| Содержание
1. Подобрать литературу, описывающую авторскую педагогическую или методическую литературу. Законспектировать содержание первоисточника, в соответствии с требованиями описания педагогической технологии
1.1 Принципы коллективного способа обучения
1.2 Постулаты коллективного способа обучения
1.3 Формы организации учебного процесса
1.4 Методические приемы, используемые на коллективных занятиях
1.5 Основные признаки КСО (преимущественно перед традиционным образованием)
2. При оценке авторской технологии проверяйте ее на соответствие признакам педагогической (методической) технологии
3. Разработать два конспекта уроков (по стереометрии, алгебре и началам анализа), реализующие положения технологии
3.1 План-конспект урока по алгебре и началам анализа в 11 классе
3.2 План-конспект урока по геометрии в 11 классе
Список использованной литературы
1. Подобрать литературу, описывающую авторскую педагогическую или методическую литературу. Законспектировать содержание первоисточника, в соответствии с требованиями описания педагогической технологии
Объектом исследования является процесс обучения младших школьников с применением коллективного способа обучения (КСО). Предметом исследования является формирование познавательного интереса на уроках при использовании коллективной формы обучения.
Цель исследования: рассмотреть и изучить теоретические вопросы новой педагогической технологии КСО на основе трудов профессора В.К. Дьяченко.
Дьяченко Виталий Кузьмич
(1923-2008 гг.) - Российский педагог и психолог. Кандидат педагогических наук, профессор, академик, действительный член Международной Педагогической академии (с 1996 г.), современный теоретик коллективного способа обучения (КСО). Автор 13 монографий по дидактике и проблемам создания коллективного способа обучения. Заведующий кафедрой Новые педагогические технологии Красноярского краевого ИПК РО.
· Общие формы организации процесса обучения: Актуал. пробл. теории и практики обучения / В.К. Дьяченко, 185 с. 20 см, Красноярск Изд-во Краснояр. ун-та 1984
· Организационная структура учебного процесса и ее развитие / В.К. Дьяченко М. Педагогика 1989
· Современная дидактика: Теория и практика обучения в общеобразоват. шк. : [В 2 ч.] / Дьяченко В.К.; Новокузнец. ин-т повышения квалификации, Новокузнецк Изд-во ИПК 1996
Забиваем Сайты В ТОП КУВАЛДОЙ - Уникальные возможности от SeoHammer
Каждая ссылка анализируется по трем пакетам оценки: SEO, Трафик и SMM.
SeoHammer делает продвижение сайта прозрачным и простым занятием.
Ссылки, вечные ссылки, статьи, упоминания, пресс-релизы - используйте по максимуму потенциал SeoHammer для продвижения вашего сайта.
Что умеет делать SeoHammer
— Продвижение в один клик, интеллектуальный подбор запросов, покупка самых лучших ссылок с высокой степенью качества у лучших бирж ссылок.
— Регулярная проверка качества ссылок по более чем 100 показателям и ежедневный пересчет показателей качества проекта.
— Все известные форматы ссылок: арендные ссылки, вечные ссылки, публикации (упоминания, мнения, отзывы, статьи, пресс-релизы).
— SeoHammer покажет, где рост или падение, а также запросы, на которые нужно обратить внимание.
SeoHammer еще предоставляет технологию Буст, она ускоряет продвижение в десятки раз,
а первые результаты появляются уже в течение первых 7 дней.
Зарегистрироваться и Начать продвижение
· Сотрудничество в обучении: О коллектив. способе учеб. работы : Кн. для учителя - М. Просвещение 1991
· Дьяченко, В.К. Дидактика: учебное пособие для системы повышения квалификации работников образования: в двух томах / В.К. Дьяченко. – М: Народное образование, 2006. Т. 1. – 400с. Т. 2. – 384 с.
· Дьяченко В.К. Коллективный способ обучении: дидактика в диалогах. – М.: Народное образование, 2004. – 352 с.
· Дьяченко В.К. Новая дидактика. – М.: Народное образование, 2001. – 496 с.
· Дьяченко В.К. Основное направление развития образования в современном мире. – М.: Школьные технологии, 2005. – 512 с.
· Дьяченко В.К. Развивающее обучение и новейшая педагогическая технология. – Красноярск: КК ИПК РО, 1998. – 436 с.
· Дьяченко В.К. Реформирование школы и образовательные технологии: в 2 ч. – Красноярск, Новокузнецк: ИПК РО, 1999.
1.1 Принципы коллективного способа обучения
Согласно теории Дьяченко в основу коллективного способа обучения (КСО)
должны быть заложены следующие восемь принципов:
1. Завершенность:
ученик имеет право переходить к изучению нового учебного материала, лишь прочно усвоив предыдущий;
2. Интернационализм:
обучение должно происходить на языках, представители которых принимают участие в учебном процессе. При этом происходит взаимное проникновение культур на базе предметного изучения того или иного языка;
3. Дифференциальный подход:
каждый из обучаемых может работать согласно своим возможностям и способностям;
4. Всеобщее сотрудничество и взаимопомощь:
любой учащийся, прошедший процесс обучения, должен приобрести навыки сотрудничества с другими; уметь оказывать помощь и уметь получать ее;
5. Разновозрастность и разноуровневость:
поскольку человек в жизни контактирует с людьми разного возраста и уровня, то это умение должно выработаться в учебном процессе;
6. Разделение учебного труда:
с одной стороны, чем будет большее разнообразие изучаемых тем, тем богаче общество в целом; с другой стороны, значительно легче усвоить тот или иной учебный материал, когда до этого в нем уже разобрался твой товарищ;
7. Педагогизация населения:
фактически любому человеку в своей жизни требуется кого-то учить, этому необходимо учиться в самом процессе обучения;
8. Безотлагательная и непрерывная передача знаний:
знания, вырабатываемые обществом, должны немедленно становиться содержанием учебного процесса.
Сервис онлайн-записи на собственном Telegram-боте
Попробуйте сервис онлайн-записи VisitTime на основе вашего собственного Telegram-бота:
— Разгрузит мастера, специалиста или компанию;
— Позволит гибко управлять расписанием и загрузкой;
— Разошлет оповещения о новых услугах или акциях;
— Позволит принять оплату на карту/кошелек/счет;
— Позволит записываться на групповые и персональные посещения;
— Поможет получить от клиента отзывы о визите к вам;
— Включает в себя сервис чаевых.
Для новых пользователей первый месяц бесплатно.
Зарегистрироваться в сервисе
1.2 Постулаты коллективного способа обучения
Первый
. Каждый здоровый человек может освоить любой учебный материал.
Второй
. Дети отличаются не своими возможностями усвоить тот или иной материал, а индивидуальными способами и средствами освоения этого материала.
Третий
. Интерес ученика к изучаемому материалу определяется не содержанием этого материала, а успешностью действий ученика в процессе освоения этого материала.
1. Суть первого постулата заключается в том, что всё открыто человечеству, доступно для понимания каждому человеку.
Конечно, не каждый ребёнок станет великим математиком или физиком. Но всё, что известно в физике или математике и оформлено как учебный материал, может быть полностью освоено ребёнком.
Этот постулат запрещает ссылаться на несостоятельность детей освоить тот или иной учебный материал.
2. Все дети отличаются друг от друга. Их отличие проявляется не в том, что одни плохие – другие хорошие, или что одним доступно учиться хорошо, а другим это не доступно.
Дети отличаются характером, типом мышления, темпераментом и т.п. Однако эти отличия характеризуют их индивидуальность и относятся к внутренним средствам. Жизненные цели и задачи для разных детей могут быть одни и те же, но эти цели и задачи могут быть реализованы разными детьми за счёт разных внутренних средств.
Именно в вопросах средств, в выборе путей и способов реализации целей должны учитываться индивидуальные особенности детей, но не в обозначении образовательных целей, тем более не в определении общеобразовательных целей.
3. Достаточно распространено явление, когда заботливые преподаватели усердно улучшают содержание преподаваемого предмета, стараются включить в программу интересные, любопытные, полезные сведения с надеждой на то, что это вызовет интерес у учащихся, а проявленный интерес будет способствовать улучшению качества обучения. Можно ссылаться на многих авторитетных преподавателей и учёных, которые признались, что такой подход практически малоэффективен. Это не случайно.
Интерес, любопытство возникает и поддерживается тогда, когда изучаемый материал понятен и усвоен, а это обеспечивается успешностью действий учащегося. Когда у ученика какой-то шаг, какие-то действия получаются, то он готов совершить следующий шаг, следующие действия.
Третий постулат констатирует, что, с точки зрения результативности, определяющим является не то, что изучается, а то, как изучается.
1.3 Формы организации учебного процесса
Все формы организации процесса обучения делятся на общие
и конкретные
. Общие формы
не зависят от конкретных дидактических задач и определяются только структурой общения между обучающимися и обучаемыми. Таких форм 4: индивидуальная, парная, групповая, коллективная.
Обучение –
это общение между обучающимися и обучаемыми, т. е. общение между теми, кто имеет знания и опыт, и теми, кто их приобретает. Общение, в процессе которого и посредством которого происходит воспроизведение и усвоение всех видов человеческой деятельности.
Обучения вне общения не существует. Общение может происходить непосредственно
(через устную речь, люди слышат и видят друг друга) и опосредовано
(через письменную речь (газеты, журналы и т. д.) , когда люди не видят и не слышат друг друга).
Опосредованное
обучение между обучающимися и обучаемыми в учебном процессе дает нам индивидуальную форму организации учебной работы. Ученик выполняет учебные задания (пишет, читает, решает задачи, ставит опыты), и при этом ни с кем не вступает в прямое общение, никто с ним не сотрудничает.
Непосредственное общение между людьми имеет различное построение: может происходить в паре (парная форма организации обучения, например 2 ученика совместно прорабатывают статью, решают задачи, разучивают стихотворения), со многими людьми (групповая форма организации учебного процесса, если один учит нескольких человек).
Индивидуальная, парная, групповая формы организации учебных занятий являются традиционными. Ни одно из этих форм не является коллективной. Коллективной формой организации процесса обучения является только работа учащихся в парах сменного состава (общение либо с каждым отдельно, либо по очереди).
1.4 Методические приемы, используемые на коллективных занятиях
Взаимные диктанты.
Предварительно нужно заготовить достаточно текстов и наклеить на карточки на одни и те же правила.
Порядок работы:
1. Один ученик из пары читает текст по предложениям, другой пишет (без предварительного чтения текста в целом).
2. Другой ученик, (т.е. тот, кто перед этим писал) читает, а первый, прежде диктовавший, пишет.
3. Потом каждый берет тетрадь своего соседа (партнера) и без заглядывания в карточку проверяет написанный им диктант.
4. Открывают карточки и проверяют вторично (но уже вместе) сначала один диктант, а потом второй.
5. Допустивший ошибки под контролем диктовавшего делает устный разбор ошибок.
6. Каждый в своей тетради записывает разбор своих ошибок.
7. Снова берут тетради друг друга, еще раз все просматривают и ставят свои подписи: «проверял Петров, проверял Сидоров».
Совместная работа пары заканчивается. Ее участники находят новых партнеров, обмениваясь карточками. Новенькому диктуется тот текст, который диктующий сам перед этим писал. Т.е. над диктантом каждый ученик работает дважды, один раз он пишет сам и делает разбор ошибок под контролем товарища, другой раз он диктует этот текст, проверяет, требует разбора ошибок.
Работа по вопросникам.
Устное письменное выполнение упражнений:
1.Ученики выучивают правило и выполняют по нему упражнение.
2.Один ученик из пары проверяет как другой усвоил правило (теорию) и предлагает выполнить упражнение.
3.Другой ученик из пары предлагает выполнить своему напарнику сое упражнение. Затем они расходятся для работы в следующей паре.
Решение задач и примеров.
Учитель предварительно обучает учащихся ставить вопросы друг другу, которые требуют умения вдумываться в условия задачи, анализировать ее состав и содержание, выполнять обоснованные действия с целью решить задачу.
Ученик ведет себя как учитель: «Прочитай условия задачи. Скажи что известно в задаче. Что нужно найти? Как ты будешь это находить? Какое действие выполнишь первым? Что ты узнаешь?
1.Раздаются карточки, на каждой карточке по одной задаче. У каждого задачи разные. Работают самостоятельно, не переговариваясь с товарищами.
2.Учитель проверяет.
3.Работа в парах. Обмениваются карточками (задачами).Один из пары становится учителем, другой – учеником. Учитель дает свою карточку ученику, предлагает прочесть задачу и затем ставит вопросы по содержанию задачи и ее решению. Когда решение закончено, карточка передается тому, кто по ней отвечал, т. е. ученику. Теперь ученик становится учителем и ставит вопросы своему «бывшему» учителю по своей карточке (задаче).
Партнеры обмениваются карточками и работают в других парах.
1.5 Основные признаки КСО (преимущественно перед традиционным образованием)
- ориентация на индивидуальные способности детей, обучение происходит в соответствии со способностями детей (индивидуальный темп обучения).
- осмысленность процесса познания.
- все обучают каждого и каждый всех.
- при коллективных учебных занятиях (КУЗ) знания – хорошие, умения – уверенные, навыки – надежные.
- обучение ведется на основе и в атмосфере взаимопонимания и сотрудничества учителя и учащихся.
- активизируются межличностные отношения (ученик – ученик), которые способствуют реализации в обучении принципов непрерывной и безотлагательной передачи знаний.
- ведущей организационной формой обучения является коллективная,
т.е. работа учащихся в парах сменного состава.
По Дьяченко, обучение – это особым образом организованное общение, т.е. деятельность между носителями знаний и теми, кто их приобретает.
Учебная деятельность коллектива по своей природе и представляет собой систему социальноорганизуемых взаимомоделей, отношений, общения. Совместная деятельность в коллективе самих учащихся является исходной формой индивидуальной учебной деятельности, а равноправное взаимодействие со сверстниками обуславливает владение ими такими действиями, как целеполагание, планирование, контроль и оценка, без которых невозможно учение.
Решение исходной проблемы практики образования – включение каждого ребенка в учебный процесс.
Коллективная форма обучения означает такую организацию обучения, при которой все участники работают друг с другом в парах и состав пар периодически меняется. В итоге получается, что каждый член коллектива работает по очереди с каждым, при этом некоторые из них могут работать индивидуально. Технология коллективного взаимообучения позволяет плодотворно развивать у обучаемых самостоятельность и коммуникативные умения.
Посредством сочетания различных организационных форм коллективные способы обучения обеспечивают успешность учения каждому ребенку.
Можно выделить следующие виды работы в отдельно взятой паре: обсуждение чего-либо, совместное изучение нового материала, обучение друг друга, тренировка, проверка.
На коллективных учебных занятиях в разновозрастных и разноуровневых группах у учащихся развиваются навыки самоорганизации, самоуправления, самоконтроля, самооценки и взаимооценки.
При коллективных способах (КСО) у каждого ребенка появляется возможность осуществить индивидуальную траекторию развития:
· Обучающиеся реализуют разные цели, изучают разные фрагменты учебного материала, разными способами и средствами, за разное время;
· Разные ученики осваивают одну и ту же программу по разным образовательным маршрутам;
· Наличие сводных учебных групп как мест пересечения разных маршрутов продвижения обучающихся. Одновременно сочетаются все четыре организационные формы обучения: индивидуальная, парная, групповая и коллективная.
КСО идеально подходит для работы в разноуровневом классе, так как позволяет не просто дифференцировать, но и индивидуализировать процесс обучения по объему материала и темпам работы для каждого ученика. Развитие интереса и познавательной активности учащихся в рамках данного варианта организации учебной работы связано и с самой формой подачи материала. Соответствие объема и темпа подачи материала индивидуальным особенностям учеников создает чувство успешной деятельности у каждого ученика.
Контроль учащихся осуществляется на всех этапах деятельности: когда решают задачи и проблемы самостоятельно изучают тему, обучают товарища.
Особенностью КСО является то, что оценка (отметка) открытая (учащиеся имеют возможность изучать каждую тему на разном уровне усвоения).
Практический опыт применения КСО позволяет выделить следующие его преимущества:
· В результате постоянного повторения упражнений совершенствуются навыки логического мышления и понимания;
· В процессе постоянной, активной деятельности развиваются навыки мыследеятельности, включается работа памяти, идет мобилизация и актуализация предшествующего опыта и знаний;
· Каждый чувствует себя раскованно, работает в индивидуальном темпе, что создает ситуацию успеха;
· Повышается ответственность не только за свои успехи, но и за результаты коллективного труда;
· Обсуждение одной информации с несколькими сменными партнерами увеличивает число ассоциативных связей, а значит обеспечивает более прочное усвоение.
Значимость определения принципов коллективного способа обучения
Замеченная историческая закономерность перехода от одного способа обучения к другому еще не означает безотлагательного и безусловного появления следующего, коллективного способа обучения. Его еще приходится строить, преодолевая специфические трудности и проблемы объективно необходимого переходного периода. А для избежания субъективных подходов и увлечений необходимо было оформить реальные принципы коллективного способа обучения, что и делает В.К. Дьяченко, позднее называя их полными принципами обучения. Они следующие:
· принцип завершенности обучения;
· принцип безотлагательности и непрерывности передачи знаний (информации);
· принцип всеобщего сотрудничества и товарищеской взаимопомощи;
· принцип разнообразия тем (заданий, функций);
· принцип обучения по способностям;
· принцип разновозрастности и разноуровневости;
· принцип педагогизации деятельности каждого участника учебных занятий;
· принцип интернационализации процесса обучения, или обучение на двуязыковой и многоязыковой основе
Новая педагогическая технология по В. К. Дьяченко
Практика всегда была неотъемлемой частью профессиональной деятельности В.К. Дьяченко. Собственно говоря, всю свою дидактику он создал не ради любопытных абстрактных обобщений, а ради научно обоснованного и целенаправленного построения новой образовательной практики. И не случайно, имея под собой крепкую опору естественнонаучного подхода и завершая исследования по построению основ современной дидактики, В.К. Дьяченко приступает к прямому построению коллективного способа обучения. Ничуть не умаляя значимости методики Ривина, он конструирует новую методику. Она построена на принципе непрерывной и безотлагательной передачи знаний и положена Дьяченко в основу новой образовательной технологии, разработанной им самим и осуществляемой в нескольких общеобразовательных школах.
Метод непрерывной передачи знаний МНПЗ – это вариант организации учеников в изучении программного материала.
Организация обучения по МНПЗ.
Учитель предварительно структурирует учебный материал и создает комплект программ-вопросников (ПВ), объединение учебного материала в крупные блоки в соответствии с содержанием учебника. ПВ – план работы ученика на 1-2 занятия. Состоит из 2-х частей: теоретической (входят вопросы для повторения и изучения нового материала) и практической (предполагает 2 уровня заданий: базовый и дополнительный (задания повышенной сложности, задания на смекалку)). В ПВ включаются самостоятельные, проверочные, контрольные и зачетные работы для каждого блока.
Структура главного учебного плана отражается учителем в специальной таблице, где указывается количество ПВ, обязательных и тренажёрных карточек по каждому блоку, а также примерные общие сроки окончания работы над материалом каждого блока. В соответствии с общими блоками устанавливаются общие темы и «маршрут» продвижения учеников при освоении ими нового материала. Обязательные карточки выполняют функцию зачета, теста. Тренажерные карточки используются с целью закрепления (в математике – закрепления вычислительных навыков). Работа по ним организовывается в парах сменного состава (методика взаимного тренажа).
Анализ мониторинга учащихся, обучающихся по новым технологиям
– эффективно формируется:
- учебные организационные умения (понять учебное задание, проверить свою работу и партнера, вести контроль над своими действиями)
- учебные интеллектуальные умения (дают грамотное сравнение, анализ и обобщение материала)
- учебные коммуникативные умения (четко излучают свои мысли, учебный материал, умеют внимательно слушать собеседника, отсюда развита культура общения, умение самостоятельно планировать свою деятельность),
- учебные информационные умения (могут самостоятельно работать с источником знаний, вести практическую работу).
В заключении, следует отметить, что успешность социализации учащихся общеобразовательной школы, опосредованная особенностями образовательного пространства, педагогически организованной социальной средой, а именно, включенность учащихся в различные виды деятельности посредством КСО, позволяет развить у них такие ценностные и социально значимые отношения, которые в относительно близком будущем станут внутренним, духовным потенциалом их личностного развития и гражданской активности.
3. Разработать два конспекта уроков (по стереометрии, алгебре и началам анализа), реализующие положения технологии
3.1 План-конспект урока по алгебре и началам анализа в 11 классе
Теме: «Показательная функция»
Класс – 11
Цель урока.
Повторить свойства показательных функций, способы решения показательных уравнений и неравенств
Образовательные задачи:
- применение алгоритма решения показательных уравнений и неравенств;
- актуализация опорных знаний решения квадратных уравнений, квадратных неравенств методом интервалов, решение неравенств, содержащих модуль;
- обобщение и систематизация знаний и способов деятельности по теме «Показательная функция»;
- применение обобщенных знаний, умений и навыков в новых условиях - создание проблемной ситуации;
- контроль и самоконтроль знаний, умений и навыков с помощью домашней работы.
Развивающие задачи:
-развитие умений сравнивать, обобщать, правильно формулировать задачи и излагать мысли;
-развитие логического мышления, внимания и умения работать в проблемной ситуации.
Воспитательные задачи:
-формирование у учащихся познавательного интереса к математике;
-воспитание таких качеств характера, как настойчивость в достижении
цели;
-воспитание интереса и любви к предмету через содержание учебного материала, умение работать в коллективе, взаимопомощи, культуры общения.
Оборудование:
-магнитная доска, плакаты, таблица (записываются данные), карточки с заданием, фломастеры, черный ящик, конверты, мультимедийный проектор, альбомные листы.
Оформление и наглядность
: записи, графики, таблицы размещаются на доске.
Место урока в теме: обобщающий урок.
План урока
1.Организационный момент.
2.Игра «Счастливый случай»
3.Итог урока.
4.Домашнее задание.
Ход урока
1.Организационный момент (объявляются правила игры, проверяется готовность к уроку, объявляется цель урока, этапы урока)
2.Игра «Счастливый случай»
Каждая команда получает кроссворд, наполовину шуточный. Та команда, которая за 1 минуту отгадает больше слов, получает 1 балл.
КРОССВОРД «И В ШУТКУ И ВСЕРЬЕЗ»
По горизонтали:
1.Название функции, любой из графиков которой проходит через точку (0;1).
2.Координата точки.
3. Проверка учеников на выживание.
4. Есть у любого слова, растения и может быть у уравнения.
По вертикали:
5.График функции в квадрате.
6.Исчезающая разновидность учеников.
7.Геометрическая фигура без начала и конца.
| |
|
|
|
|
|
|
|
|
|
|
|
|
|
п
|
| |
|
|
|
|
п
|
|
|
о
|
|
|
|
|
|
р
|
| |
|
п
|
о
|
к
|
а
|
з
|
а
|
т
|
е
|
л
|
ь
|
н
|
а
|
я
|
| |
|
|
|
|
р
|
|
|
л
|
|
|
|
|
|
м
|
| |
|
|
|
|
а
|
б
|
ц
|
и
|
с
|
с
|
а
|
|
|
а
|
| |
|
|
|
|
б
|
|
|
ч
|
|
|
|
|
|
я
|
| к
|
о
|
н
|
т
|
р
|
о
|
л
|
ь
|
н
|
а
|
я
|
|
|
|
|
| |
|
|
|
|
л
|
|
|
и
|
|
|
|
|
|
|
| |
|
|
|
|
а
|
|
|
к
|
о
|
р
|
е
|
н
|
ь
|
|
II гейм. Гонка за лидером.
Каждой команде задаются вопросы. За правильный ответ -1балл,
30 сек -на обдумывание вопроса, не требующего решения
3 мин -на вопрос, требующий решения.
1
. а) Что такое функция? Способы задания функции.
б) Запишите в общем виде уравнение линейной, квадратичной, показательной функций.
2.
а) Как называются переменные в записи функций? Что такое область определения, множество значений функции?
б) Как возвести число в натуральную, отрицательную и рациональную степень?
3. Изобразите схематично графики функций и найдите область определения:
а) y = e
x
, y =
5x
+ 2.
б) y =(0,3)– x
+ 2, y = , y = – 4, y =3x –2
.
4. Решите уравнения:
а) 25 x
– 6 5x
+ 5 =
0, 2x– 3
= 33– x
, ( А5. ЕГЭ, 2004);
б) 4x– 3
= 32x
( А10. ЕГЭ, 2006),
( В2. ЕГЭ, 2005).
5. Решите неравенство:
а) x2
5 x
– 5x– 2
0, ( А4. ЕГЭ, 2001);
б) > 16,  III гейм.
Спешите видеть
Каждой команде предлагается достроить график показательной функции и описать её свойства (устно). Графики начерчены на крыльях доски.
1 мин.
– на обдумывания вопроса.

За правильный ответ – 1 балл.
За ответ,
данный раньше времени – 0,5 балла.
IV гейм.
Тёмная лошадка
К нам на игру пожаловал НМО – неопознанный математический объект. Он здесь, в чёрном ящике. Каждая команда получает описание этого НМО и в течение 1-2 мин. угадывает, что находится в чёрном ящике. капитаны получают описание этого НМО в конвертах.
Во все времена этому числу уделялось большое внимание. И это не удивительно. Выражая величину отношения между длиной окружности и длиной диаметра, оно появилось во всех расчётах связанных с площадью круга или длиной окружности. Сегодня это число присутствует в чертежах и вычислениях, при подготовке полётов в космос; оно нужно инженерам, рассчитывающим цилиндрические, сферические или конические части машин; оно нужно физикам и астрономам. Куда бы мы не обратились, мы видим проворное и трудолюбивое число …: оно заключено и в самом простом колёсике, и в самой сложной автоматической машине.
Это я знаю и помню прекрасно…” - этими словами начинается всем известный стишок, который помогает запомнить десятичные приближения того иррационального числа, которое часто используется в математике. Название этого числа, его обозначение – первая буква греческого слова, которое в переводе означает “окружность”. Оно было введено в1706 году английским математиком Ч.Джонсоном. Архимед, Ал-Каши, Ф.Виет, В.Шенкс и многие другие пытались вычислить наибольшее количество знаков у этого иррационального числа, Есть ещё одно небольшое четверостишие “Чтобы … запомнить, братцы, надо чаще повторять…”. Что это за число?
За правильный ответ – 1 балл.
За ответ,
данный раньше времени – 0,5 балла.
V гейм.
Дальше, дальше…
Это самый азартный гейм, ведь здесь каждая команда в течении 1 минут отвечает на вопросы (приведённые ниже) и может заработать свои победные баллы. Учитель сам отмечает правильные ответы. Каждый игрок команды должен хотя бы раз ответить на вопрос. Вопросы выводятся на экран кодоскопа и ответы игроки дают без подготовки.
За каждый правильный ответ – 1балл.
| |
Вопросы команде №1
|
Ответы
|
|
|
Вопросы команде №2
|
Ответы
|
| 1.
|
9,80
|
1
|
1.
|
3-2
|
|
| 2.
|
аx
> 1 при…
|
а> 1,x>0
|
2.
|
Убывает ли y = 5 – x
?
|
Да, убывает
|
| 3.
|
|
5
|
3.
|
Область определения y = x2
+ 5
|
R
|
| 4.
|
Множество значений x, для которых определены значения y(x), называются…
|
Областью определения функции y(x)
|
4.
|
> ?
|
x<2
|
| 5.
|
Область определения показательной функции
|
R
|
5.
|
Через какую точку обязательно пройдёт график y = аx
?
|
( 0; 1)
|
| 6.
|
Область определения y = 2x + 3
|
R
|
6.
|
Множество значений показательной функции
|
R+
|
| 7.
|
Множество значений y = 
|
0 или R+
и 0
|
7.
|
а> 1, а x1
> а x2
Сравните x1
и x2
|
x1
> x2
|
| 8.
|
|
9
|
8.
|
63
6 – 2
|
6
|
| 9.
|
Метод решения уравнения 3x+1
– 3x – 2
= 26
|
Вынесение общего множителя
|
9.
|
Сравнить числа и 1
|
<1
|
| 10.
|
Решите неравенство 3x
<34
|
x<4, так как 3 >1, 3x
– возрастает
|
10.
|
Область определения
y = 
|
x
0
|
| 11.
|
3x
= 1, x = …
|
x = 0
|
11.
|
19960
|
1
|
| 12.
|
y = аx
. при а> 1 функция …
|
Возрастает
|
12.
|
Метод решения уравнения 3 9x
+11 3x
– 4 < 0
|
Обозначить 3x
за новую переменную
|
| 13.
|
Чему равно значение функции в точках пересечения графика с осью Оx?
|
0
|
13.
|
Возрастает ли y = ?
|
Да, возрастает
|
| 14.
|
Возрастает ли y = ?
|
Нет, убывает
|
14.
|
Название независимой переменной
|
Аргумент
|
| 15.
|
152
|
225
|
15.
|

|
25
|
| 16.
|
Множество значений показательной функции
|
R+
|
16.
|
Название точки пересечения y = аx
с осью Оx
|
нет
|
Игра закончена. Подводится итог. В это время учащиеся выступают с сообщениям по теме «Показательная функция»:
1. «Радиоактивный распад» (физика).
2. «Рост колоний живых организмов» (биология)
3. «Выбрасывание адреналина в кровь и его разрушение» (анатомия)
Домашнее задание (по карточке).
Задания: во всех случаях требуется решить уравнения и неравенства.
1) 2x+1
+ 2x – 1
= 20;
2) ;
3) 23x
5x
=1600
4) Какое из следующих чисел входит в множество значений функции y = 2x
+ 4?
а) 5;
б) 2;
в) 3;
г) 4; (А7, ЕГЭ 2005, демонстрационный вариант)
5) (А4, ЕГЭ 2002) ; 6) < 0(А11, ЕГЭ 2003)
Ответы:
1) x = 3;
2) x = 2;
3) x = 2;
4) верный ответ а, x = 5;
5) x ; 6)
3.2
План-конспект урока по геометрии в 11 классе
Тема урока:
Объем пирамиды (решение задач).
Класс - 11
Цели урока
:
Образовательная
: усвоение умений самостоятельно, в комплексе, применять знание, умения и навыки, осуществлять их перенос в новые условия.
Развивающая:
развитие познавательной самостоятельности, системного мышления.
Воспитательная
: воспитание добросовестного отношения к учебному труду.
Тип урока
: урок комплексного применения знаний, умений и навыков.
Оборудование урока
:
1. Переносной компьютер с проектором для демонстрации.
2. Раздаточный материал для решения задач при повторении опорных знаний.
Структура урока
:
1. Организационный момент (2 мин.).
2. Повторение опорных знаний и решение по готовым чертежам (10 мин.).
3. Решение задачи (25 мин.).
4. Подведение итогов, выставление оценок (2 мин.).
5. Домашнее задание (1 мин.).
Ход урока.
1. Организационный момент.
Проверка готовности учащихся к уроку. Отмечаются отсутствующие, объявляется тема урока и план урока.
2. Повторение опорных знаний в виде фронтальной беседы.
В тетради записывается число, тема урока.
Ученики отвечают на вопросы
Слайд 1.
1). Способы задания плоскости (рис. 1).
Рис. 1 - Способы задания плоскости
Слайд 2.
2). Признак перпендикулярности прямой и плоскости (рис. 2).

Рис. 2 - Признак перпендикулярности прямой и плоскости
Слайд 3.
3). Теорема о трех перпендикулярах (рис. 3).

Рис. 3 - Теорема о трех перпендикулярах
Слайд 4.
4). Свойства перпендикулярных прямой плоскости (рис. 4).
Рис. 4 - Свойства перпендикулярных прямой плоскости
5). Сформулировать понятие «Расстояние между скрещивающимися прямыми».
6). Дать определение угла между прямой и плоскостью.
7). Решение задач.
По готовому чертежу на выданных листах решается задача на нахождение угла между скрещивающимися прямыми. Слайд 5
с элементами анимации с последовательной демонстрацией по щелчку (рис. 5).

Рис. 5 – Слайд с элементами анимации с последовательной демонстрацией по щелчку
Ученики отвечают на вопросы по задаче.
По готовому чертежу на выданных листах решается задача на построение угла между плоскостями.
Слайд 6
с элементами анимации с последовательной демонстрацией по щелчку (рис. 6).

Рис. 6 – Слайд с элементами анимации с последовательной демонстрацией по щелчку
3. Слайд 7
с элементами анимации. Ученики в тетради записывают условие задачи и строят чертеж (рис. 7).

Рис. 7 - Слайд с элементами анимации

Для того, чтобы ученики проверили правильность построения сечения и пояснения к построению, демонстрируется слайд 8.

Рис. 8 - Правильность построения сечения и пояснения к построению
6. На экране появляется слайд 9
с чертежом к задаче. В процессе решения по щелчку на слайде появляются выносные чертежи (рис. 9).

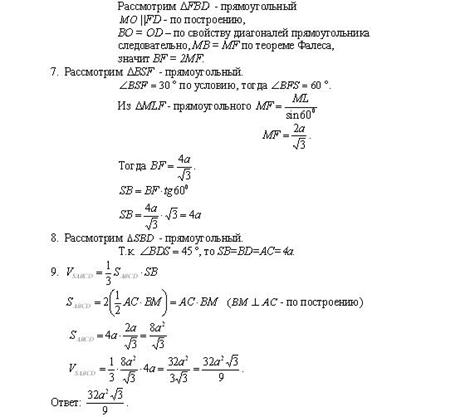
Рис. 9 - Слайд с чертежом к задаче

4. Подведение итогов: проверка решения задач в паре, выставление оценок.
5. Домашнее задание: §21, №40, №43.
Список использованной литературы
1. Газета «Математика в школе». Приложение к журналу «Первое сентября», 2004 г.
2. Дьяченко П.К. Современная дидактическая теория и практическое обучение в общеобразовательной школе. ИПК. Новокузнецк, 1996, 1 с. 27.
3. Дьяченко В.К. Новая дидактика - М.: Народное образование, 2001. - 496 с.
4. Дьяченко В.К. Новая педагогическая технология и ее звенья. Изд-во Красноярского ун-та, 1994. - 182 с.
5. Дьяченко В.К. Организационная структура учебного процесса и ее развитие- М.: Педагогика, 1989.
6. Дьяченко В.К. Сотрудничество в обучении - М.: Просвещение, 1991.
7. Журнал «Математика», 2001 г.
8. Колмогоров М.Н «Алгебра и начала анализа», Москва, «Просвещение»,2006 г.10-11 класс.
9. Материалы ЕГЭ, 2004, 2005 г.
10. Фридман Л.М. «Учитесь учиться математике», Москва, «Просвещение», 1995 г.
|