязь.
6. Сравнительный (пространственный) анализ - это как внутрихозяйственный анализ сводных показателей отчетности по отдельным показателям фирм, дочерних фирм, подразделений, цехов, так и межхозяйственный анализ показателей данной фирмы с показателями конкурентов, со среднеотраслевыми и средними общеэкономическими данными.
7. Факторный анализ - это анализ влияния отдельных факторов (причин) на результативный показатель. Причем факторный анализ может быть как прямым (собственно анализ), т.е. раздробление результативного показателя на составные части, так и обратным (синтез), когда его отдельные элементы соединяют в общий результативный показатель.
Финансовое состояние предприятия можно оценивать с точки зрения краткосрочной и долгосрочной перспектив. В первом случае критерии оценки финансового состояния – ликвидность и платежеспособность предприятия, т.е. способность своевременно и в полном объеме произвести расчеты по краткосрочным обязательствам.
Под ликвидностью какого-либо актива понимают способность его трансформироваться в денежные средства, а степень ликвидности определяется продолжительностью временного периода, в течение которого эта трансформация может быть осуществлена. Чем короче период, тем выше ликвидность данного вида активов. [15, c.153]
В мировой практике финансовый план является важнейшим элементом бизнес-планов, создаваемой для управления текущей и стратегической финансовой деятельностью.
Финансовый план хозяйствующего субъекта - это документ, отражающий объем поступления и расходования денежных средств, фиксирующий баланс доходов и направлений расходов предприятия, включая платежи в бюджет на планируемый период.
Финансовый план необходим предприятию для того, чтобы заранее знать финансовые результаты своей деятельности и организовать рациональное движение финансовых ресурсов в соответствии с выбранной финансовой стратегией.
Главная цель составления финансового плана заключается в согласовании намечаемых расходов по производственному и социальному развитию трудовых коллективов с финансовыми возможностями предприятия.
В процессе составления финансового плана осуществляется следующее:
- определяются источники и объем собственных финансовых ресурсов предприятия (прибыль, амортизация, устойчивые пассивы и др.);
- изучается возможность и целесообразность привлечения финансовых ресурсов за счет выпуска цененных бумаг, получения кредитов, займов, благотворительных взносов и т.д.;
- выбираются оптимальные для конкретной ситуации формы образования и использования фондов денежных средств, взаимоотношений с бюджетом, банками, вышестоящими органами, своими работниками;
- устанавливаются рациональные пропорции распределения финансовых ресурсов на внутрихозяйственные нужды (расширение и перевооружение производства, материальное стимулирование, удовлетворение социальных потребностей членов трудового коллектива) или вложение их в дела других предприятий и организаций (долевое участие в формировании уставных капиталов, покупка ценных бумаг и другие операции на финансовом рынке);
- определяются целесообразность и экономическая эффективность планируемых капиталовложений;
- выявляются внутренние резервы производства и повышения его рентабельности на базе имеющихся материальных и трудовых ресурсов, производственных мощностей, а также перспективы внедрения достижений научно-технического прогресса и совершенствования производства.
Основная задача финансового планирования - обеспечение нормального воспроизводственного процесса необходимыми источниками финансирования. Причем огромное значение имеют целевые источники финансирования, их формирование и использование. [16, c.71]
Вторая задача - соблюдение интересов акционеров и других инвесторов. Бизнес-план, содержащий подробное финансовое обоснование инвестиционного проекта, является для инвесторов основным документом, стимулирующем вложение капитала.
Третья задача - гарантия выполнения обязательств предприятия перед бюджетом и внебюджетными фондами, банками и другими кредиторами. Оптимальная для данного предприятия структура капитала приносит максимальную прибыль и максимизирует при заданных параметрах платежи в бюджет.
Четвертая задача - выявление резервов и мобилизация ресурсов в целях эффективного использования прибыли и других доходов.
Пятая задача - контроль тенге за финансовым состоянием, платежеспособностью и кредитоспособностью предприятия.
Планирование финансов финансовый менеджер производит через управление балансом доходов и расходов, планом поступления финансовых ресурсов за счет других источников, а так же регулирование использования средств.
Стратегический финансовый план определяет важнейшие показатели, пропорции и темпы расширенного воспроизводства, является главной формой реализации целевых установок, стратегии инвестиций и предполагаемых накоплений. Он составляет коммерческую тайну предприятия. Текущие финансовые планы разрабатываются на основе перспективных путем их конкретизации и детализации.
Неотъемлемой частью финансового планирования является налоговое планирование. Финансовая оптимизация с позиций налогообложения (налоговое планирование) - часть финансовой оптимизации, осуществляемой финансовым менеджментом, Цель налогового планирования - максимально увеличить средства, остающиеся в распоряжении предприятия после осуществления всех налогов и платежей.
Контроль является составной частью управления общественным воспроизводством. Любое общество не может нормально функционировать и развиваться без четко организованной системы контроля за производством и распределением общественного продукта и другими сферами общественной жизни.
В широком смысле контроль – это процесс, обеспечивающий соответствие функционирования управляемого объекта принятым управленческим решениями и направленный на успешное достижение поставленных целей. Основная цель контроля состоит в том, чтобы объективно изучить фактическое положение дел в различных областях общественной и государственной жизни, выявить те факторы и условия, которые отрицательно сказываются на выполнении принятых решений и достижении поставленных целей. [17, c.161]
Контроль дает информацию о том, какие процессы происходят в обществе, помогает выработать наиболее целесообразные решения общих и специальных вопросов развития экономики, предоставляет возможность судить о правильности принятых решений, своевременности и результативности их выполнения.
Назначение финансового контроля заключается в содействии успешной реализации финансовой политики государства, обеспечении процесса формирования и эффективного использования финансовых ресурсов во всех сферах и звеньях народного хозяйства. Финансовый контроль является формой реализации контрольной функции финансов.
По определению, финансовый контроль - это совокупность действий и операций по проверке финансовых и связанных с ними вопросов деятельности субъектов хозяйствования и управления с применением специфических форм и методов его организации.
Финансовый контроль является одним из функциональных элементов управления финансами. Он тесно связан и осуществляется одновременно с другими элементами управления, такими, как финансовое планирование, оперативное управление финансами. Посредством финансового контроля проверяется выполнение финансовых планов, организация финансово-хозяйственной деятельности. С другой стороны, результаты финансового контроля используются в финансовом планировании, в оперативном управлении.
Результатами финансового контроля является выявление различных факторов экономической жизни (как правило, отрицательных) и количественных показателей, например: самоликвидация предприятий, замедление реализации некоторых видов товаров, сокращение ввоза в республику определенных товаров. Эти факты свидетельствуют о неэффективности установленных форм и методов реализации финансовых отношений (высокие ставки налогов, таможенных пошлин) и сигнализируют о необходимости их изменения. [7, c.159]
Количественные показатели представлены, например, данными о суммах допричисленных налогов, о величине завышения финансирования бюджетных учреждений или недостаточного финансирования их. Эти данные наряду с показателями бухгалтерской, статистической отчетности образуют базы финансовой информации. Собранная информация анализируется и используется в прогнозировании, планировании, оперативном управлении финансами. Она позволяет определить источники и размеры реального увеличения финансовых ресурсов, направления их более эффективного использования.
Финансовый контроль выступает как механизм обратной связи в цепочке от постановки целей и задач финансовой политики до получения практических результатов развития экономики. Полученные в ходе финансового контроля цифры и факты, их анализ являются основанием для изменения концепции финансовой политики, для разработки новых прогнозов, планов, перегруппировки финансовых ресурсов, изменения форм финансовых отношений. А вновь созданные планы, формы и методы реализации финансовых отношений опять нуждаются в контроле. [4, c.116]
Для осуществления финансового контроля создаются особые контрольные органы, укомплектованные высококвалифицированными специалистами. Их права, обязанности и ответственность строго регламентированы, в том числе и в законодательном порядке.
Объектом финансового контроля являются денежные, распределительные процессы при формировании и использовании финансовых ресурсов, в том числе в форме фондов денежных средств, на всех уровнях и звеньях народного хозяйства.
Непосредственным предметом проверок выступают такие финансовые (стоимостные) показатели, как прибыль, доходы, налог на добавленную стоимость, рентабельность, себестоимость, издержки обращения, отчисления на различные цели и в фонды. Эти показатели имеют синтетический характер, поэтому контроль за их выполнением, динамикой, тенденциями охватывает все стороны производственной, хозяйственной и коммерческой деятельности объединений, предприятий, учреждений, а также механизм финансово-кредитных взаимосвязей.
Для целей оценки эффективности финансового менеджмента в управления деятельностью предприятием наука и практика выработали специальные методы, называемые финансовыми показателями. Финансовые показатели - это микромодели финансовых и экономических явлений. Отражая динамику и противоречия происходящих процессов, они подвержены изменениям и колебаниям и могут приближаться или отдаляться от своего главного предназначения - измерения и оценки сущности финансового состояния.
Поэтому анализ финансовой устойчивости начинается с показателей, отражающих сущность устойчивости финансового состояния.
В условиях рыночных отношений деятельность предприятия и его развитие осуществляются преимущественно за счет самофинансирования, т.е., собственного капитала. Лишь при недостаточности собственных финансовых ресурсов привлекаются заемные средства. В этих условиях особое значение приобретает финансовая независимость от внешних заемных источников, хотя обойтись без них практически невозможно. Поэтому необходимо разграничить источники формирования текущих активов финансовой отчетности. Минимальная часть их формируется за счет собственной нормы оборотного капитала для обеспечения производственной программы (норматив). Возникающая в отдельные периоды дополнительная потребность в текущих активах сверх минимальной потребности покрывается краткосрочными кредитами банка и коммерческим кредитом, т.е. за счет заемных средств. [3, c.174]
В процессе анализа источников формирования активов устанавливается фактический размер собственного и привлеченного (заемного) капитала, выявляются причины, вызвавшие их изменения за отчетный период, дается им соответствующая оценка. Главное внимание при этом уделяется собственному капиталу, поскольку запас источников собственных средств - это запас финансовой устойчивости.
Важно установить не только фактический размер собственного капитала, но и определить удельный вес его в общей сумме капитала. Этот показатель в специальной литературе носит различные названия (коэффициент собственности, коэффициент независимости, коэффициент автономии), но суть его одна: по нему судят, насколько предприятие независимо от заемных средств и способно маневрировать собственными средствами.
Коэффициент независимости определяется отношением собственного капитала ко всему авансированному капиталу по следующей формуле (1):
(1)
где: Кн
- коэффициент независимости;
Ск
— собственный капитал;
Вб
— авансированный капитал (итог, валюта баланса, т.е. общая сумма финансирования).
Достаточно высоким уровнем коэффициента независимости считается отношение собственного капитала к валюте баланса, равное 0,5 — 0,6. В этом случае риск кредиторов сведен к минимуму: продав половину имущества, сформированную за счет собственных средств, предприятие сможет погасить свои долговые обязательства, даже если вторая половина, в которую вложены заемные средства, будет по каким-то причинам обесценена. [8, c.172]
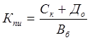
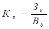
Коэффициент зависимости характеризует долю обязательств предприятия в общей сумме капитала предприятия. Данный коэффициент рассчитывается по формуле (2):
(2)
где: Кз
- коэффициент зависимости;
Зк
— привлеченный капитал;
Вб
— авансированный капитал (итог, валюта баланса).
Чем выше эта доля, тем больше зависимость предприятия от внешних источников финансирования.
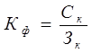
Следующим показателем, характеризующим финансовую устойчивость предприятия, является коэффициент финансирования, представляющий собой отношение собственного капитала к привлеченному капиталу, который рассчитывается по формуле (3):
(3)
где: Кф
— коэффициент финансирования;
Ск
— собственный капитал;
Зк
— заемный (привлеченный) капитал.
Чем выше уровень этого коэффициента, тем для банков и инвесторов надежнее финансирование.
Коэффициент показывает, какая часть деятельности предприятия финансируется за счет собственных средств, а какая — за счет заемных. Ситуация, при которой величина коэффициента финансирования < 1 (большая часть имущества предприятия сформирована за счет заемных средств), может свидетельствовать об опасности неплатежеспособности и нередко затрудняет получение кредита.
На западных предприятиях шире, чем коэффициент финансирования, применяется его обратный показатель — коэффициент соотношения заемных и собственных средств, который определяется отношением привлеченного капитала к собственному капиталу. Данный коэффициент, находится по формуле 4, обратной к формуле 3.
Этот коэффициент указывает, сколько заемных средств привлекло предприятие на один тенге вложенных в активы собственных средств.
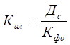
Одним из важных показателей, характеризующих степень независимости (автономности) предприятия, является коэффициент финансовой устойчивости, или, как его еще называют, коэффициент покрытия инвестиций. [11, c.147] Он характеризует долю собственных и долгосрочных заемных средств в общем (авансированном) капитале, т.е. определяется по формуле (4):
(5)
где: Кпи
- коэффициент финансовой устойчивости;
До
— долгосрочные обязательства (долгосрочные кредиты и займы);
Вб
– валюта баланса.
Это более мягкий показатель по сравнению с коэффициентом автономии. В западной практике принято считать, что нормальное значение коэффициента равно около 0,9, критическим считается его снижение до 0,75.
Финансовое состояние предприятия, его устойчивость во многом зависит от оптимальности структуры источников капитала (соотношения собственных и заемных средств) и от оптимальности структуры активов предприятия и, в первую очередь, от соотношения основного и оборотного капитала.
В зависимости от источников формирования общую сумму оборотных средств принято делить на две части:
а) переменную, которая создана за счет краткосрочных обязательств предприятия;
б) постоянный минимум текущих активов (запасов и затрат), который образуется за счет собственного капитала.
Недостаток собственного оборотного капитала приводит к увеличению переменной и уменьшению постоянной части текущих активов, что также свидетельствует об усилении финансовой зависимости предприятия и неустойчивости его положения.
Сумму собственного оборотного капитала можно рассчитать таким образом: из общей суммы текущих активов вычесть сумму краткосрочных обязательств (IV раздел баланса).
Рассчитывается также структура распределения собственного капитала, а именно доля собственного оборотного капитала и доля собственного основного капитала в общей его сумме.
При этом используется коэффициент маневренности капитала, который рассчитывается по следующей формуле (6):
(6)
где: Кмк
– коэффициент маневренности капитала;
Сок
– собственный оборотный капитал;
Ск
– совокупный собственный капитал.
Коэффициент маневренности капитала показывает, какая часть собственного капитала находится в обороте, т.е. в той форме, которая позволяет свободно маневрировать этими средствами. Коэффициент должен быть достаточно высоким, чтобы обеспечить гибкость в использовании собственных средств предприятия.
Если в результате анализа предприятие признается неустойчивым, то при внутреннем анализе осуществляется углубленное изучение причин изменения запасов, оборачиваемости текущих активов, наличия собственного оборотного капитала, а также резервов сокращения долгосрочных и текущих материальных активов, ускорения оборачиваемости средств, увеличения собственного оборотного капитала. [7, c.153]
При этом особо следует остановиться на эффективности использования оборотных средств, так как рациональное использование оборотных средств влияет на основные показатели хозяйственной деятельности предприятия: на рост объёма производства, снижение себестоимости продукции, повышение рентабельности предприятия.
Оценка платежеспособности по балансу осуществляется на основе характеристики ликвидности оборотных активов, которая определяется временем, необходимым для превращения их в денежные средства. Чем меньше требуется времени для инкассации данного актива, тем выше его ликвидность. Ликвидность баланса - возможность субъекта хозяйствования обратить активы в наличность и погасить свои платежные обязательства, а точнее - это степень покрытия долговых обязательств предприятия его активами, срок превращения которых в денежную наличность соответствует сроку погашения денежных обязательств.
Ликвидность предприятия - это более общее понятие, чем ликвидность баланса. Ликвидность баланса предполагает взыскание платежных средств только за счет внутренних источников (реализация активов). Но предприятие может привлечь заемные средства со стороны, если у него имеется соответствующий имидж в деловом мире и достаточно высокий уровень инвестиционной привлекательности.
Анализ ликвидности баланса заключается в сравнении средств по активу, сгруппированных по степени убывающей ликвидности с краткосрочными обязательствами по пассиву, которые группируются по степени срочности их погашения. [12, c.188]
Первая группа активов А1
включает в себя абсолютно ликвидные активы: денежная наличность и краткосрочные финансовые вложения.
Вторая группа А2
- быстрореализуемые активы: товары отгруженные, дебиторская задолженность, налоги по приобретенным ценностям. Ликвидность этой группы зависит от своевременности отгрузки продукции, оформления банковских документов, скорости платежного документооборота в банке, от спроса на продукцию, ее конкурентоспособности, платежеспособности покупателей, форм расчетов и т.д.
Третья группа активов А3
- это медленно реализуемые активы: производственные запасы, незавершенное производство, готовая продукция, незавершенное строительство и т.д. Значительно больший срок понадобится для превращения их в денежную наличность.
Четвертая группа А4
- это труднореализуемые активы: основные средства, нематериальные активы, долгосрочные финансовые вложения, расходы будущих периодов, долгосрочная дебиторская задолженность, сомнительные долги и пр.
Соответственно по 4 группам разбиваются и обязательства предприятия:
П1
- наиболее срочные обязательства, которые должны быть погашены в течение месяца;
П2
- среднесрочные обязательства, которые должны быть погашены в течение 1 года;
П3
- долгосрочные кредиты банка или займы;
П4
- собственный (акционерный) капитал предприятия, находящийся постоянно в распоряжении предприятия.
Ко второй группе относятся готовая продукция, товары отгруженные и дебиторская задолженность. Ликвидность этой группы текущих активов зависит от своевременности отгрузки продукции, оформления банковских документов, скорости платежного документооборота в банках, от спроса на продукцию, ее конкурентоспособности, платежеспособности покупателей, форм расчетов и др.
Значительно больший срок понадобится для превращения производственных запасов и незавершенного производства в готовую продукцию, а затем в денежную наличность. Поэтому они отнесены к третьей группе.
Соответственно на три группы разбиваются и платежные обязательства предприятия:
а) задолженность, сроки оплаты которой уже наступили;
б) задолженность, которую следует погасить в ближайшее время;
в) долгосрочная задолженность.
Чтобы определить текущую платежеспособность, необходимо ликвидные средства первой группы сравнить с платежными обязательствами первой группы. На основании только этих показателей нельзя безошибочно оценить финансовое состояние предприятия, так как данный процесс очень сложный, и дать ему полную характеристику двумя-тремя показателями нельзя. [4, c.119]
Баланс считается абсолютно ликвидным, если выполняются соотношения: А1
³ П1
, А2
³П2
, А3
³П3
, А4
£П4
.
Наряду с абсолютными показателями для оценки ликвидности и платежеспособности также используют относительные показатели (коэффициенты ликвидности). Коэффициенты ликвидности (коэффициент абсолютной ликвидности, коэффициент текущей ликвидности, коэффициент быстрой ликвидности) - показатели относительные и на протяжении некоторого времени не изменяются, если пропорционально возрастают числитель и знаменатель дроби. Само же финансовое положение за это время может существенно измениться, например, уменьшится чистый доход, уровень рентабельности, коэффициент оборачиваемости и др.[11, c.190]
Эти показатели представляют интерес не только для руководства предприятия, но и для внешних субъектов анализа: коэффициент абсолютной ликвидности - для поставщиков сырья и материалов, коэффициент быстрой ликвидности - для банков, коэффициент текущей ликвидности - для инвесторов.
Коэффициент абсолютной ликвидности показывает, какая часть краткосрочных обязательств может быть погашена за счет имеющейся денежной наличности. Чем выше эта величина, тем больше гарантия погашения долгов. Дополняет общую картину платежеспособности предприятия наличие или отсутствие у него просроченных обязательств, их частота и длительность.
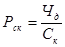
Коэффициент абсолютной ликвидности определяется по следующей формуле (7):
(7)
где: Кал
– коэффициент абсолютной ликвидности;
Дс
– денежные средства;
Кфв
– краткосрочные финансовые обязательства.
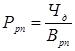
Коэффициент быстрой ликвидности определяется по следующей формуле (8):
(8)
где: Кбл
– коэффициент быстрой ликвидности;
Дс
– денежные средства;
Кдз
– краткосрочная дебиторская задолженность;
Кфв
– краткосрочные финансовые вложения;
Кфо
– краткосрочные финансовые обязательства.
Удовлетворительным обычно считается значение данного показателя 0,7-1.
Коэффициент текущей ликвидности (общий коэффициент покрытия) показывает степень покрытия текущими активами краткосрочных обязательств. Удовлетворительным считается коэффициент со значением больше 2,0. (формула 9)
(9)
где: Ктл
– коэффициент текущей ликвидности;
Та
– текущие активы;
Ко
– краткосрочные обязательства.
В качестве конкретных цифровых показателей деловой активности предприятия принято рассматривать различные финансовые коэффициенты оборачиваемости оборотных средств, позволяющие определить, насколько эффективно предприятие использует свои ресурсы.
Под оборачиваемостью оборотных средств понимается длительность одного полного кругооборота средств с момента превращения оборотных средств в денежной форме в производственные запасы и до выхода готовой продукции и ее реализации. Кругооборот средств завершается зачислением дохода на счет предприятия.[14, c.211]
Коэффициенты оборачиваемости рассчитываются как отношение дохода (выручки) от реализации продукции (работ, услуг) к среднегодовой сумме отдельных элементов капитала или активов, скорость оборота которых изучается.
Скорость оборота активов предприятия принято рассчитывать с помощью формулы (10):
(10)
где: Ко
а
– коэффициент оборачиваемости активов предприятия;
ВРП – доход от реализации продукции (работ, услуг);
СВА
– средняя величина активов предприятия.
Соответственно, оборачиваемость текущих активов будет определяться как (формула 11):
(11)
где: Ко
Та
– коэффициент оборачиваемости текущих активов предприятия;
ВРП – доход от реализации продукции (работ, услуг);
СВТА
– средняя величина текущих активов предприятия.
Средняя величина активов по данным баланса определяется по формуле (12):
(12)
где: Он, Ок – величина активов на начало и на конец периода.
Продолжительность одного оборота в днях определяется по формуле (13):
(13)
где: До
– продолжительность одного оборота в днях;
Ко
Та
– коэффициент оборачиваемости текущих активов предприятия;
Коэффициент привлечения (высвобождения) оборотного капитала в связи с замедлением (ускорением) оборачиваемости текущих активов рассчитывается по формуле (14):
(14)
где: КОп(в) – коэффициент привлечения высвобождения оборотных средств;
ВРП – доход от реализации продукции (работ, услуг).
Анализ показателей эффективности использования оборотных средств и источников формирования оборотного капитала должен помочь выявить дополнительные резервы и способствовать улучшению основных экономических показателей работы предприятия.[11, c.114]
Функционирование предприятия зависит от его способности приносить необходимый доход. При этом следует иметь в виду, что руководство предприятия имеет значительную свободу в регулировании величины финансовых результатов. Так, исходя из принятой финансовой стратегии, предприятие имеет возможность увеличивать или уменьшать величину балансовой прибыли за счет выбора того или иного способа оценки имущества, порядка его списания, установления срока использования и так далее.
Существует и используется система показателей эффективности деятельности, среди них коэффициент рентабельности активов имущества (формула 15):
(15)
где: Ра
– рентабельность активов (имущества) предприятия;
Чд
– чистый доход
Сва
– средняя величина активов предприятия.
Этот показатель отражает, какую прибыль (доход) получает предприятие с каждого тенге, вложенного в активы.[9, c.77]
В аналитических целях определяется как рентабельность всей совокупности активов, так и рентабельность текущих активов (формула 16).
(16)
где: Ра
– рентабельность текущих активов (имущества) предприятия;
Чд
– чистый доход;
Свта
– средняя величина текущих активов предприятия.
Если предприятие ориентирует свою деятельность на перспективу, ему необходимо разработать инвестиционную политику (при этом под инвестированием понимается постоянное и долгосрочное финансирование). Информация о средствах, инвестированных в предприятие, может быть получена по данным баланса как сумма собственных источников средств и долгосрочных обязательств. [10, c.166]
Показателем, отражающим эффективность использования средств, инвестированных в предприятие, является рентабельность инвестиций, которая определяется по формуле (17):
(17)
где: Ри
– рентабельность инвестиций;
Ддн
– доход до уплаты налогов;
Ко
– краткосрочные обязательства предприятия.
Инвесторы капитала (акционеры) вкладывают в предприятие свои средства с целью получения прибыли от этих инвестиций, поэтому, с точки зрения акционеров, наилучшей оценкой результатов хозяйственной деятельности является наличие прибыли на вложенный капитал. Показатель прибыли на вложенный капитал, называемый также рентабельностью собственного капитала, определяется по формуле (18):
(18)
где: Рск
– рентабельность собственного капитала;
Чд
– чистый доход;
Ск
– собственный капитал предприятия.
Другой важный коэффициент рентабельности реализованной продукции, рассчитывается по формуле (19):
(19)
где: Ррп
– рентабельность реализованной продукции;
Чд
– чистый доход;
Врп
– выручка от реализации продукции.
Значение этого коэффициента показывает, какую прибыль имеет предприятие с каждого тенге реализованной продукции. Тенденция к его снижению может быть и "красным флажком" в оценке конкурентоспособности предприятия, поскольку позволяет предположить сокращение спроса на его продукцию.[8, c.220] Существует взаимосвязь между показателями рентабельности активов (имущества), оборачиваемостью активов и рентабельностью реализованной продукции, которая может быть представлена в виде формулы (20):
(20)
где: Ра
– рентабельность активов;
Оа
– оборачиваемость активов;
Ррп
– рентабельность реализованной продукции.
Иными словами, прибыль предприятия, полученная с каждого тенге средств, вложенных в активы, зависит от скорости оборачиваемости средств и от того, какова доля чистого дохода (прибыли) в выручке от реализации. В общем случае, оборачиваемость активов зависит от объема реализации и средней величины активов. Таким образом, анализ всех рассмотренных выше показателей позволяет выявить, насколько эффективно предприятие использует свои средства. Умение правильно их исчислять, анализировать и определять влияние различных факторов на изменение их уровня позволит полнее выявить резервы повышения эффективности производства, разработать рекомендации по устранению выявленных недостатков и укреплению его финансового положения.
ТОО "Жулдыз" было зарегистрировано в городе Алматы в 2001 году, по адресу проспект Сейфуллина, 392/7.
Основным видом деятельности ТОО "Жулдыз" является производство и реализация вино-водочной продукции под торговой маркой "Жулдыз".
Имущество ТОО "Жулдыз" составляют основные фонды, оборотные средства и иное имущество, стоимость которого отражается в самостоятельном балансе ТОО. Данное имущество принадлежит ТОО на праве частной собственности.
Источником формирования имущества ТОО "Жулдыз" являются:
- вклад Участников в Уставный капитал;
- доходы, полученные от деятельности ТОО "Жулдыз";
- иные источники, не запрещенные законодательными актами Республики Казахстан.
Таблица 1 - Основные фонды ТОО "Жулдыз" тыс. тенге
| Основные фонды |
2008г. |
2009г. |
| 1 |
2 |
3 |
| Земля |
236 |
236 |
| Здания и сооружения |
4432 |
3313 |
| Машины и оборудования, передаточные устройства |
13952 |
54436 |
| Транспортные средства |
- |
8021 |
*источник: Отчет о результатах финансово-хозяйственной деятельности ТОО "Жулдыз" за период 2008-2009гг.
Здания и сооружения, включаемые в имущество данного предприятия представляют собой склады, цеха, гаражный массив и административное здание.
В бухгалтерском балансе ТОО "Жулдыз"представлена информация о стоимости основных средств предприятия. В процессе его изучения было выявлено прибытие и выбытие основных средств за 2008 г. не было, стоимость основных средств меняется лишь в результате начисления амортизации. В 2009 году произошло выбытие зданий и сооружений на сумму 1119 тыс.тг. Поступило в 2009 году машины и оборудование, передаточные устройства – 33 ед. на сумму 40484; транспортные средства – 2 ед. на сумму 8021 тыс. тг.
Основные технико-экономические показатели за 2008-2009 год, приведены в Приложении А.
По данным Приложения А видно, что за 2009 год выпуск продукции увеличился по сравнению с 2008 годом на 100,4 %. Доход от реализации повысился на 176%. Отрицательным является увеличение себестоимости продукции на 176,1% в 2009 году. Можно отметить увеличение заработной платы на 126,4%.
Рассчитаем показатели фондоотдачи, фондоемкости, фондовооруженноти, фондорентабельности.
Фондоотдача определяется по формуле:
(21)
2008 год
Среднегодовая стоимость основных средств составит (1733359+19387268):2= 10560313 тг. А выручка от реализации в 2008г. составила 182 414 860тг. (Приложение Б)
Таким образом, фондоотдача = 182 414 860: 10 560 313=17,27 тенге.
Это значит, что на 1 тенге основных производственных фондов приходится 17,27 тенге продукции.
Обратная величина фондоотдачи – фондоемкость, определяется:
(22)
Фондоемкость = 1 : 17,27 = 0,06 тенге. Т.е. на производство каждого 1 тенге выпущенной продукции было затрачено 0,06 тенге основных средств.
(23)
Так как численность работников в среднем за 2008 год составила 50 человек, то фондовооруженность = 10560313: 50 = 211206 тенге. То есть на одного работника приходится 211 206 тенге основных средств.
Фондорентабельность определяется отношением прибыли к среднегодовой стоимости основных средств. Балансовая прибыль составила 108 666 тыс.тг.
(24)
Фондорентабельность = 6 222 434: 10560313 = 0,58 тенге.
То есть 1 тенге основных производственных фондов дает 0,58 тенге.
2009 год
Среднегодовая стоимость основных средств (19387268+67168582)/2= 43277925 тенге.
Фондоотдача = 315660599/((19387268+67168582)/2)=7,29 тенге. Это значит, что на 1 тенге основных производственных фондов приходится 7,29 тенге продукции.
Фондоемкость = 1:7,29 = 0,14 тенге.
Т.е. на производство каждого 1 тенге выпущенной продукции было затрачено 0,14 тенге основных средств.
Фондовооруженность = ((19387268+67168582)/2):95 =455557 тенге.
То есть на одного работника приходится 455 557 тенге основных средств.
Фондорентабельность = 6 568 767 /43277925 =0,15.
Значит 1 тенге основных производственных фондов дает 0,15 тенге.
Результаты анализа основных фондов ТОО "Жулдыз" обобщены в сводной таблице 2.
Таблица 2 - Эффективность использования основных средств
| № п/п |
Показатель |
2008г. |
2009г. |
| 1 |
2 |
3 |
4 |
| 1 |
Фондоотдача |
17,27 |
7,29 |
| 2 |
Фондоемкость |
0,06 |
0,14 |
| 3 |
Фондовооруженность |
211206 |
455557 |
| 4 |
Фондорентабельность |
0,58 |
0,15 |
*источник: Отчет о результатах финансово-хозяйственной деятельности ТОО "Жулдыз" за период 2008-2009гг.
Из таблицы видно, что вследствие увеличения среднегодовой стоимости основных средств в 2009 году, показатели фондоотдачи и фондорентабельности уменьшаются, а показатели фондоемкости и фондовооруженности увеличиваются. Проведем анализ капитала и обязательств предприятия ТОО "Жулдыз". В таблице 3 представим структуру капитала и обязательств предприятия за 2008-2009 года.
Таблица 3 - Структура капитала и обязательств ТОО "Жулдыз" за 2008-2009 года тыс. тенге
| Показатели |
2008г. |
% к валюте баланса |
2009г. |
% к валюте баланса |
Отклонения (гр5-грЗ) |
| Пассив |
99455,6 |
100 |
123155 |
100 |
- |
| Краткосрочные обязательства |
49241,67 |
49,5 |
86746 |
70 |
20,5 |
| Долгосрочные обязательства |
43920 |
44,2 |
23768,5 |
19,3 |
-24,9 |
| Капитал |
6293,9 |
6,3 |
12640,3
|
10,3 |
4 |
*источник: Отчет о результатах финансово-хозяйственной деятельности ТОО "Жулдыз" за период 2008-2009гг.
Пассивы отражают источники средств предприятия, состоят из собственного капитала, обязательств.
Собственный капитал - это активы общества, после вычета ее обязательств, состоит из:
-уставный капитал не изменился за 2 года и составляет 71,5 тыс. тг.;
-нераспределенный доход за 2008 год составил 6222,4 тыс. тенге, который увеличился на 6346,37 тыс. тенге и составил в 2009 году 12568,7 тыс. тенге.
Таким образом, доля собственного капитала в 2009 году увеличилась на 4% по отношению к валюте баланса.
Структура заемных средств в течение 2 лет претерпела для предприятия некоторые изменения. Так доля текущих обязательств увеличилась с 49,5% в 2008 г. до 70% в 2009 году, то есть на 20,5%. За этот период предприятие уменьшило долю долгосрочных обязательств, а именно займов банков. В 2008 году займы банков составили 44,2%, которые уменьшились на 20151,5 тыс. тг. и составили 19,3% в 2009 году, изменение составило 24,9%.
Таким образом, наблюдается увеличение текущих обязательств одновременно с ростом долгосрочных активов. За истекший период предприятие приобретает основные средства для того чтобы в будущем иметь возможность производить работы самостоятельно, без подрядных организаций.
Признаки кризиса в деятельности предприятия обнаруживаются, прежде всего, в показателях ликвидности и финансовой устойчивости. Поэтому финансовый анализ начинается с анализа именно этих показателей.
Одним из основных критериев финансового положения предприятия является оценка его платежеспособности, под которой принято понимать способность предприятия рассчитываться по своим долгосрочным обязательствам. Следовательно, платежеспособным является то предприятие, у которого активы больше, чем внешние обязательства.
Способность предприятия рассчитывать по своим краткосрочным обязательствам называется ликвидностью. Иначе говоря, предприятие считается ликвидным, если оно в состоянии выполнить свои краткосрочные обязательства, реализуя текущие активы.
Для оценки ликвидности предприятия привлекаются данные бухгалтерского баланса. Информация, отраженная во втором разделе баланса, характеризует величину текущих активов в начале и в конце отчетного периода. Сведения о краткосрочных обязательствах предприятия содержатся в четвертом разделе баланса [13, 54].
Предприятие может быть ликвидным в большей или меньшей степени, поскольку в состав текущих активов входят разнородные оборотные средства, среди которых имеются как легко реализуемые, так и трудно реализуемые для погашения внешней задолженности.
В то же время в составе краткосрочных пассивов могут быть выделены обязательства различных степеней срочности.
Поэтому, одним из способов оценки ликвидности является сопоставление определенных элементов активов и пассивов между собой. С этой целью обязательства предприятия группируются по степени их срочности, а его активы - по степени ликвидности, то есть реализуемости.
Так, наиболее срочные обязательства предприятия, срок оплаты которых наступает в текущем месяце, сопоставляются с величиной активов, обладающих максимальной ликвидностью, то есть денежные средства, легко реализуемые ценные бумаги. При этом часть срочных обязательств, остающихся не покрытыми, должны уравновешиваться менее ликвидными активами - дебиторской задолженностью предприятия с устойчивым финансовым положением, легко реализуемыми запасами товарно-материальных ценностей и другое.
Проведем анализ изменений в составе имущества и источников его формирования ТОО "Жулдыз". Данные поместим в таблице 4.
Таблица 4 – Горизонтальный анализ агрегированного баланса ТОО "Жулдыз" и источники его формирования за период 2008 - 2009 года
| Наименование статей баланса |
2008г. |
2009г. |
Прирост |
Прирост
%
|
| Статьи актива |
| Денежные средства и краткосрочные финансовые вложения |
287,6 |
1837,1 |
+ 1549,5 |
В 5 раз |
| Дебиторская задолженность |
50243,3 |
31950,7 |
-18292,6 |
- 36,4 |
| Товарно-материальные запасы |
30287,4 |
28632,4 |
-1655 |
- 5 |
| Долгосрочные активы |
18637 |
60734,6 |
+42097,6 |
В 2,3 раза |
| Баланс |
99455,6 |
123155 |
+23699,4 |
+23,8 |
| Статьи пассива |
| Текущие обязательства |
49241,7 |
86746 |
+ 37504 |
+ 76 |
| Долгосрочные обязательства |
43920 |
23768,5 |
-20151,5 |
- 45,8 |
| Собственный капитал |
6293,9 |
12640,3 |
+6346,4 |
+100 |
| Баланс |
99455,6 |
123155 |
+23699,4 |
+ 23,8 |
*источник: Бухгалтерский баланс ТОО "Жулдыз" за 2008-2009гг.
По данным таблицы 4 можно сделать вывод, что значительный объем долгосрочных обязательств ТОО "Жулдыз" оказались покрытыми активами с относительно невысокой оборачиваемостью, такие как дебиторская задолженность покупателей, товарно-материальными запасами.
При этом обращает на себя внимание тенденция к повышению текущих обязательств на 37504 тысяч тенге или на 76%, что объясняется ростом обязательств перед подрядными организациями, а также получение значительных сумм в виде авансов от покупателей и заказчиков.Другим показателем, характеризующим ликвидность предприятия, является оборотный капитал, который определяется как разность текущих активов и краткосрочных обязательств. Иными словами, предприятие имеет оборотный капитал до тех пор, пока текущие активы превышают краткосрочные обязательства или пока оно ликвидно.Оборотный капитал определяется разностью между текущими активами и краткосрочными обязательствами.
По данным таблицы 4 видно, что оборотный капитал анализируемого предприятия составил:
- на начало 2009 года: оборотный капитал = 80818,5- 49241,67 = 31576,83 тыс. тенге,
- на конец 2009 года: оборотный капитал = 62420,3 - 86746 = -24325,7 тыс. тенге.
За анализируемый период, если в 2008 году предприятие было ликвидно, то в 2009 году наблюдается дефицит оборотного капитала.
В практике аналитической работы используют систему показателей ликвидности, рассмотренных в первой главе. Данные показатели позволяют определить способность предприятия оплатить свои краткосрочные обязательства в течение отчетного периода. Рассчитаем показатели ликвидности для ТОО "Жулдыз". Для расчета используем данные таблицы 4. Рассчитанные показатели ликвидности ТОО "Жулдыз" отобразим в таблице 5.
Таблица 5 – Показатели ликвидности ТОО "Жулдыз" за период с 2008 по 2009г.
| Показатели |
2008г. |
2009г. |
Отклонения |
| 1 |
2 |
3 |
4 |
| Коэффициент абсолютной ликвидности |
0,006 |
0,02 |
+0,014 |
| Коэффициент быстрой ликвидности |
1 |
0,4 |
-0,6 |
| Коэффициент текущей ликвидности |
1,6 |
0,72 |
-0,88 |
*источник: составлено автором на основе Отчета о результатах финансово-хозяйственной деятельности ТОО "Жулдыз" за период 2008-2009гг.
На основе таблицы 5, можно увидеть, что по данным ТОО "Жулдыз" коэффициент абсолютной ликвидности составляет 0,006 на начало года, а на конец года 0,02. Таким образом, погасить свои обязательства в срочном порядке предприятие не смогло бы. Даже учитывая малую вероятность того, что все кредиторы предприятия одновременно предъявят ему свои долговые требования, и, принимая во внимание тот факт, что теоретически достаточным значением для коэффициента абсолютной ликвидности является значение 0,2. В связи с этим, учитывая допустимость сложившихся на предприятии условий, можно считать его неликвидным по составлению, как на начало, так и на конец 2008 года.
Коэффициент быстрой ликвидности определяется как отношение денежных средств, ценных бумаг и дебиторской задолженности к краткосрочным обязательствам. Этот показатель характеризует, какая часть текущих обязательств может быть погашена не только за счет наличности, но и за счет ожидаемых поступлений за отгруженную продукцию.
Показатель быстрой ликвидности представляет собой большой интерес для кредиторов ТОО "Жулдыз". Нормативное значение данного показателя больше или равно 0,7. Значение показателя у предприятия на начало года соответствует указанному теоретическому значению - 1, а к концу года значительно ниже – 0,4, что свидетельствует о том, что ликвидность предприятия понижается.
Коэффициент текущей ликвидности позволяет установить, в какой степени кратности текущие активы покрывают краткосрочные обязательства. В общем случае нормативными считаются значения этого показателя, находящиеся в пределах от двух до трех.
Как видно, данный коэффициент на начало года ниже рекомендуемых значений, а к концу года понизился до 0,72, что является результатом уменьшения текущих активов на 22,7 %, при одновременном увеличении краткосрочных обязательств за данный период на 88,3%.
Определим, какая часть собственных источников средств вложена в наиболее мобильные активы, то есть которыми можно относительно маневрировать. Для этого рассчитываем коэффициент маневренности, который определяется как отношение оборотного капитала к собственному капиталу.
Коэффициент маневренности капитала ТОО "Жулдыз" на начало года составляет 31576,8/6293,9= 5, то на конец года наблюдается дефицит оборотных средств. Это говорит о недостаточности собственных средств предприятия находящихся в мобильной форме. Имеется в виду уменьшение текущих активов при увеличении текущих обязательств.
В условиях недостаточности оборотных средств жизнеспособность предприятия будет зависеть от состояния и качества активов, то есть состава производственных запасов, спроса на продукцию, надежности покупателей, а также срочности его обязательств.
Показатели ликвидности и платежеспособности имеют устойчивую тенденцию к понижению, и их значение на 2009 год не удовлетворительное.
Признание предприятия неплатежеспособным не означает признание его несостоятельным, не влечет за собой наступления гражданско-правовой ответственности собственника. Это лишь зафиксированное состояние финансовой неустойчивости, направленное на обеспечение оперативного контроля за финансовым состоянием предприятия и заблаговременного осуществления мер по предупреждению несостоятельности, а также для стимулирования предприятия к самостоятельному выходу из кризисного состояния.
Результаты анализа ликвидности ТОО "Жулдыз", проведенный в пункте 2.2, указывают на необходимость проведения расчётов коэффициент восстановления платежеспособности, который анализируют при неудовлетворительной структуре баланса для проверки реальной возможности у предприятия восстановить свою платежеспособность.
Значение коэффициента восстановления платежеспособности больше 1 означает наличие у предприятия реальной возможности восстановить платежеспособность в течение шести месяцев.
Для ТОО "Жулдыз" по данным на 01.01.2009 года коэффициент восстановления платежеспособности равен:
Квп
= (0,72 + 6/12 (0,72 – 1,6)) / 2 = 0,14
Таким образом, ТОО "Жулдыз" в течение 6 месяцев не сможет восстановить платежеспособность при сохранении текущих тенденций финансовой деятельности. Для улучшения финансовых показателей предприятия требуются решительные меры со стороны руководства предприятия по увеличению оборотного капитала, снижению кредиторской задолженности и активизации работы по снижению внеплановых издержек.
При этом необходимо детально разобраться в причинах задержек потребителями оплаты продукции и услуг и так далее. Эти причины могут быть внешними, не зависящими от анализируемого предприятия, а могут быть и внутренними.
Финансовое положение предприятия находится в непосредственной зависимости от того, насколько быстро средства, вложенные в активы, превращаются в реальные деньги.
Как уже было выяснено ранее, отдельные виды активов предприятия имеют различную скорость оборота.
Исходная информация для расчетов показателей оборачиваемости по ТОО "Жулдыз" за 2008г. и 2009 г. представлена в таблице 6.
Таблица 6 - Исходная информация для расчетов показателей оборачиваемости по ТОО "Жулдыз" за 2008г. и 2009г.
| Показатели |
2008г. |
2009г. |
Отклонения
гр.3-гр.2
|
| Доход от реализации продукции без НДС |
182414,8 |
321494,8 |
+139080 |
| Полная себестоимость по предприятию |
162771,1 |
286663 |
+123891,9 |
| Доход от обычной деятельности до налогообложения |
7131,9 |
14806,2
|
+7674,3 |
| Доход от обычной деятельности после налогообложения |
5447,8 |
12568,7 |
+7120,9 |
| Средняя стоимость совокупных активов |
85929,6 |
111305,3 |
+25375,7 |
| Средняя стоимость текущих активов |
75762,4 |
71619,4 |
-4143 |
*источник: Отчет о результатах финансово-хозяйственной деятельности ТОО "Жулдыз" за период 2008-2009гг.
Как видно из таблицы 6, показатели доходов на предприятии за 2009 год повысились по сравнению с 2008 годом, что положительно характеризует эффективность деятельности предприятия, но снизилась средняя стоимость текущих активов и повысилась себестоимость произведенной продукции.
Средняя совокупность совокупных и текущих активов предприятия увеличилась, что положительно характеризует динамику имущественного состояния предприятия.
В общем случае скорость оборота активов или коэффициент оборачиваемости активов Ко.а
можно определить по формуле 10.
Коэффициент оборачиваемости совокупных активов по ТОО "Жулдыз" составил:
- за 2008 год Ко.а. = 182414,8 : 85929,6= 2,1 раз;
- за 2009 год, Ко.а. = 321494,8 : 111305,3 = 2,9 раз.
Затем определяем продолжительность одного оборота в днях То.
.
Продолжительность одного оборота совокупных активов составила:
-за 2008 год = 360 : 2,1 = 171 дней,
-за 2009 год = 360 : 2,9 = 124 дня.
Динамику изменения рассчитанных показателей оборачиваемости текущих активов отчетного 2009 года по сравнению с 2008 годом отобразим в таблице 7.
Таблица 7 - Динамика показателей оборачиваемости текущих активов ТОО "Жулдыз" за 2008-2009 г.
| Наименование показателей |
2008г. |
2009г. |
Отклонения
гр.3-гр.2
|
| Выручка от реализации без НДС, тыс.тенге |
182414,8 |
321494,8 |
+139080 |
| Полная себестоимость, тыс.тенге |
162771,1 |
286663 |
+ 123891,9 |
| Средняя величина текущих активов, тыс.тенге |
75762,4 |
71619,4 |
-4143 |
| Средняя величина совокупных активов, тыс.тенге |
85929,6 |
111305,3 |
+25375,7 |
| Коэффициент оборачиваемости текущих активов (стр.1 /стр.3) |
2,4 |
4,5 |
+2,1 |
| Коэффициент оборачиваемости совокупных активов (стр.1 /стр.4) |
2,1 |
2,9 |
+0,8 |
| Продолжительность оборота текущих активов, (360/стр.5) дни |
150 |
80 |
-70 |
| Продолжительность оборота совокупных активов, (360/стр.6) дни |
171 |
124 |
-47 |
*источник: составлено автором на основе Отчета о результатах финансово-хозяйственной деятельности ТОО "Жулдыз" за период 2008-2009гг.
Как видно из таблицы 7, продолжительность оборота текущих активов уменьшилась на 70 дней, то есть средства, вложенные в анализируемом периоде в текущие активы, проходят полный цикл и снова принимают денежную форму на 70 дней меньше, чем в предыдущем периоде.
Таким образом, проведенный анализ ликвидности, платежеспособности и деловой активности свидетельствуют о крайне низких показателях, что требует проведения более точного анализа показателей финансовой устойчивости.
При оценке уровня управления финансами на предприятии, производится оценка структуры источников средств.
Оценка структуры источников средств производится как внутренними, так и внешними пользователями бухгалтерской информации.
Внешние пользователи - это банки, инвесторы, кредиторы. Они оценивают изменение доли собственных средств предприятия в общей сумме источников средств с точки зрения финансового риска. При заключении сделок риск нарастает с уменьшением доли собственных средств [28, 15].
Внутренний анализ структуры источника имущества связан с оценкой альтернативных вариантов финансирования деятельности предприятия. При этом основными критериями выбора служат условия привлечения заемных средств, их цена, степень риска, возможные направления использования и так далее. В общем случае вне зависимости от организационно-правовых форм собственности источниками формирования имуществ любого предприятия служат собственные и заемные средства.
Информация о величине собственных источников представлена в пассиве баланса. Пассивы отражают источники средств общества и состоят из собственного капитала и обязательств. Собственный капитал - это активы общества, после вычета из них обязательств и состоят из уставного капитала - стоимостное выражение совокупного вклада учредителей, собственников, в имущество предприятия при его создании.
Размер уставного капитала определяется учредительными документами и может быть изменен только по решению учредителей и внесению соответствующих изменений в учредительные документы.
К числу основных показателей финансовой устойчивости предприятия относятся: коэффициент независимости; коэффициент финансовой устойчивости; коэффициент финансирования.
Определим значения всех коэффициентов для ТОО "Жулдыз" по состоянию на начало и на конец отчетного периода – 2009 года. Рассчитанные коэффициенты отобразим в таблице 8.
Таблица 8 – Коэффициенты финансовой устойчивости ТОО "Жулдыз" за 2008-2009 г.
| Показатели |
2008г. |
2009г. |
Отклонения
гр.3-гр.2
|
| Коэффициент независимости |
0,06 |
0,1 |
+0,04 |
| Коэффициент финансовой устойчивости |
0,5 |
0,3 |
-0,2 |
| Коэффициент финансирования |
0,14 |
0,53 |
+0,39 |
*источник: составлено автором на основе отчета о результатах финансово-хозяйственной деятельности ТОО "Жулдыз" за период 2008-2009гг.
По данным таблицы 8 можно сделать следующие выводы: коэффициент независимости характеризует долю средств, вложенных собственниками в общую стоимость имущества предприятия. Значение данного коэффициента по предприятию повысилось на конец года. Отклонение составило 4%, что отрицательно характеризует финансовую устойчивость предприятия. Коэффициент независимости составляет лишь 5% валюты баланса.
Коэффициент финансовой устойчивости на конец года уменьшается на 20 %. Большая часть имущества предприятия на конец года формируется за счет заемных источников. Уменьшение значения этих коэффициентов показывает, что риск предприятия максимальный; реализовав имущество, сформированного за счет собственных средств предприятие не погасит свои долговые обязательства.
Коэффициент финансирования на конец года коэффициент финансирования увеличивается на 39%. Значение данного показателя позволяет говорить о достаточно низкой финансовой устойчивости предприятия и большом риске для его кредиторов.
Рассчитанные коэффициенты можно изобразить графически на рисунке 2.

Кн – коэффициент независимости;
Кфу – коэффициент финансовой устойчивости;
Кф – коэффициент финансирования.
Рисунок 2 – Динамика показателей финансовой устойчивости предприятия ТОО "Жулдыз" за 2008-2009 г.
В целом результаты оценки финансовой устойчивости ТОО "Жулдыз" позволяют сделать вывод о том, что деятельность предприятия и в целом состояние его финансовой устойчивости можно охарактеризовать, как неудовлетворительное, потому что показатели финансовой устойчивости отрицательные, имеют тенденцию уменьшения на конец 2009 года.
Исследуем систему показателей эффективности деятельности предприятия. Наиболее интересными показателями являются рентабельность активов, рентабельность текущих активов, рентабельность инвестиций, рентабельность собственного капитала, рентабельность реализованной продукции. Данные показатели рассчитываются по формулам 15-19, описанным в первой главе дипломной работы.
Значение коэффициента рентабельность реализованной продукции показывает, какой доход имеет предприятие с каждого тенге реализованной продукции. Тенденция к его снижению может быть и "красным флажком" в оценке конкурентоспособности предприятия, поскольку позволяет предположить сокращение спроса на его продукцию.
Рассчитаем данные показатели для ТОО "Жулдыз" за период 2008-2009 года и результаты расчета отобразим в таблице 9.
Таблица 9 – Показатели эффективности деятельности ТОО "Жулдыз" за 2008-2009 г.
| Показатель |
Назначение |
2008г. |
2009г. |
| Рентабельность активов |
Показывает, какой доход получает предприятие с каждого тенге, вложенного в активы |
6,3% |
11% |
| Рентабельность текущих активов |
Показывает, какой доход имеет предприятие с каждого тенге, вложенного в текущие активы |
7% |
17,5% |
| Рентабельность инвестиций |
Отражает эффективность использования средств, инвестированных в предприятие |
14,5% |
17% |
| Рентабельность Собственного капитала |
Указывает на величину дохода, получаемого с каждого тенге, вложенного в предприятие |
86,5% |
99% |
| Рентабельность реализованной продукции |
Показывает, какой доход, имеет предприятие с каждого тенге реализации |
2,9% |
3,9% |
*источник: составлено автором на основе собственных расчетов
Данные таблицы 9 позволяют составить аналитическое заключение о финансовом состоянии предприятия. В целом, по ТОО "Жулдыз" наблюдается некоторое улучшение в использовании его имущества на конец 2009 года. С каждого тенге средств, вложенных в совокупные активы, предприятие в отчетном 2009 году получило прибыли на 11%. Эффективность использования текущих активов предприятия составила 17,5%. В отчетном 2009 году рентабельность собственного капитала составила 99%. Интерес для анализа представляет также показатель рентабельности реализованной продукции. На каждый тенге реализованной продукции предприятие в отчетном году получило 3,9 % прибыли. Анализируемое ТОО "Жулдыз" для получения чистого дохода в размере 12568 тысяч тенге при величине выручки от реализации 321 тысяч тенге предприятие задействовало в отчетном году текущие активы в размере 71619,4 тысяч тенге (в среднем). В заключение приведенного анализа финансового состояния составляется итоговая таблица основных соотношений экономических показателей, характеризующих финансовое положение ТОО "Жулдыз" за период 2008-2009 года.
Таблица 10 - Сводная оценка финансового состояния ТОО "Жулдыз", 2008-2009 года
| Показатели |
2008г. |
2009г. |
Отклонения
гр.3-гр.2
|
| 1 . Распределение активов (в % к валюте баланса - нетто): |
| 1.1 Краткосрочные активы |
81,3 |
50,7 |
-30,6 |
| 1.2 Долгосрочные активы |
18,7 |
49,3 |
+30,6 |
| 2. Распределение источников средств, % |
| 2.1 Заемные |
93,7 |
89,3 |
-4,4 |
| 2.2 Собственные |
6,3 |
10,3 |
+ 4 |
| 3. Ликвидность и платежеспособность |
| 3.1 Отношение текущих активов к краткосрочным обязательствам |
1,6 |
0,72 |
-0,88 |
| 3.2 Отношение ликвидных активов к краткосрочным обязательствам |
0,006 |
0,02 |
+ 0,014 |
| 4. Оборачиваемость, дн. |
| 4. 1 Совокупность активов |
171 |
124 |
-47 |
| 4.2 Текущих активов |
150 |
80 |
-70 |
| 5. Рентабельность, % |
| 5.1 Реализованной продукции |
2,9 |
3,9 |
+ 1 |
| 5.2 Собственного капитала |
86,5 |
99 |
+ 12,5 |
| 5.3 Текущих активов |
7 |
17,5 |
+ 10,5 |
| 5.4 Совокупных активов |
6,3 |
11 |
+ 4,7 |
*источник: составлено автором на основе собственных расчетов
По данным таблицы 10 можно сделать следующие выводы. В структуре источников имущества предприятия собственный капитал в начале года составлял лишь 6,3 %, но к концу года его доля выросла и составила 10,3 %. Соответственно этому преобладает доля заемных средств, которая снизилась с 93,7 % в начале года до 89,3 % в конце.
Ликвидность ТОО "Жулдыз" характеризуется следующими соотношениями: величина коэффициента покрытия уменьшается к концу года на 88%, что связано с уменьшением оборотных средств в сравнении с ростом краткосрочных обязательств; коэффициент срочности очень низкий как в начале, так и в конце года, что характерно для современного положения предприятий, не имеющих практически денежных средств из-за неплатежей. Коэффициенты ликвидности оказались ниже рекомендуемых значений.
Деловая активность предприятия, т.е. оборачиваемость активов на предприятии характеризуется повышением в сравнении с предыдущим годом: - на 47 дней сократился период оборота текущих активов, на 70 дней - совокупных активов. При этом предприятие испытывает дефицит собственных оборотных средств. Рост отдельных коэффициентов, характеризующих деловую активность отражает скорость оборота средств.
Динамика показателей эффективности деятельности предприятия характеризуется следующим. В отчетном году из-за наличия прибыли (дохода) рентабельность реализованной продукции составила 3,9 % собственного капитала 99 %, текущих активов – 17,5 %, а совокупных активов - 11 %.
Причина снижения рассмотренных выше коэффициентов кроется в увеличении сырья, используемого в производственных процессах предприятия, уменьшении стоимости основных средств в результате списания в связи с амортизацией, а также, немаловажно, в финансовом кризисе 2008 года, в течении которого предприятие не могло рассчитывать на привлечение заемных средств.
В результате неоднозначности результатов финансового анализа устойчивости, деловой активности и эффективности деятельности предприятия можно с уверенностью говорить о недостатках в организации финансового менеджмента на ТОО "Жулдыз", что требует разработки методов совершенствования всей системы финансового менеджмента на предприятии.
Финансовая неустойчивость – это подтвержденная документально неспособность предприятия платить по своим долговым обязательствам и финансировать текущую основную деятельность из-за отсутствия средств.
Основным признаком финансовой неустойчивости является неспособность предприятия обеспечить выполнение требований кредиторов в течение трех месяцев со дня наступления сроков платежей. По истечении этого срока кредиторы получают право на обращение в суд о признании предприятия должника банкротом.
Банкротство предопределено самой сущностью рыночных отношений, которые сопряжены с неопределенностью достижения конечных результатов и риском потерь.
Предпосылки банкротства многообразны – это результат взаимодействия многочисленных факторов как внешнего, так и внутреннего характера. Их можно классифицировать следующим образом [6].
Внешние факторы:
-экономические: кризисное состояние экономики страны, общий спад производства, инфляция, нестабильность коньюктуры рынка, неплатежеспособность и банкротство партнеров. Одной из причин несостоятельности субъектов хозяйствования может быть неправильная фискальная политика государства. Высокий уровень налогообложения может оказаться непосильным для предприятия.
-политические: политическая нестабильность общества, внешнеэкономическая политика государства, разрыв экономических связей, потеря рынков сбыта, изменение условий экспорта и импорта, несовершенство законодательства в области хозяйственного права, антимонопольной политики, предпринимательской деятельности и прочих проявлений регулирующей функции государства.
-усиление международной конкуренции в связи с развитием научно-технического прогресса.
-демографические: численность, состав народонаселения, уровень благосостояния народа, культурный уклад общества, определяющие размер и структуру потребностей и платежеспособный спрос населения на те или другие виды товаров и услуг.
Внутренние факторы:
-дефицит собственного оборотного капитала как следствие неэффективной производственно-коммерческой деятельности или неэффективной инвестиционной политики.
-низкий уровень техники, технологий и организации производства.
-снижение эффективности использования производственных ресурсов предприятия, его производственной мощности и как следствие высокий уровень себестоимости, убытки, "проедание" собственного капитала.
-создание сверхнормативных остатков незавершенного производства, производственных запасов, готовой продукции, в связи с чем происходит затоваривание, замедляется оборачиваемость капитала и образуется его дефицит. Это заставляет предприятие залезать в долги и может быть причиной его банкротства.
-плохая клиентура предприятия, которая платит с опозданием или не платит вовсе по причине банкротства, что вынуждает предприятие самому залезать в долги. Так зарождается цепное банкротство.
-привлечение заемных средств в оборот предприятия на невыгодных условиях, что ведет к увеличению финансовых расходов, снижению рентабельности и способности к самофинансированию.
-отсутствие сбыта из-за низкого уровня организации маркетинговой деятельности по изучению рынков сбыта продукции, формированию портфеля заказов, повышению качества и конкурентоспособности продукции, выработке ценовой политики.
-быстрое и неконтролируемое расширение хозяйственной деятельности, в результате чего запасы, затраты и дебиторская задолженность растут быстрее объема продаж. Отсюда появляется потребность в привлечении краткосрочных заемных средств, которые могут превысить чистые текущие активы (собственный оборотный капитал). В результате предприятие попадает под контроль банков и других кредиторов и может подвергнуться угрозе банкротства.
Банкротство является, как правило, следствием совместного действия внутренних и внешних факторов. В развитых странах с рыночной экономикой, устойчивой экономической и политической системой разорение субъектов хозяйствования на 1/3 связано с внешними факторами и на 2/3 с внутренними.
Таким образом, анализ финансовой отчетности является, по сути, обоснованным анализом финансового состояния предприятия, позволяющим судить о его финансовой устойчивости и провести диагностику экономической деятельности предприятия с установлением риска его банкротства.
Рассмотрим один из основных подходов к прогнозированию финансового состояния с позиции возможного банкротства предприятия:
В развитых странах широко распространен прогноз банкротства предприятий с использованием формулы Альтмана, которая была получена на основе статистических данных предприятий банкротов [14].
При построении индекса Альтман обследовал 66 предприятий промышленности, половина из которых обанкротилась почти за 20 лет, а половина работала успешно, и исследовал 22 аналитических коэффициента, которые могли быть полезны для прогнозирования возможного банкротства. Из этих показателей он отработал 5 наиболее значимых для прогноза и построил многофакторное управление. Таким образом, индекс Альтмана представляет собой функцию от некоторых показателей, характеризующих экономический потенциал предприятия и результаты его работы за истекший период. В общем виде индекс кредитоспособности (Z) имеет вид:
, (2)2
где:
, (23)
, (24)
, (25)
, (26)
, (27)





Рассчитанный индекс Альтмана для ТОО "Жулдыз" составил:

Критическое значение индекса рассчитывалось Альтманом по данным статистической выработки и составило 2,675. С этой величиной сопоставляется расчетное значение индекса для конкретного предприятия. Это позволяет провести границу и высказать суждение о возможном обозримом будущем (2-3 года) банкротстве одних (Z<2,675) и достаточно устойчивом финансовом положении других (Z>2,675).
В таблице 11 приведены значения Z-счета и вероятность банкротства.
Таблица 11 - Степень вероятности банкротства
| Значение Z-счета |
Вероятность банкротства |
1,81 и меньше
1,81 до 2,70
от 2,71 до 2,90
3,0 и выше
|
Очень высокая
Высокая
Существует возможность
Очень низкая
|
*источник: Астахов В.П. Анализ финансовой устойчивости фирмы и процедуры, связанные с банкротством. М.: Ось-89, 1999
Следовательно, можно сделать вывод о том,что финансовое состояние нашего предприятия является достаточно устойчивым (Z=4,05), т.е. вероятности банкротства нет. Точность прогноза на один год составляет 95%, на два – 83%.
При анализе финансового состояния предприятия необходимо знать запас его финансовой устойчивости (зону безопасности). С этой целью все затраты предприятия следует предварительно разбить на переменные и постоянные в зависимости от объема производства и реализации продукции [16].
Переменные затраты увеличиваются или уменьшаются пропорционально объему производства продукции. Это расходы сырья, материалов, энергии, топлива, зарплата работников на сдельной форме оплаты труда, отчисления и налоги от зарплаты и выручки и т.д.
Постоянные затраты не зависят от объема производства и реализации продукции. К ним относятся амортизация основных средств и нематериальных активов, суммы выплаченных процентов за кредиты банка, арендная плата, расходы на управление и организацию производства, зарплата персонала предприятия на повременной оплате и др.
Постоянные затраты вместе с прибылью составляют маржинальный доход предприятия.
Деление затрат на постоянные и переменные и использование показателя маржинального дохода позволяет рассчитать порог рентабельности, то есть. ту сумму выручки, которая необходима для того, чтобы покрыть все постоянные расходы предприятия. Прибыли при этом не будет, но не будет и убытка. Рентабельность при такой выручке будет равна нулю.
Рассчитывается порог рентабельности отношением суммы постоянных затрат в составе себестоимости реализованной продукции к доле маржинального дохода в выручке:
, (28)
Если известен порог, то нетрудно подсчитать запас финансовой устойчивости (ЗФУ):
*100% (29)
В таблице 12 рассчитаем порог рентабельности и запас финансовой устойчивости ТОО "Жулдыз".
Таблица 12 - Расчет порога рентабельности и запаса финансовой устойчивости
| Показатели |
2009г. |
| Выручка от реализации продукции, тыс.тенге |
321494,8 |
| Доход от основной деятельности, тыс.тенге |
14806,2 |
| Полная себестоимость реализованной продукции, тыс.тенге |
286663 |
| Сумма переменных затрат, тыс.тенге |
6674,7 |
| Сумма постоянных затрат, тыс.тенге |
13350,8 |
| Сумма маржинального дохода, тыс.тенге |
118953,07 |
| Доля маржинального дохода в выручке, % |
0,37 |
| Порог рентабельности, тыс.тенге |
36083 |
| Запас финансовой устойчивости, тыс.тенге |
88,77 |
*источник: составлено автором на основе собственных расчетов
Как показывает расчет (таблица 12), выручка составила 321494,8 тыс.тенге., что выше порога на 285411,8 тыс.тенге. Это говорит о том, что в данный период предприятие имеет стабильное финансовое положение.
В заключение необходимо обобщить все результаты анализа, поставить более точный диагноз ФСП и сделать его прогноз на перспективу. Следует запланировать также конкретные мероприятия, которые позволят еще более улучшить финансовое состояние предприятия.
Прежде всего, это мероприятия, направленные на увеличение производства и реализации продукции, повышение ее качества и конкурентоспособности, снижение себестоимости, рост прибыли и рентабельности, ускорении оборачиваемости капитала и более полное и эффективное использование производственного потенциала предприятия.
Рассмотренная в разделе 3.1 модель определения возможности банкротства применима, прежде всего, для крупных компаний, которых не так уж много в Республике Казахстан. Поэтому отечественными нормативно-распорядительными документами предлагается другой подход к прогнозированию возможного банкротства, с помощью планирования показателей платежеспособности.
В современных условиях при неустойчивой экономической ситуации особую значимость приобретают вопросы анализа финансово-хозяйственной деятельности, а некоторые из разделов современных методик финансового анализа, базирующихся на системах относительных показателей, до недавнего времени носившие для большинства бухгалтеров и аналитиков достаточно умозрительный и искусственный характер, приобретают чисто практическую направленность.
Принятие решений на основании системы критериев финансовой неустойчивости сводится к следующему:
-о принятии структуры баланса неудовлетворительной, а предприятия – неплатежеспособным;
-о наличии реальной возможности предприятия-должника восстановить свою платежеспособность;
-о наличии реальной возможности утраты платежеспособности предприятия, когда оно в ближайшее время не сможет выполнить свои обязательства перед кредиторами.
Указанные решения принимаются по результатам анализа и вне зависимости от наличия установленных законодательством внешних признаков несостоятельности.
Принятые решения являются основанием для подготовки предложений по оказанию финансовой поддержки неплатежеспособности, приватизации этих предприятий, ликвидационных мероприятий, а также применение иных установленных действующим законодательством полномочий управления. Для этого запрашивается дополнительная информация и проводится углубленный анализ финансово-хозяйственной деятельности предприятия.
Согласно законодательству и мировой практике показатели для оценки удовлетворительности структуры баланса являются:
-коэффициент текущей ликвидности (общего покрытия), определяемого отношением текущих активов (II раздел актива баланса) к текущим обязательствам (III раздел пассива баланса за вычетом доходов будущих периодов). Коэффициент текущей ликвидности характеризует общую обеспеченность предприятия оборотными средствами для ведения хозяйственной деятельности и своевременного погашения текущих обязательств предприятия;
-коэффициент обеспеченности собственными средствами, определяемого отношением собственных оборотных средств (собственный капитал минус долгосрочные активы = Iраздел пассива баланса минус I раздел актива баланса) к стоимости текущих активов (IIраздел актива баланса). Он характеризует наличие собственных оборотных средств у предприятия, необходимых для его финансовой устойчивости.
Данные коэффициенты были рассчитаны в разделе 2.2 и соответственно равны 0,72 и 5.
Основанием для признания структуры баланса предприятия неудовлетворительной, а предприятия – неплатежеспособным является выполнение одного из следующих условий:
-коэффициент текущей ликвидности на конец отчетного периода имеет значение 0,72;
-коэффициент обеспеченности собственными средствами на конец отчетного периода имеет значение 5.
Для анализируемого предприятия значение первого коэффициента не достигает нормативной величины, а второго – превышает.
При неудовлетворительной структуре баланса для проверки реальной возможности у предприятия восстановить свою платежеспособность рассчитывается коэффициент восстановления платежеспособности сроком на шесть месяцев следующим образом:
, (30)
где - коэффициент восстановления;
и - фактическое значение коэффициента текущей ликвидности на конец и начало отчетного периода;
- установленный период восстановления платежеспособности, месяцы;
- отчетный период, месяцы;
= 2,0,
,
Значение коэффициента восстановления меньше единицы, это свидетельствует о том, что у предприятия в ближайшие 12 месяцев нет реальной возможности восстановить платежеспособность. Выявленное значение восстановления платежеспособности вкупе с ранее рассчитанными показателями ликвидности, рентабельности, деловой активности, платежеспособности и т.д. свидетельствуют о крайне низкой финансовой устойчивости ТОО "Жулдыз".
По результатам анализа можно сделать следующие выводы:
а) предприятие не имеет большой задолженности, формирование активов происходит за счет средств собственного капитала. Однако за период 2008-2009 гг. произошло существенное изменение кредиторской задолженности в сторону увеличения.
б) у предприятия наметилась тенденция к повышению финансовой устойчивости, и его финансовое состояние можно охарактеризовать как устойчивое.
в) у предприятия повышается зависимость от внешних источников финансирования. Это свидетельствует о том, что ТОО "Жулдыз" активизирует свою финансово-хозяйственную деятельность и в том числе за счет внешних источников финансирования, и при этом еще находится в зоне финансовой безопасности.
Эффективная хозяйственная деятельность предприятия невозможна без постоянного привлечения заемных средств. Использование этих средств позволяет существенно расширить объем реализации товаров и формируемых товарных запасов, обеспечить более эффективное использование собственного капитала, ускорить образование различных целевых фондов, а в конечном счете - повысить рыночную стоимость предприятия.
Хотя отправную точку любого бизнеса составляет собственный капитал, на предприятиях торговли объем заемных средств значительно превосходит объем собственного капитала. В связи с этим управление привлечением заемных средств является одной из важнейших функций торгового менеджмента, направленной на достижение высоких конечных результатов деятельности предприятия.
Управление привлечением заемных средств представляет собой целенаправленный процесс их формирования из различных источников и в разных формах в соответствии с потребностями торгового предприятия на различных этапах его развития. Основная цель этого управления состоит в обеспечении наиболее эффективных условий и форм привлечения этих средств и рационального их использования. [24, 58]
На практике для большинства казахстанских организаций практически единственным источником получения финансовых ресурсов является банковский кредит. [34, 184]
Рассмотрим возможность привлечения банковского кредита для стабилизации финансового состояния предприятия ТОО "Жулдыз". Расчет потребности в банковском кредите основывается на следующих основных условиях. Во-первых, возможность привлечения кредитных ресурсов рассматривается как одна из альтернатив устранения временного разрыва между притоком и оттоком денежных средств. Решение о привлечении кредита принимается при условии большей экономической целесообразности данного способа внешнего финансирования, по сравнению с прочими имеющимися в наличии способами покрытия кассового разрыва.
В целом, если предприятие обеспечивает финансовую устойчивость, увеличение зависимости от заемных средств для предприятия может рассматриваться как положительная тенденция, потому что:
1. проценты по обслуживанию заемного капитала рассматриваются как расходы и не включаются в налогооблагаемый доход;
2. расходы на выплату процентов обычно ниже дохода, полученного от использования заемных средств в обороте предприятия, в результате чего повышается рентабельность собственного капитала;
3. рост доли собственного капитала свидетельствует о негибкости, нестабильности производственно-хозяйственной деятельности.
Для достижения высоких экономических результатов руководство предприятия ТОО "Жулдыз" приняло решение о разработке проекта, который предусматривает модернизацию технологической линия по производству вин Жулдыз и Ак-Шолпан.
Данные вина, в силу высокого качества, пользуются большим спросом на рынке Казахстана, но в настоящее время ТОО "Жулдыз" не справляется со спросом.
Модернизация данной технологической линии позволит повысить ее производительность в 1,5 раза.
Для этого предприятие разработало проект на условиях банковского долгосрочного кредита в размере 47 500 тыс. тенге.
Оценка потребности предприятия ТОО "Жулдыз" в банковском кредите основана на следующих положениях:
- высокий спрос на предлагаемую предприятием продукцию и дальнейший его рост;
- извлечение дополнительной прибыли;
- расширение объема и ассортимента выпускаемой продукции;
Далее рассчитаем финансовый план погашения платежей. Все расчеты будут произведены в тенге в ценах 2008 года. В таблице 13 представлен прогноз продаж на 2008, 2009, 2010, 2011 года.
Таблица 13 - Прогноз продаж готовой продукции ТОО "Жулдыз" на 2008, 2009, 2010, 2011 года
| № п\п |
Наименование продукции |
Доход от реализации, тыс.тг. |
| 1 |
Марочные вина |
43400 |
| 2 |
Шипучие и игристые вина |
8210 |
| 3 |
Десертные и столовые |
481350 |
| 4 |
Крепленые вина |
253700 |
| 5 |
Реализация прочей продукции |
329200 |
| 6 |
Доход от консигнации под % |
91600 |
| Итого: |
1207460 |
| НДС |
181119 |
| Доходот реализации |
1026341 |
*источник: составлено автором на основе собственных расчетов
В таблице 14 представлена себестоимость за 2008, 2009, 2010, 2011 года.
Таблица 14 - Себестоимость реализованной готовой продукции на ТОО "Жулдыз" за 2008, 2009, 2010, 2011 года
| Статьи |
Сумма, тыс. тенге |
| Производственная мощность: |
| - закупочная стоимость сырья |
683440 |
| - коммунальные услуги (электроэнергия, связь и т.д.) |
9760 |
| Итого: |
693200 |
| Производственная себестоимость: |
| - административно-хозяйственные расходы |
38720 |
| - амортизация |
636 |
| Итого: |
39356 |
| Операционная себестоимость: |
| Расходы на маркетинг |
1330 |
| Итого: |
1330 |
| Полная себестоимость |
733886 |
*источник: составлено автором на основе собственных расчетов
В таблицах 15 и 16 представлены финансовые показатели.
Таблица 15 - Прогноз доходов и расходов на 2008, 2009, 2010, 2011 год
| Статьи |
Сумма, тыс. тенге |
| Доход |
1026341 |
| Себестоимость |
733868 |
| Налог на прибыль |
15749 |
| Доход |
276706 |
| Итого за год: |
| Доход |
1026341 |
| Себестоимость |
733886 |
| Налог на прибыль |
15749 |
| Доход |
276706 |
| Проценты за кредит и капитальная сумма долга |
65330 |
| Вознаграждение |
11875 |
| Предпринимательский доход |
199501 |
*источник: составлено автором на основе собственных расчетов
Таблица 16 - Поток денежных средств за 2008, 2009, 2010, 2011 год
| Показатель |
Сумма, тыс. тенге |
| Приход средств |
| Остаток на начало периода |
- |
| 1 . Доход от реализации |
933970 |
| Расход средств |
| 1. Выплата заработной платы |
225140 |
| 2. Отчисления от ФОТ (21,5%) |
48405 |
| 3. Коммунальные расходы |
9760 |
| 4. Платежи в бюджет (НДС, налог на прибыль) |
36120 |
| 5. Общепроизводственные расходы |
334200 |
| 6. Сумма погашения платежей |
11875 |
| 7. Плата за кредит |
1140 |
| Всего расходов |
666640 |
| Остаток денежных средств |
267330 |
*источник: составлено автором на основе собственных расчетов
По данным таблицы 16, видно, что предприятие ТОО "Жулдыз" располагает значительными "чистыми" поступлениями, что говорит о безусловной окупаемости проекта за предложенный срок. Анализ плана банковского кредита показывает, что за весь период освоения проекта, предприятие ТОО "Жулдыз" будет иметь свободные средства для пополнения основных средств и формирования накопления капитала, достаточного не только для погашения платежей, но и для создания возможности увеличения личного потребления учредителей и работников предприятия. В результате реализации проекта модернизации технологической линии по производству вин на условиях банковского кредита предприятие ТОО "Жулдыз" эффективно привлечет заемные средства, поскольку предприятие уже начнет использовать имущество для производственных целей раньше, чем осуществит его выкуп.
С целью большего укрепления финансовой устойчивости предприятия в краткосрочном периоде, можно порекомендовать ряд мероприятий:
- ускорить отгрузку готовой продукции с введением предоплаты за отгруженную продукцию;
- усилить контроль над своевременным погашением кредиторской задолженности и своевременным возвратом дебиторской задолженности;
- не допускать ответвление собственного капитала в дебиторской задолженности.
Конкретные пути выхода предприятия из кризисной финансовой ситуации зависят от причин его несостоятельности.
В результате проведения всех предложенных мероприятия произойдут значительные изменения в структуре баланса, коэффициентах ликвидности, платежеспособности, финансовой устойчивости, а также в коэффициенте обеспеченности собственными средствами.
В условиях широко распространенной в нашей республике практики предварительной оплаты продукции дополнительным бесплатным источником финансирования деятельности многих предприятий товаропроизводителей стали суммы средств, поступающих от их покупателей. Такая практика показывает, что разрыв между временем поступления денег на расчетный счет и временем отгрузки продукции во многих случаях измеряется месяцами.
Финансовое состояние предприятия представляет собой отражение финансовой устойчивости предприятия на определенный момент и обеспеченности его финансовыми ресурсами для непрерывного процесса работы и своевременного погашения своих долговых обязательств.
Финансовая устойчивость предприятия - это такое состояние его финансовых ресурсов, их распределение и использование, которое обеспечивает развитие предприятия на основе роста прибыли и капитала при сохранении платежеспособности и кредитоспособности в условиях допустимого уровня риска.
Для того, чтобы обеспечивать устойчивость финансового состояния, т.е. способность своевременно рассчитываться с государством, поставщиками и другими кредиторами, предприятиям в существующих условиях приходится прилагать значительные усилия для поддержания своей платежеспособности, ликвидности и кредитоспособности.
Таким образом, сущность финансовой устойчивости определяется эффективным формированием, распределением и использованием финансовых ресурсов, а платежеспособность выступает ее внешним проявлением. При этом устойчивость финансового состояния определяет конкурентоспособность предприятия, его потенциал в деловом сотрудничестве, оценивает, в какой степени гарантированы экономические интересы самого предприятия и его партнеров по финансовым и другим отношениям.
Для оценки финансовой устойчивости предприятия применяется финансовый анализ, который представляет собой процесс, основанный на изучении данных о финансовом состоянии и результатах деятельности предприятия в прошлом с целью оценки перспективы его развития.
Анализ структуры имущества предприятия, источников формирования имущества, анализ показателей ликвидности, платежеспособности позволяет выявить, насколько эффективно предприятие использует свои средства. Умение правильно их исчислять, анализировать и определять влияние различных факторов на изменение их уровня позволит полнее выявить резервы повышения эффективности производства, разработать рекомендации по устранению выявленных недостатков, оздоровлению и укреплению его финансового положения.
В дипломной работе был проведен анализ финансовой устойчивости на материалах предприятия ТОО "Жулдыз", которое является юридическим лицом в соответствии с законодательством Республики Казахстан, имеет самостоятельный баланс, банковские счета, может от своего имени приобретать и осуществлять имущественные и личные неимущественные права. Основной деятельностью анализируемого предприятия является ведение строительно-монтажных работ, строительное проектирование и конструирование, архитектурное проектирование зданий и сооружений.
В результате проведенного анализа финансового состояния можно сделать следующие выводы:
- состояние финансовой устойчивости предприятия можно охарактеризовать, как неудовлетворительное, потому, что показатели финансовой устойчивости отрицательные, принимают значения ниже рекомендуемых. Показатели ликвидности и платежеспособности также имеют устойчивую тенденцию к понижению, и их значение на 2008 год не удовлетворительное.
- значение коэффициента утраты платежеспособности меньше 1 означает наличие у предприятия возможности утратить платежеспособность в течение ближайших трех месяцев.
- ликвидность предприятия ТОО "Жулдыз" характеризуется следующими соотношениями: величина коэффициента текущей ликвидности уменьшается к концу года на 88%, что связано с уменьшением оборотных средств в сравнении с ростом краткосрочных обязательств; коэффициент срочности очень низкий как в начале, так и в конце года;
- деловая активность предприятия имеет удовлетворительные значения показателей: оборачиваемость активов на предприятии характеризуется увеличением в сравнении с предыдущим годом: - на 70 дней уменьшился период оборота текущих активов, на 47 дней - совокупных активов.
- динамика показателей эффективности деятельности предприятия характеризуется следующим. В 2008 году рентабельность реализованной продукции составила 3,9 %, собственного капитала 99 %, текущих активов – 17,5 %, а совокупных активов - 11 %.
По результатам анализа видно, что рассматриваемое предприятие в целом не обеспечивает себе финансовую устойчивость, наблюдается тенденция снижения финансовой устойчивости. Собственный капитал предприятия имеет тенденцию к повышению, но также и повышается зависимость от внешних источников финансирования. Это свидетельствует о том, что ТОО "Жулдыз" активизирует свою финансово-хозяйственную деятельность и в том числе за счет внешних источников финансирования, и при этом еще находится в зоне финансовой безопасности.
Для повышения финансовой устойчивости и оптимизации финансового состояния предприятия необходимо знать запас его финансовой устойчивости (зону безопасности). Поэтому был рассчитан запас финансовой прочности предприятия, который убедил в устойчивом финансовом положении предприятия. Зона безопасности для предприятия довольно высокая, выручка может упасть на 63,4% и только тогда предприятие не будет получать прибыли.
Таким образом, в результате проведенного расчета можно сделать вывод, что финансовое состояние предприятия достаточно устойчивое.
Руководство предприятия приняло решение запланировать конкретные мероприятия, которые позволят улучшить финансовое состояние предприятия. Прежде всего, такими мероприятиями являются мероприятия, направленные на увеличение производства и реализации продукции, повышение ее качества и конкурентоспособности, снижение себестоимости, рост прибыли и рентабельности, ускорении оборачиваемости капитала и более полное и эффективное использование производственного потенциала предприятия.
В результате конкретизации проблем предприятия, было выявлено, что данное предприятия нуждается в долгосрочных заемных средствах. Было принято решение об осуществлении долгосрочного займа на выполнение своих краткосрочных обязательств.
В результате реализации проекта займа на модернизацию технологической линии по производству вин, предприятие ТОО "Жулдыз" эффективно привлечет заемные средства, поскольку сразу же начнет использовать имущество для производственных целей раньше, чем осуществит его выкуп, что несомненно положительно повлияет на финансовую устойчивость предприятия.
1. Шеремет А.Д., Сайфулин Р.С. Методика финансового анализа. - М.: Инфра-М, 1995
2. Дюсембаев К.Ш. Анализ финансового положения предприятия – Алматы "Каржи-Каржат",
2004
3. Миронов М.Г., Замедлина Е.А., Жарикова Е.В. Финансовый менеджмент - М.: изд. "Экзамен", 2004
4. Гражданский кодекс Республики Казахстан.- Алматы: ТОО "Баспа", 2001
5. Артеменко В.Г., Беллендир М.В. Финансовый анализ: Учебное пособие - М.:ДИС, 1997
6. Бланк И.А. Основы финансового менеджмента. – М.: 1999
7. Дюсембаев К.Ш. и другие "Аудит и анализ финансовой отчетности", Алматы: Қаржы-Қаражат, 2001
8. Астахов В.П. Анализ финансовой устойчивости фирмы и процедуры, связанные с банкротством. М.: Ось-89, 1999
9. Ван Хорн Дж.К. Основы управления финансами. - М.: Финансы и статистика, 1996.-799 с.
10. Савицкая Г.В. Анализ хозяйственной деятельности предприятия: 4-е изд., перераб. и доп. – Минск: "Новое знание", 2000
11. Ковалев В.В. Введение в финансовый менеджмент, М.: Финансы и статистика, 2006
12. Павлова Л.Н. Финансовый менеджмент. - М.: Банки и биржи, ЮНИТИ, 2007
13. Ковалев А.И., Привалов В.П. Анализ финансового состояния предприятия. -Изд.З-е, исправ. и доп. -М.: Центр экономики и маркетинга, 2006
14. Теория и практика антикризисного управления. Под ред. Беляева С.Г. и Кошкина В.И. – М.: Закон и право, ЮНИТИ, 1997
15. Федотова М.А. Как оценить финансовую устойчивость предприятия. // Финансы. – 1995. - №3. - с. 14.
16. Патров В.В., Ковалев В.В. Как читать баланс. М.: Финансы и статистика. 2001
17. Комекбаева Л.С. Финансы предприятий: Учебное пособие. - Караганда: "Болашак- Баспа", 2000
18. Ковалев В.В. Финансы. М.: Финансы и статистика, 2002
19. Финансовый менеджмент: теория и практика. Учебник. Под ред. Стояновой Е.С. М.: Издательство "Перспектива", 1998
20. Бакадаров В.Л., Алексеев П.Д., Финансово – экономическое состояние предприятия. Практическое пособие. – М.: издательство "ПРИОР", 2000
21. Баканов М.И., Шеремет А.Д. Теория анализа хозяйственной деятельности – М.: Финансы и статистика. – 1995
22. Самин В.Н., Ситникова О.Ю. Техника финасово-экономических расчетов. – Алматы, 2003
23. Каренина М.Н. Финансовое состояние предприятия. Методы оценки. М.: ИКЦ "ДИС", 1997
24. Надыров А.Ф. Анализ хозяйственной деятельности предприятий: Учебное пособие. Караганда: КарГТУ, 2005
25. Ковалева А.М. Финансовый анализ – М.: Финансы и статистика, 1998 – 302с.
26. Четыркин Е.М. Методы финансового анализа предприятия. -М.: Юни-Глоб, 2002
27. Федотова М.А. Как оценить финансовую устойчивость предприятия. // Финансы. – 1995. - №3. - с. 14.
28. Любушин Н.П. Анализ финансово-экономической деятельности предприятия. – М.: Финансы и кредит, 2000
29. Вознесенский Э.А. Финансовый контроль. М. 1997
30. Бородина Е.И. Финансы предприятий. М.: Финансы и статистика, 2002
31. Самин В.Н., Ситникова О.Ю. Техника финансово-экономических расчетов. – Алматы, 2002
32. Отчет о результатах финансово-хозяйственной деятельности ТОО "Жулдаз" за период 2008-2009гг.
33. Теория и практика антикризисного управления. Под ред. Беляева С.Г. и Кошкина В.И. – М.: Закон и право, ЮНИТИ, 2003
Основные технико-экономические показатели деятельности ТОО "Жулдыз" за 2008-2009 гг.
| Наименование показателей |
Ед. изм. |
2008г. |
2009г. |
% |
Отклонения |
| Выпуск продукции |
тыс. ед. |
94593 |
131936 |
100,4 |
+8 |
| Доход от реализации |
тыс.тенге |
182414,8 |
321494,8 |
176,2 |
+ 139080 |
| Себестоимость продукции |
тыс.тенге |
162771,1 |
286663 |
176,1 |
+123891,9 |
| Доход от основной и неосновной деятельности |
тыс.тенге |
7131,8 |
14806,2 |
В 2 раза |
7674,4 |
| Численность персонала всего |
чел. |
50 |
95 |
190 |
+45 |
| Фонд зарплаты, всего |
тыс. тенге |
6427 |
15442 |
240 |
+9015 |
| Средняя з/плата ППП |
тенге |
10712 |
13546 |
126,4 |
+ 2834 |
Отчет о прибылях и убытках по состоянию на 1 января 2010 г.
Наименование организации ТОО "Жулдыз"
Местонахождение Алматы, пр. Сейфуллина, 392/7
Вид деятельности ОКЭД 45211
Единица измерения тыс.тенге
| НАИМЕНОВАНИЕ ПОКАЗАТЕЛЕЙ |
Код стр. |
На конец отчетного периода |
На начало периода |
| Доход от реализации готовой продукции (товаров, работ, услуг) |
010 |
321494,8 |
182414,8 |
| Себестоимость реализованной готовой продукции (товаров, работ,услуг) |
020 |
286663 |
162771,1 |
| Валовой доход (стр. 010 - стр.020) |
030 |
34831,8 |
19643,7 |
| Расходы периода, всего |
040 |
20025,6 |
12511,8 |
| в том числе: |
| расходы по реализации |
041 |
| общие и административные расходы |
042 |
13350,8 |
10055,6 |
| расходы на выплату вознаграждения |
043 |
6674,7 |
2456,2 |
| Доход (убыток) от основной деятельности (стр. 030 - стр. 040) |
050 |
14806,2 |
7131,8 |
| Доход (убыток) от неосновной деятельности |
060 |
| Доход (убыток) от обычной деятельности до налогообложения (стр. 050 + стр. 060) |
070 |
14806,2 |
7131,8 |
| Расходы по корпоративному подоходному налогу |
080 |
2237,4 |
1684 |
| Доход (убыток) от обычной деятельности после налогообложения (стр. 070 - стр. 080) |
090 |
12568,7 |
5447,8 |
| Доход (убыток) от чрезвычайных ситуаций |
100 |
| Чистая прибыль (убыток) (стр. 090 - стр. 100) |
110 |
12568,7 |
5447,8 |
Руководитель_________________________
Главный бухгалтер____________________
Бухгалтерский баланспо состоянию за 2009 г.
Наименование организации: ТОО "Жулдыз"
Вид деятельности организации:ОКЭД 45211
Организационно-правовая форма: Товарищество с ограниченной ответственностью
Юридический адрес организации Алматы, пр. Сейфуллина, 392/7
| АКТИВЫ |
Код стр. |
На конец отчетного периода |
На начало конец периода |
| I. КРАТКОСРОЧНЫЕ АКТИВЫ |
| Денежные средства и их эквиваленты |
010 |
1837,1 |
287,6 |
| Краткосрочные финансовые инвестиции |
011 |
| Краткосрочная дебиторская задолженность |
012 |
31950,7 |
50243,3 |
| Запасы |
013 |
28632,5 |
30287,5 |
| Текущие налоговые активы |
014 |
| Долгосрочные активы, предназначенные для продажи |
015 |
| Прочие краткосрочные активы |
016 |
16597,9 |
13177,5 |
| Итого краткосрочных активов |
100 |
62420,3 |
80818,5 |
| II. ДОЛГОСРОЧНЫЕ АКТИВЫ |
| Долгосрочные финансовые инвестиции |
020 |
| Долгосрочная дебиторская задолженность |
021 |
| Инвестиции, учитываемые методом долевого участия |
022 |
| Инвестиционная недвижимость |
023 |
| Основные средства |
024 |
60715,6 |
18614 |
| Биологические активы |
025 |
| Разведочные и оценочные активы |
026 |
| Нематериальные активы |
027 |
18,9 |
23 |
| Отложенные налоговые активы |
028 |
| Прочие долгосрочные активы |
029 |
| Итого долгосрочных активов |
200 |
60734,6 |
18637 |
| Баланс (стр.100+стр.200) |
123155 |
99455,6 |
| ПАССИВЫ |
Код стр. |
На конец отчетного периода |
На начало отчетного периода |
| III. КРАТКОСРОЧНЫЕ ОБЯЗАТЕЛЬСТВА |
030 |
| Краткосрочные финансовые обязательства |
031 |
| Обязательства по налогам |
032 |
-1097,2 |
| Обязательства по другим обязательным и добровольным |
033 |
| Краткосрочная кредиторская задолженность |
034 |
75569,4 |
49517,2 |
| Краткосрочные оценочные обязательства |
035 |
| Прочие краткосрочные обязательства |
036 |
11176,7 |
821,6 |
| Итого краткосрочных обязательств |
300 |
86746,1 |
49241,6 |
| IV. ДОЛГОСРОЧНЫЕ ОБЯЗАТЕЛЬСТВА |
| Долгосрочные финансовые обязательства |
040 |
23768, |
43920 |
| Долгосрочная кредиторская задолженность |
041 |
| Долгосрочные оценочные обязательства |
042 |
| Отложенные налоговые обязательства |
043 |
| Доля меньшинства |
055 |
| Итого капитал |
500 |
12 640,2 |
6293,9 |
| Баланс (стр.300+стр.400+стр.500) |
123155 |
99455,6 |
|