Теоретические основы специальности.
Оптимизационные методы решения экономических задач. Классическая постановка задачи оптимизации. Оптимизация функций. Оптимизация функционалов. Общая постановка задачи.
К экономическим задачам оптимизационного типа относятся задачи, в которых требуется найти наилучшее или оптимальное решение при заданных условиях производства. Такие задачи называются задачами на максимум или минимум. Особенностью задач оптимизационного типа является многовариантность их решений, обусловленная следующими причинами: взаимозаменяемостью ресурсов; взаимозаменяемостью готовых видов продукции; существованием альтернативных технологий производства; неодинаковостью технико-экономических показателей даже однотипных хозяйственных субъектов.
Возможны два подхода к постановке оптимизационных задач: при первом подходе требуется получить максимальные конечные результаты при заданных условиях производства; при втором подходе требуется получить заданные конечные результаты при минимальных затратах ресурсов.
Математический инструментарий, позволяющий решать экономические задачи оптимального типа, называется программированием. Различают линейное и нелинейное программирование.
На практике наибольшее распространение получило линейное программирование.
Методы линейного программирования в математике известны под названием общей задачи линейного программирования.
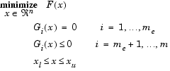
Аналитическая формулировка общей задачи линейного программирования
Общая задача линейного программирования формулируется следующим образом:
Найти решение {Х1
,Х2
,….Хn
}, позволяющее максимизировать или минимизировать целевую функцию
F = C1
X1
+C2
X2
+…+ Cn
Xn
при условиях

Х1
≥0; Х2
≥0; …; Хn
≥0.
Это развернутая запись общей задачи линейного программирования.
Сокращенная запись этой модели имеет вид:
Найти решение {Xj
}, позволяющее максимизировать (минимизировать) функцию
при условиях
, i = 1,2,…,n;
Xj
≥ 0, j = 1,2,…,n.
Вышеприведенные записи общей задачи линейного программирования называют аналитической формой записи.
Любое решение, удовлетворяющее условиям, называется допустимым решением. Допустимое решение систем неравенств, удовлетворяющее целевой функции, называется оптимальным решением. Такое решение единственно при заданных условиях.
Матричная форма записи общей задачи линейного программирования
при ограничениях AX≤B
X≥0,
где С = (с1
, с2
,…, сn
);
где С – матрица-строка
А – матрица системы
Х – матрица-столбец переменных
В – матрица-столбец свободных членов
Векторная форма записи общей задачи линейного программирования
F = CX → max (min)
при ограничениях
Х≥0,
где СХ – скалярное произведение векторов
С = (С1
, С2
, …, Сn
) и Х = (х1
, х2
, …, хn
),
векторы
состоят соответственно из коэффициентов при переменных и свободных членов.
(про функционал)
В общем случае задача оптимизации формулируется как задача отыскания maxили minзначения I(v) для .
Забиваем Сайты В ТОП КУВАЛДОЙ - Уникальные возможности от SeoHammer
Каждая ссылка анализируется по трем пакетам оценки: SEO, Трафик и SMM.
SeoHammer делает продвижение сайта прозрачным и простым занятием.
Ссылки, вечные ссылки, статьи, упоминания, пресс-релизы - используйте по максимуму потенциал SeoHammer для продвижения вашего сайта.
Что умеет делать SeoHammer
— Продвижение в один клик, интеллектуальный подбор запросов, покупка самых лучших ссылок с высокой степенью качества у лучших бирж ссылок.
— Регулярная проверка качества ссылок по более чем 100 показателям и ежедневный пересчет показателей качества проекта.
— Все известные форматы ссылок: арендные ссылки, вечные ссылки, публикации (упоминания, мнения, отзывы, статьи, пресс-релизы).
— SeoHammer покажет, где рост или падение, а также запросы, на которые нужно обратить внимание.
SeoHammer еще предоставляет технологию Буст, она ускоряет продвижение в десятки раз,
а первые результаты появляются уже в течение первых 7 дней.
Зарегистрироваться и Начать продвижение
Под решением такой задачи понимается такое , что для остальных элементов выполняется неравенство или в зависимости от требований задачи.
При этом:
v – некоторая функция
I(v) – функционал вида 
Многокритериальная оптимизация. Методы сведения многокритериальной задачи к однокритериальной. Метод уступок. Методы определения уровня предпочтений. Способы поиска паретовского множества альтернатив.
Многокритериальная оптимизация представляет собой минимизацию некого вектора целей F(x), на которой могут быть наложены дополнительные ограничения или предельные значения:
 |
(3-47)
|
Отметим, что поскольку F(x) является неким вектором, то любые компоненты F(x) являюся конкурирующими и отсутсвует некое единое решение поставленной задачи. Взамен этого, для описания характеристик целей вводится концепция множества точек неулучшаемых решений [41] (так называемая оптимальность по Паретто [4],[6]). Неухудшаемое решение есть такое решение, в котором улучшение в одной из целей приводит к некому ослаблению другой. Для более точной формулировки данной концепции рассмотрим некую область допустимых решений в параметрическом пространстве , которое удовлетворяет всем принятым ограничениям, т.е.
 |
(3-48)
|
при ограничениях

Отсюда возможно определить соответствующую область допустимых решений для пространства целевых функций .
Точка неулучшаемого решения может быть определена как:
Определение. Точка является неулучшаемым решением, если для некоторой окрестности нет некого такого, что и
Стратегия взвешенных сумм
Данная стратегия взвешенных сумм преобразует многокритериальную задачу минимизации вектора в некую скалярную задачу путем построения неких взвешенных сумм для всех выбранных объектов.
 |
(3-51)
|
Далее уже к данной задаче оптимизации уже может быть применен стандартный алгоритм оптимизации без наличия ограничений. В этом случае рассматриваются взвешенные коэффициенты для каждой из выбранных целей. Взвешенные коэффициенты необязательно должны напрямую соответствовать относительной значимости соответствующей цели или принимать во внимание взаимовлияние между конкретно выбранными целями. Более того, границы неулучшаемых решений могут быть и не достигнуты, так что определенные решения являются по существу недостижимыми.
Метод -ограничений
Некий определенный способ, который отчасти позволяет преодолеть проблему выпуклости метода взвешенных сумм, есть метод -ограничений. В этом случае осуществляется минимизация основной цели и при представлении остальных целей в форме ограничений типа неравенств.
 |
(3-52)
|
при выполнении условия

Подобный подход позволяет определить некое количество неулучшаемых решений для случая вогнутой границы, что, по существу, является недоступным в методе взвешенных сумм, например, в точке искомого решения и . Однако проблемой данного метода является подходящий выбор , который мог бы гарантировать допустимость некого решения.
Сервис онлайн-записи на собственном Telegram-боте
Попробуйте сервис онлайн-записи VisitTime на основе вашего собственного Telegram-бота:
— Разгрузит мастера, специалиста или компанию;
— Позволит гибко управлять расписанием и загрузкой;
— Разошлет оповещения о новых услугах или акциях;
— Позволит принять оплату на карту/кошелек/счет;
— Позволит записываться на групповые и персональные посещения;
— Поможет получить от клиента отзывы о визите к вам;
— Включает в себя сервис чаевых.
Для новых пользователей первый месяц бесплатно.
Зарегистрироваться в сервисе
Метод достижения цели.
Описанный далее метод представляет собой метод достижения цели Гембики. Данный метод включает в себя выражение для множества намерений разработчика
, которое связано с множеством целей
. Такая формулировка задачи допускает, что цели могут быть или недо- или передостижимыми, и что дает разработчику возможность относительно точно выразить исходные намерения. Относительная степень недо- или передостижимости поставленных намерений контролируется посредством вектора взвешенных коэффициентов и может быть представлена как стандартная задача оптимизации с помощью следующей формулировки
 |
(3-53)
|
При условии, что

Член вносит в данную задачу элемент ослабления
, что, иначе говоря, обозначает жесткость заданного намерения. Весовой вектор w
дает исследователю возможность достаточно точно выразить меру взаимосвязи между двумя целями. Например, установка весового вектора w
как равного исходному намерению указывает на то, что достигнут тот же самый процент недо- или передостижимости цели
. Посредством установки в ноль отдельного весового коэффициента (т.е. ) можно внести жесткие ограничения в поставленную задачу. Метод достижения цели обеспечивает подходящую интуитивную интерпретацию поставленной исследовательской задачи и которая, в свою очередь, является вполне разрешимой с помощью стандартных процедур оптимизации.
Гладкая оптимизация. Седловая точка. Условие Куна-Таккера. Двойственные задачи оптимизации.
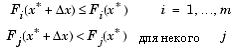
Метод множителей Лагранжа позволяет отыскивать максимум или минимум функции при ограничениях-равенствах. Основная идея метода состоит в переходе от задачи на условный экстремум к задаче отыскания безусловного экстремума некоторой построенной функции Лагранжа. Пусть задана задача НП при ограничениях-равенствах вида
минимизировать
(5.2.1)
при ограничениях
(5.2.2)
Предположим, что все функции
– дифференцируемы. Введем набор переменных
(число которых равняется числу ограничений), которые называются множител
ями Лагранжа
, и составим функцию Лагранжа такого вида:
(5.2.3)
Справедливо такое утверждение [18]: для того чтобы вектор
являлся решением задачи (5.2.1) при ограничениях (5.2.2), необходимо, чтобы существовал такой вектор
, что пара векторов удовлетворяла бы системе уравнений
(5.2.4)
(5.2.5)
множителей Лагранжа, который состоит из следующих шагов.
Составляют функцию Лагранжа
Находят частные производные
Решают систему уравнений
(5.2.16)
и отыскивают точки
, удовлетворяющие системе (5.2.16).
Найденные точки
дальше исследуют на максимум (или минимум).
Седловая точка и задача нелинейного программирования
Рассмотрим функцию Лагранжа
Определение
Пара векторов
называется седловой точкой функции Лагранжа
, если при всех
выполняется условие
(5.3.28)
Неравенство (5.3.28) называют неравенством для седловой точки. Очевидно, что в седловой точке выполняется условие
(5.3.29)
Между понятием седловой точки функции Лагранжа
и решением задачи НП существует взаимосвязь, которая устанавливается в следующей теореме.
Теорема 5.9.
Пусть
и все
выпуклы и функции
удовлетворяют условию регулярности Слейтера. Вектор
является решением задачи НП (5.3.1), (5.3.2) тогда и только тогда, когда существует такой вектор
, что
(5.3.30)
и
(5.3.31)
Теорема Куна-Таккера
. Пусть функции
, имеют непрерывные частные производные на некотором открытом множестве
, содержащем точку
. Если
является точкой минимума функции
при ограничениях
, удовлетворяющих условию регулярности в виде линейной независимости векторов
, то существуют такие неотрицательные множители Лагранжа
, что
(5.3.15)
(5.3.16)
Определим функцию Лагранжа следующим образом:
(5.3.17)
Тогда теорему Куна-Таккера можно записать в виде
(5.3.18)
(5.3.19)
(5.3.20)
Заметим, что множители Лагранжа
в задаче НП с ограничениями-равенствами являются знаконеопределенными, тогда как в теореме Куна-Таккера они должны быть положительными.
Каждой задаче линейного программирования соответствует двойственная задача. Двойственная задача по отношению к исходной задаче строится по следующим правилам:
· Если исходная задача ставится на максимум, то двойственная ставится на минимум и наоборот.
· Коэффициенты целевой функции исходной задачи становятся правыми частями ограничений двойственной задачи. Правые части ограничений исходной задачи становятся коэффициентами целевой функции двойственной задачи.
· Если A-матрица коэффициентов исходной задачи, то транспонированная матрица T A будет матрицей коэффициентов двойственной задачи.
· В задаче на максимум все ограничения имеют знак ≤ (=), а в задаче на минимум все ограничения имеют знак ≥ .
· Число переменных в двойственной задаче равно числу ограничений в исходной задаче. Каждому ограничению исходной задачи соответствует переменная двойственной задачи. Если ограничение исходной задач имеет знак (≥ ), то соответствующая переменная двойственной задачи неотрицательна. Если ограничение имеет знак (=), то соответствующая переменная двойственной задачи может принимать положительные и отрицательные значения и наоборот.
Градиентные методы гладкой оптимизации. Общая идея градиентного спуска (подъема). Пропорциональный градиентный метод. Полношаговый градиентный метод. Метод сопряженных градиентов.
Методы отыскания экстремума, использующие производные, имеют строгое математическое обоснование. Известно, что при отыскании экстремума не существует лучшего направления, чем движение по градиенту.
Градиентом дифференцируемой функции f(x)
в точке х
[0] называется n
-мерный вектор f(x
[0])
, компоненты которого являются частными производными функции f(х),
вычисленными в точке х
[0], т. е.
f'(x
[0]) = (дf(х
[0])/дх
1
, …, дf(х
[0])/дхn
)T
.
Этот вектор перпендикулярен к плоскости, проведенной через точку х
[0] , и касательной к поверхности уровня функции f(x),
проходящей через точку х
[0] .В каждой точке такой поверхности функция f(x)
принимает одинаковое значение. Приравнивая функцию различным постоянным величинам С0
, С1
, ... , получим серию поверхностей, характеризующих ее топологию
Вектор-градиент направлен в сторону наискорейшего возрастания функции в данной точке. Вектор, противоположный градиенту (-f’(х
[0]))
, называется антиградиентом
и направлен в сторону наискорейшего убывания функции. В точке минимума градиент функции равен нулю. На свойствах градиента основаны методы первого порядка, называемые также градиентным и методами минимизации. Использование этих методов в общем случае позволяет определить точку локального минимума функции.
Очевидно, что если нет дополнительной информации, то из начальной точки х
[0] разумно перейти в точку х
[1], лежащую в направлении антиградиента - наискорейшего убывания функции. Выбирая в качестве направления спуска р
[k
] антиградиент -f’(х
[k])
в точке х
[k
], получаем итерационный процесс вида
х
[k+
1] = x
[k
]-ak
f'(x
[k])
, а
k
> 0; k
=0, 1, 2, ...
В координатной форме этот процесс записывается следующим образом:
xi
[k
+1]=х
i
[k
] - ak
f(x
[k])
/ xi
i
= 1, ..., n
; k
= 0, 1, 2,...
В качестве критерия останова итерационного процесса используют либо выполнение условия малости приращения аргумента || x
[k
+l] - x
[k
] || <= e, либо выполнение условия малости градиента
|| f’(x
[k
+l])
|| <= g,
Здесь e и g - заданные малые величины.
Возможен и комбинированный критерий, состоящий в одновременном выполнении указанных условий. Градиентные методы отличаются друг от друга способами выбора величины шага аk
.
При методе с постоянным шагом для всех итераций выбирается некоторая постоянная величина шага. Достаточно малый шаг аk
обеспечит убывание функции, т. е. выполнение неравенства
f(х
[k
+1])
= f(x
[k] – ak
f’(x
[k]))
< f(x
[k])
.
Однако это может привести к необходимости проводить неприемлемо большое количество итераций для достижения точки минимума. С другой стороны, слишком большой шаг может вызвать неожиданный рост функции либо привести к колебаниям около точки минимума (зацикливанию). Из-за сложности получения необходимой информации для выбора величины шага методы с постоянным шагом применяются на практике редко.
Более экономичны в смысле количества итераций и надежности градиентные методы с переменным шагом,
когда в зависимости от результатов вычислений величина шага некоторым образом меняется. Рассмотрим применяемые на практике варианты таких методов.
Метод наискорейшего спуска
При использовании метода наискорейшего спуска на каждой итерации величина шага аk
выбирается из условия минимума функции f(x)
в направлении спуска, т. е. f(x
[k
] –ak
f’(x
[k
]))
= f(x
[k] – af'(x
[k
]))
.
Это условие означает, что движение вдоль антиградиента происходит до тех пор, пока значение функции f(x)
убывает. С математической точки зрения на каждой итерации необходимо решать задачу одномерной минимизации по а
функции j(a)
= f(x
[k
] - af'(x
[k
])) .
Алгоритм метода наискорейшего спуска состоит в следующем.
1. Задаются координаты начальной точки х
[0].
2. В точке х
[k
],
k =
0, 1, 2, ... вычисляется значение градиента f’(x
[k
])
.
3. Определяется величина шага a
k
, путем одномерной минимизации по а
функции j(a)
= f(x
[k
] - af'(x
[k
])).
4. Определяются координаты точки х
[k+
1]:
х
i
[k+
1] = xi
[k
] –
а
k
f’i
(х
[k
]), i = 1 ,...,
п
.
5. Проверяются условия останова стерационного процесса. Если они выполняются, то вычисления прекращаются. В противном случае осуществляется переход к п. 1.
В рассматриваемом методе направление движения из точки х
[k
] касается линии уровня в точке x
[k+
1] (Рис. 2.9). Траектория спуска зигзагообразная, причем соседние звенья зигзага ортогональны друг другу. Действительно, шаг a
k
выбирается путем минимизации по а
функции φ(a)
= f(x
[k] - af'(x
[k
]))
. Необходимое условие минимума функции d
j(a)/da = 0.
Вычислив производную сложной функции, получим условие ортогональности векторов направлений спуска в соседних точках:
d
j(a)/da = -f’(x
[k+
1]f’(x
[k
]) = 0.
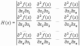
Градиентные методы сходятся к минимуму с высокой скоростью (со скоростью геометрической прогрессии) для гладких выпуклых функций. У таких функций наибольшее М
и наименьшее m
собственные значения матрицы вторых производных (матрицы Гессе)
мало отличаются друг от друга, т. е. матрица Н(х)
хорошо обусловлена. Напомним, что собственными значениями li
, i
=1, …, n
, матрицы являются корни характеристического уравнения
Однако на практике, как правило, минимизируемые функции имеют плохо обусловленные матрицы вторых производных (т/М <<
1). Значения таких функций вдоль некоторых направлений изменяются гораздо быстрее (иногда на несколько порядков), чем в других направлениях. Их поверхности уровня в простейшем случае сильно вытягиваются, а в более сложных случаях изгибаются и представляют собой овраги. Функции, обладающие такими свойствами, называют овражными.
Направление антиградиента этих функций (см. Рис. 2.10) существенно отклоняется от направления в точку минимума, что приводит к замедлению скорости сходимости.
Метод сопряженных градиентов
Рассмотренные выше градиентные методы отыскивают точку минимума функции в общем случае лишь за бесконечное число итераций. Метод сопряженных градиентов формирует направления поиска, в большей мере соответствующие геометрии минимизируемой функции. Это существенно увеличивает скорость их сходимости и позволяет, например, минимизировать квадратичную функцию
f(x) = (х, Нх) + (b, х) + а
с симметрической положительно определенной матрицей Н
за конечное число шагов п ,
равное числу переменных функции. Любая гладкая функция в окрестности точки минимума хорошо аппроксимируется квадратичной, поэтому методы сопряженных градиентов успешно применяют для минимизации и неквадратичных функций. В таком случае они перестают быть конечными и становятся итеративными.
По определению, два n
-мерных вектора х
и у
называют сопряженными
по отношению к матрице H
(или H
-сопряженными), если скалярное произведение (x
, Ну) = 0.
Здесь Н -
симметрическая положительно определенная матрица размером п
хп.
Одной из наиболее существенных проблем в методах сопряженных градиентов является проблема эффективного построения направлений. Метод Флетчера-Ривса решает эту проблему путем преобразования на каждом шаге антиградиента -f(x
[k
])
в направление p
[k
], H
-сопряженное с ранее найденными направлениями р
[0], р
[1], ..., р
[k
-1]. Рассмотрим сначала этот метод применительно к задаче минимизации квадратичной функции.
Направления р
[k
] вычисляют по формулам:
p
[k
] = -f’(x
[k
])
+bk-1
p
[k
-l], k
>= 1;
p
[0] = -f
’(x
[0])
.
Величины bk
-1
выбираются так, чтобы направления p
[k
], р
[k
-1] были H
-сопряженными:
(p
[k
], Hp
[k-
1])= 0.
В результате для квадратичной функции
,
итерационный процесс минимизации имеет вид
x
[k
+l] =x
[k
] +ak
p
[k
],
где р
[k
] -
направление спуска на k-
м шаге; аk
-
величина шага. Последняя выбирается из условия минимума функции f(х)
по а
в направлении движения, т. е. в результате решения задачи одномерной минимизации:
f(х
[k
] + аk
р
[k
])
= f(x
[k
] + ар
[k
])
.
Для квадратичной функции

Алгоритм метода сопряженных градиентов Флетчера-Ривса состоит в следующем.
1. В точке х
[0] вычисляется p
[0] = -f’(x
[0])
.
2. На k-
м шаге по приведенным выше формулам определяются шаг а
k
.
и точка х
[k+
1].
3. Вычисляются величины f(x
[k
+1])
и f’(x
[k
+1])
.
4. Если f’(x
[k+1])
= 0, то точка х
[k
+1] является точкой минимума функции f(х).
В противном случае определяется новое направление p
[k
+l] из соотношения

и осуществляется переход к следующей итерации. Эта процедура найдет минимум квадратичной функции не более чем за п
шагов. При минимизации неквадратичных функций метод Флетчера-Ривса из конечного становится итеративным. В таком случае после (п+
1)-й итерации процедуры 1-4 циклически повторяются с заменой х
[0] на х
[п
+1] , а вычисления заканчиваются при , где - заданное число. При этом применяют следующую модификацию метода:
x
[k
+l] = x
[k
] +ak
p
[k
],
p
[k
] = -f’(x
[k
])+
bk-
1
p
[k
-l], k
>= 1;
p
[0] = -f’(x
[0]);
f(х
[k
] + ak
p
[k
])
= f(x
[k
] + ap
[k
];
.
Здесь I
- множество индексов: I
= {0, n, 2п, Зп, ...}
, т. е. обновление метода происходит через каждые п
шагов.
Геометрический смысл метода сопряженных градиентов состоит в следующем (Рис. 2.11). Из заданной начальной точки х
[0] осуществляется спуск в направлении р
[0] = -f'(x
[0]). В точке х
[1] определяется вектор-градиент f'(x
[1]). Поскольку х
[1] является точкой минимума функции в направлении р
[0],
то f’(х
[1])
ортогонален вектору р
[0]. Затем отыскивается вектор р
[1], H
-сопряженный к р
[0] . Далее отыскивается минимум функции вдоль направления р
[1] и т. д.

Рис. 2.11.
Траектория спуска в методе сопряженных градиентов
Методы сопряженных направлений являются одними из наиболее эффективных для решения задач минимизации. Однако следует отметить, что они чувствительны к ошибкам, возникающим в процессе счета. При большом числе переменных погрешность может настолько возрасти, что процесс придется повторять даже для квадратичной функции, т. е. процесс для нее не всегда укладывается в п
шагов.
Выпуклая оптимизация. Условие выпуклости. Субградиентный метод выпуклой оптимизации. Метод растяжения пространства. Метод эллипсоидов.
Основная задача выпуклого программирования
Пусть задано выпуклое и замкнутое множество . Рассмотрим множество
=
{ }, =( ,…, ), Î .
где ( ) — вогнутые (выпуклые вверх) непрерывные на скалярные функции. В теории математического программирования каждый элемент Î принято называть допустимым планом
, а само множество — множеством допустимых планов
.
Формальная постановка задачи выпуклого программирования
Задачу
,
где
выпукла, а
определяется вышеприведенными условиями, называется основной задачей выпуклого программирования.
Определение означает, что ставится задача:
Если существует минимальное значение функции на множестве , то среди всех допустимых планов найти оптимальный план , для которого
= =
при этом число называют значением задачи
.
Если оптимального плана не существует, то требуется
· либо найти значение задачи как точную нижнюю грань значений функции на множестве :
=
· либо убедиться, что неограничена снизу на множестве ;
· либо убедиться в том, что множество допустимых планов пусто.
Для решения предложенной оптимизационной задачи следует выполнить следующие действия:
· Определить множество .
· Определить вектор-функцию =( ,…, ) и вектор Î .
· Определить множество допустимых планов ={ }.
· Привести задачу к стандартной форме основной задачи выпуклого программирования и определить оптимизируемую функцию .
· Проверить, является ли полученная оптимизационная задача ЗВП, для этого
· проверить на выпуклость множество ;
· проверить на выпуклость функцию .
В случае успеха п. 5
· Построить функцию Лагранжа полученной ЗВП.
· С помощью дифференциальных условий Куна-Таккера найти седловые точки построенной функции Лагранжа.
В случае неудачи п. 5 попытаться найти другие методы решения задачи.
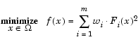
Методы субградиентной оптимизации
. Эти итеративные процедуры формируют последовательность векторов {lk
}. Начиная с некоторого начального значения l
0
эти вектора меняются по следующему правилу
lk+
1
= lk
+
tk
(A xk
- b
),
где xk
— оптимальное решение задачи ,
а tk
— размер шага. Фундаментальный теоретический результат заключается в том, что [14]
.
Размер шага на практике обычно выбирают, следуя [11],

где q k
— скаляр, 0 < q k
2 и z*
— верхняя граница для n(D).
Обычно z*
получают эвристикой для P.
В методе ветвей и границ z*
— текущий рекорд. Последовательность q k
, как правило, начинается с q
0
=
2 и затем q k
делится пополам, через фиксированное число итераций, зависящее от размерности задачи.
Элементы функционального анализа. Метрические, линейные и нормированные пространства. Эвклидово пространство. Гильбертово пространство. Линейные операторы и функционалы в линейных нормированных пространствах
Функциональный анализ, часть современной математики, главной задачей которой является изучение бесконечномерных пространств и их отображений. Наиболее изучены линейные пространства и линейные отображения. Для Ф. а. характерно сочетание методов классического анализа, топологии и алгебры. Абстрагируясь от конкретных ситуаций, удаётся выделить аксиомы и на их основе построить теории, включающие в себя классические задачи как частный случай и дающие возможность решать новые задачи. Сам процесс абстрагирования имеет самостоятельное значение, проясняя ситуацию, отбрасывая лишнее и открывая неожиданные связи. В результате удаётся глубже проникнуть в сущность математических понятий и проложить новые пути исследования.
Развитие Ф. а. происходило параллельно с развитием современной теоретической физики, при этом выяснилось, что язык Ф. а. наиболее адекватно отражает закономерности квантовой механики, квантовой теории поля и т.п. В свою очередь эти физические теории оказали существенное влияние на проблематику и методы Ф. а.
1. Линейные пространства. Базис
Одно из основных понятий современной математики - линейное пространство.
Пусть L - некоторое множество объектов произвольной природы, а C - множество комплексных чисел. Множество L называют линейным пространством, если на нем определены две операции: 1) операция сложения любых двух элементов этого множества и 2) операция умножения элементов этого множества на комплексное число, причем эти операции удовлетворяют некоторым естественным аксиомам. Более точно:
Определение
. Множество L называется линейным пространством над полем комплексных чисел C, если
- каждой паре элементов x, y из этого пространства поставлен в соответствие элемент z этого пространства, называемый суммой элементов x и y (обозначение:
);
- каждому элементу x из L и каждому комплексному числу поставлен в соответствие элемент из L, называемый произведением и x (и обозначаемый
или x);
- указанные операции удовлетворяют следующим аксиомам:
для любых ,
для любых ,
- существует "нулевой" элемент
, такой, что для любого ,
- для каждого
существует "противоположный" ему элемент , такой, что ,
для любого ,
для любого и любых ,
для любого и любых ,
для любого и любых .
Подчеркнем, что перечисленные аксиомы являются естественным обобщением хорошо известных свойств сложения и умножения чисел, сложения векторов и их умножения на число и т.д.
Иногда рассматривают линейное пространство не над полем комплексных, а над полем действительных чисел R (т.е. вместо операции умножения на комплексные числа рассматривается операция умножения на действительные числа). Аксиомы линейного пространства при этом не меняются.
Приведем некоторые типичные примеры линейных пространств.
Пример 1.
Линейное пространство векторов на плоскости (или в трехмерном пространстве) с обычными операциями сложения векторов и умножения вектора на действительное число. Нулевым элементом является нулевой вектор.
Пример 2.
Линейное пространство всевозможных последовательностей комплексных чисел с операциями

.
Нулевой элемент - последовательность (0, 0, ..., 0, ...).
Пусть теперь - некоторые элементы линейного пространства L, а - произвольные комплексные (или действительные) числа. Элемент пространства L, равный , называется линейной комбинацией элементов .
Определение.
Система (набор) элементов пространства L называется линейно независимой, если линейная комбинация равна нулевому элементу пространства только в случае .
Иными словами, система называется линейно независимой, если из равенства следует, что .
Определение.
Система элементов пространства L называется линейно зависимой, если равенство выполнено при некотором наборе констант , хотя бы одна из которых отлична от нуля.
Таким образом, система называется линейно зависимой, если она не является линейно независимой.
Определение.
Линейное пространство имеет размерность n (или, коротко, n-мерно), если в нем найдется n линейно независимых элементов, но любые (n+1) элемент линейно зависимы. Линейное пространство называется бесконечномерным, если в нем можно указать любое наперед заданное число линейно независимых элементов.
Определение.
Система элементов линейного пространства называется базисом этого пространства, если любой элемент этого пространства можно единственным образом представить в виде линейной комбинации элементов данной системы.
Как мы убедились, в n-мерном пространстве любая линейно независимая система из n элементов образует базис.
Определение.
Множество M называется метрическим пространством
, если каждым двум элементам x, y этого множества поставлено в соответствие действительное число, обозначаемое и называемое расстоянием между элементами x и y, причем выполнены следующие аксиомы:
для любых , причем в том и только в том случае, когда ;
для любых ;
для любых .
Если x, y - два фиксированных элемента множества M, то есть действительное число, однако, полагая x и y равными всевозможным элементам множества M, получим, что является функцией двух переменных x, y. Эта функция называется метрикой данного пространства.
Определение.
Линейное пространство называется нормированным
, если каждому элементу x этого пространства поставлено в соответствие действительное число (норма x ), причем выполнены следующие аксиомы:
для любого x, причем тогда и только тогда, когда ;
для любого x и любого комплексного ;
для любых x, y из данного пространства.
Для линейных пространств над полем действительных чисел также вводится понятие нормированного пространства с теми же аксиомами.
Неравенство, фигурирующее в третьей аксиоме, называется неравенством Минковского.
Простейшими примерами нормированных пространств могут служить множества действительных чисел R и комплексных чисел C, где в качестве нормы числа рассматривается его модуль, а также пространство векторов на плоскости (или в пространстве) с нормой, равной длине вектора.
В пространстве непрерывных функций на (действительном или комплексном) норму можно ввести, например, следующими способами:
, .
Отметим теперь следующий важный факт. В любом линейном нормированном пространстве можно ввести метрику следующим образом:

При этом выполнение первой аксиомы метрического пространства следует из первой аксиомы нормированного пространства. Выполнение второй аксиомы также очевидно:
.
Наконец, выполнение третьей аксиомы метрического пространства следует из неравенства Минковского:

Итак, любое линейное нормированное пространство можно сделать метрическим пространством указанным выше естественным способом (так, указанные нами нормы в пространстве непрерывных функций порождают соответственно равномерную и среднеквадратичную метрику, т.е. порождают пространства и соответственно). Обратное утверждение, вообще говоря, неверно: не в любом метрическом пространстве можно ввести норму, поскольку понятие нормы вводится лишь в линейном пространстве, а метрическое пространство может не быть наделено линейной структурой. Однако, если метрическое пространство наделено линейной структурой (является линейным пространством), то его всегда можно сделать нормированным, введя норму 
Пусть -- вещественное -мерное пространство, в котором задан базис . Тогда векторы и из задаются своими координатами:

Скалярное произведение векторов, обозначаеся оно обычно , задается формулой
 |
(18.3) |
В отличие от обычного трехмерного пространства, где с помощью транспортира и линейки можно измерить угол между векторами и длину вектора, в -мерном пространстве ни угол между векторами, ни длину вектора измерить невозможно (как можно, например, измерить длину многочлена или угол между многочленами?). Поэтому ортонормированным в -мерном пространстве называется тот базис, в котором скалярное произведение вычисляется по формуле (18.3).
Если , -- координатные столбцы векторов и , то скалярное произведение можно задать формулой

Предоставляем читателю самостоятельно убедиться в совпадении этой формулы с формулой (18.3)
Определение 18.5
Вещественное линейное пространство, в котором задано скалярное произведение называется евклидовым пространством.
В трехмерном пространстве с помощью склярного произведения определялся угол между векторами. В евклидовом пространстве тоже можно определить угол между векторами. Но угол в -мерном пространстве не имеет существенного значения, кроме одного случая. В трехмерном проcтранстве два вектора ортогональны тогда и только тогда, когда их скалярное произведение равно нулю.
Определение 18.6
Два вектора евклидова пространства называются ортогональными, если их скалярное произведение равно нулю.
Определение 18.7
Комплексное линейное пространство, в котором введено скалярное произведение, называется унитарным пространством.
В унитарном пространстве модуль вектора и условие ортогональности вводятся с помощью скалярного произведения так же, как в евклидовом пространстве. В координатной записи
Гильбертово пространство
, математическое понятие, обобщающее понятие евклидова пространства на бесконечномерный случай. Возникло на рубеже 19 и 20 вв. в виде естественного логического вывода из работ нем. математика Гильберта
в результате обобщения фактов и методов, относящихся к разложениям функций в ортогональные ряды и к исследованию интегральных уравнений. Постепенно развиваясь, понятие «Г. п.» находило все более широкие приложения в различных разделах математики и теоретической физики; оно принадлежит к числу важнейших понятии математики.
Первоначально Г. п. понималось как пространство последовательностей со сходящимся рядом квадратов (т.н. пространство l
2
). Элементами (векторами) такого пространства являются бесконечные числовые последовательности
x = (x1
, x2
,..., xn
,...)
такие, что ряд x2
1
+ x2
2
+... + х2
n
+
...сходится. Сумму двух векторов х + y
и вектор lx
, где l
— действительное число, определяют естественным образом:
x + y = (x1
+ y1
,..., xn
+ yn
,...),
lx = (lx1
, lx2
, ..., lxn
,...)/
Для любых векторов х, y Î l2
формула
(x, y) = x1
y1
+ x2
y2
+ ... +xn
yn
+ ...
определяет их скалярное произведение, а под длиной (нормой) вектора х
понимается неотрицательное число
Скалярное произведение всегда конечно и удовлетворяет неравенству |(х, у)| £ ||x|| ||y||
. Последовательность векторов хn
называется сходящейся к вектору х
, если ||хn
—х|| ® 0
при n ® ¥
. Многие определения и факты теории конечномерных евклидовых пространств переносятся и на Г. п. Например, формула

где 0 £ j
£ p
определяет угол j
между векторами х
и у
. Два вектора х
и у
называются ортогональными, если (х, у
) = 0. Пространство l2
полно: всякая фундаментальная последовательность Коши элементов этого пространства (т.е. последовательность хn
, удовлетворяющая условию ||хп
—хm
||® 0
при n, m ® ¥
) имеет предел. В отличие от евклидовых пространств, Г. п. l2
бесконечномерно, т.е. в нём существуют бесконечные системы линейно независимых векторов; например, такую систему образуют единичные векторы
e1
= (1, 0, 0,...), e2
= (0, 1, 0,...),...
При этом для любого вектора x
из l2
имеет место разложение
x = x1
e1
+ x2
e
2
+... (1)
по системе {e
n
}.
Операторы (общие понятия). Функционалы.
Пусть X
, Y
— линейные пространства; отображение A
: X
® Y
называется линейным, если для x
, у
Î X
, l, m Î ,
где x1
,..., xn
и (Ax
)1
,..., (Ax
) n
— координаты векторов x
и Ax
соответственно. При переходе к бесконечномерным линейным топологическим пространствам положение значительно усложняется. Здесь прежде всего необходимо различать непрерывные и разрывные линейные операторы (для конечномерных пространств они всегда непрерывны). Так, действующий из пространства L2
(а
, b
) в него же оператор
(где K
(t
, s
) — ограниченная функция — ядро А
) — непрерывен, в то время как определённый на подпространстве C1
(a
, b
) Ì L2
(a
, b
) оператор дифференцирования
является разрывным (вообще, характерной особенностью разрывных операторов является то, что они не определены на всём пространстве).
Линейный функционал
, обобщение понятия линейной формы
на линейные пространства.
Линейным функционалом f
на линейном нормированном пространстве Е
называют числовую функцию f
(x
), определённую для всех х
из Е
и обладающую следующими свойствами:
1) f
(x
) линейна, т. е. f
((x +
(у
) =
(f
(x
) +
(f
(y
),
где х
и у
— любые элементы из Е
, a и b — числа;
2) f
(x
) непрерывна.
Непрерывность f
равносильна требованию, чтобы было ограничено в Е
; выражение называют нормой f
и обозначают .
В пространстве С
[a, b
] функций a(t), непрерывных при a
( t
( b
, с нормой Л. ф. являются, например, выражения:
,
f2
[
((t
)] =
((t0
), a
( t0
( b.
В гильбертовом пространстве
Н Л. ф. суть скалярные произведения (l, х
), где l
— любой фиксированный элемент пространства Н; ими исчерпываются все Л. ф. этого пространства.
Во многих задачах можно из общих соображений установить, что та или иная величина является Л. ф. Например, к Л. ф. приводит решение линейных дифференциальных уравнений с линейными краевыми условиями. Поэтому очень существенным является вопрос об общем аналитическом выражении Л. ф. в разных пространствах.
Совокупность всех Л. ф. данного пространства Е
превращается в линейное нормированное пространство , если определить естественным образом сложение Л. ф. и умножение их на числа. Пространство называют сопряжённым к ; это пространство играет большую роль при изучении Е
.
С понятием Л. ф. связано понятие слабой сходимости. Последовательность {xn
} элементов линейного нормированного пространства называют слабо сходящейся к элементу х
, если

Моделирование как метод научного познания. Понятия модели и моделирования. Элементы и этапы процесса моделирования. Виды моделирования. Особенности математического моделирования экономических объектов. Производственно-технологический и социально-экономический уровни экономико-математического моделирования. Особенности экономических наблюдений и измерений. Случайность и неопределенность в экономико-математическом моделировании. Проверка адекватности моделей.
Моделирование в научных исследованиях стало применяться еще в глубокой древности и постепенно захватывало все новые области научных знаний: техническое конструирование, строительство и архитектуру, астрономию, физику, химию, биологию и, наконец, общественные науки. Большие успехи и признание практически во всех отраслях современной науки принес методу моделирования ХХ в. Однако методология моделирования долгое время развивалась независимо отдельными науками. Отсутствовала единая система понятий, единая терминология. Лишь постепенно стала осознаваться роль моделирования как универсального метода научного познания.
Термин "модель" широко используется в различных сферах человеческой деятельности и имеет множество смысловых значений. Рассмотрим только такие "модели", которые являются инструментами получения знаний.
Модель - это такой материальный или мысленно представляемый объект, который в процессе исследования замещает объект-оригинал так, что его непосредственное изучение дает новые знания об объекте-оригинале
Под моделированием понимается процесс построения, изучения и применения моделей. Оно тесно связано с такими категориями, как абстракция, аналогия, гипотеза и др. Процесс моделирования обязательно включает и построение абстракций, и умозаключения по аналогии, и конструирование научных гипотез.
Главная особенность моделирования в том, что это метод опосредованного познания с помощью объектов-заместителей. Модель выступает как своеобразный инструмент познания, который исследователь ставит между собой и объектом и с помощью которого изучает интересующий его объект. Именно эта особенность метода моделирования определяет специфические формы использования абстракций, аналогий, гипотез, других категорий и методов познания.
Необходимость использования метода моделирования определяется тем, что многие объекты (или проблемы, относящиеся к этим объектам) непосредственно исследовать или вовсе невозможно, или же это исследование требует много времени и средств.
Процесс моделирования включает три элемента:
· субъект (исследователь),
· объект исследования,
· модель, опосредствующую отношения познающего субъекта и познаваемого объекта.
Пусть имеется или необходимо создать некоторый объект А. Мы конструируем (материально или мысленно) или находим в реальном мире другой объект В - модель объекта А. Этап построения модели предполагает наличие некоторых знаний об объекте-оригинале. Познавательные возможности модели обуславливаются тем, что модель отражает какие-либо существенные черты объекта-оригинала. Вопрос о необходимости и достаточной мере сходства оригинала и модели требует конкретного анализа. Очевидно, модель утрачивает свой смысл как в случае тождества с оригиналом (тогда она перестает быть оригиналом), так и в случае чрезмерного во всех существенных отношениях отличия от оригинала.
Таким образом, изучение одних сторон моделируемого объекта осуществляется ценой отказа от отражения других сторон. Поэтому любая модель замещает оригинал лишь в строго ограниченном смысле. Из этого следует, что для одного объекта может быть построено несколько "специализированных" моделей, концентрирующих внимание на определенных сторонах исследуемого объекта или же характеризующих объект с разной степенью детализации.
На втором этапе процесса моделирования модель выступает как самостоятельный объект исследования. Одной из форм такого исследования является проведение "модельных" экспериментов, при которых сознательно изменяются условия функционирования модели и систематизируются данные о ее "поведении". Конечным результатом этого этапа является множество знаний о модели.
На третьем этапе осуществляется перенос знаний с модели на оригинал - формирование множества знаний об объекте. Этот процесс переноса знаний проводится по определенным правилам. Знания о модели должны быть скорректированы с учетом тех свойств объекта-оригинала, которые не нашли отражения или были изменены при построении модели. Мы можем с достаточным основанием переносить какой-либо результат с модели на оригинал, если этот результат необходимо связан с признаками сходства оригинала и модели. Если же определенный результат модельного исследования связан с отличием модели от оригинала, то этот результат переносить неправомерно.
Четвертый этап - практическая проверка получаемых с помощью моделей знаний и их использование для построения обобщающей теории объекта, его преобразования или управления им.
Для понимания сущности моделирования важно не упускать из виду, что моделирование - не единственный источник знаний об объекте. Процесс моделирования "погружен" в более общий процесс познания. Это обстоятельство учитывается не только на этапе построения модели, но и на завершающей стадии, когда происходит объединение и обобщение результатов исследования, получаемых на основе многообразных средств познания.
Моделирование - циклический процесс. Это означает, что за первым четырехэтапным циклом может последовать второй, третий и т.д. При этом знания об исследуемом объекте расширяются и уточняются, а исходная модель постепенно совершенствуется. Недостатки, обнаруженные после первого цикла моделирования, обусловленные малым знанием объекта и ошибками в построении модели, можно исправить в последующих циклах. В методологии моделирования, таким образом, заложены большие возможности саморазвития.
Большинство объектов, изучаемых экономической наукой, может быть охарактеризовано кибернетическим понятием сложная система.
Наиболее распространено понимание системы как совокупности элементов, находящихся во взаимодействии и образующих некоторую целостность, единство. Важным качеством любой системы является эмерджентность - наличие таких свойств, которые не присущи ни одному из элементов, входящих в систему. Поэтому при изучении систем недостаточно пользоваться методом их расчленения на элементы с последующим изучением этих элементов в отдельности. Одна из трудностей экономических исследований – в том, что почти не существует экономических объектов, которые можно было бы рассматривать как отдельные (внесистемные) элементы.
Сложность системы определяется количеством входящих в нее элементов, связями между этими элементами, а также взаимоотношениями между системой и средой. Экономика страны обладает всеми признаками очень сложной системы. Она объединяет огромное число элементов, отличается многообразием внутренних связей и связей с другими системами (природная среда, экономика других стран и т.д.). В народном хозяйстве взаимодействуют природные, технологические, социальные процессы, объективные и субъективные факторы.
Сложность экономики иногда рассматривалась как обоснование невозможности ее моделирования, изучения средствами математики. Но такая точка зрения в принципе неверна. Моделировать можно объект любой природы и любой сложности. И как раз сложные объекты представляют наибольший интерес для моделирования; именно здесь моделирование может дать результаты, которые нельзя получить другими способами исследования.
Потенциальная возможность математического моделирования любых экономических объектов и процессов не означает, разумеется, ее успешной осуществимости при данном уровне экономических и математических знаний, имеющейся конкретной информации и вычислительной технике. И хотя нельзя указать абсолютные границы математической формализуемости экономических проблем, всегда будут существовать еще неформализованные проблемы, а также ситуации, где математическое моделирование недостаточно эффективно.
Уже длительное время главным тормозом практического применения математического моделирования в экономике является наполнение разработанных моделей конкретной и качественной информацией. Точность и полнота первичной информации, реальные возможности ее сбора и обработки во многом определяют выбор типов прикладных моделей. С другой стороны, исследования по моделированию экономики выдвигают новые требования к системе информации.
В зависимости от моделируемых объектов и назначения моделей используемая в них исходная информация имеет существенно различный характер и происхождение. Она может быть разделена на две категории: о прошлом развитии и современном состоянии объектов (экономические наблюдения и их обработка) и о будущем развитии объектов, включающую данные об ожидаемых изменениях их внутренних параметров и внешних условий (прогнозы). Вторая категория информации является результатом самостоятельных исследований, которые также могут выполняться посредством моделирования.
Методы экономических наблюдений и использования результатов этих наблюдений разрабатываются экономической статистикой. Поэтому стоит отметить только специфические проблемы экономических наблюдений, связанные с моделированием экономических процессов.
В экономике многие процессы являются массовыми; они характеризуются закономерностями, которые не обнаруживаются на основании лишь одного или нескольких наблюдений. Поэтому моделирование в экономике должно опираться на массовые наблюдения.
Другая проблема порождается динамичностью экономических процессов, изменчивостью их параметров и структурных отношений. Вследствие этого экономические процессы приходится постоянно держать под наблюдением, необходимо иметь устойчивый поток новых данных. Поскольку наблюдения за экономическими процессами и обработка эмпирических данных обычно занимают довольно много времени, то при построении математических моделей экономики требуется корректировать исходную информацию с учетом ее запаздывания.
Познание количественных отношений экономических процессов и явлений опирается на экономические измерения. Точность измерений в значительной степени предопределяет и точность конечных результатов количественного анализа посредством моделирования. Поэтому необходимым условием эффектного использования математического моделирования является совершенствование экономических измерителей. Применение математического моделирования заострило проблему измерений и количественных сопоставлений различных аспектов и явлений социально-экономического развития, достоверности и полноты получаемых данных, их защиты от намеренных и технических искажений.
В процессе моделирования возникает взаимодействие "первичных" и "вторичных" экономических измерителей. Любая модель народного хозяйства опирается на определенную систему экономических измерителей (продукции, ресурсов, элементов и т.д.). В то же время одним из важных результатов народнохозяйственного моделирования является получение новых (вторичных) экономических измерителей - экономически обоснованных цен на продукцию различных отраслей, оценок эффективности разнокачественных природных ресурсов, измерителей общественной полезности продукции. Однако эти измерители могут испытывать влияние недостаточно обоснованных первичных измерителей, что вынуждает разрабатывать особую методику корректировки первичных измерителей для хозяйственных моделей.
С точки зрения "интересов" моделирования экономики в настоящее время наиболее актуальными проблемами совершенствования экономических измерителей являются: оценка результатов интеллектуальной деятельности (особенно в сфере научно-технических разработок, индустрии информатики), построение обобщающих показателей социально-экономического развития, измерение эффектов обратных связей (влияние хозяйственных и социальных механизмов на эффективность производства).
Для методологии планирования экономики важное значение имеет понятие неопределенности экономического развития. В исследованиях по экономическому прогнозированию и планированию различают два типа неопределенности: "истинную", обусловленную свойствами экономических процессов, и "информационную", связанную с неполнотой и неточностью имеющейся информации об этих процессах. Истинную неопределенность нельзя смешивать с объективным существованием различных вариантов экономического развития и возможностью сознательного выбора среди них эффективных вариантов. Речь идет о принципиальной невозможности точного выбора единственного (оптимального) варианта.
В развитии экономики неопределенность вызывается двумя основными причинами. Во-первых, ход планируемых и управляемых процессов, а также внешние воздействия на эти процессы не могут быть точно предсказуемы из-за действия случайных факторов и ограниченности человеческого познания в каждый момент. Особенно характерно это для прогнозирования научно-технического прогресса, потребностей общества, экономического поведения. Во-вторых, общего сударственное планирование и управление не только не всеобъемлющи, но и не всесильны, а наличие множества самостоятельных экономических субъектов с особыми интересами не позволяет точно предвидеть результаты их взаимодействий. Неполнота и неточность информации об объективных процессах и экономическом поведении усиливают истинную неопределенность.
На первых этапах исследований по моделированию экономики применялись в основном модели детерминистского типа. В этих моделях все параметры предполагаются точно известными. Однако детерминистские модели неправильно понимать в механическом духе и отождествлять их с моделями, которые лишены всех "степеней выбора" (возможностей выбора) и имеют единственное допустимое решение. Классическим представителем жестко детерминистских моделей является оптимизационная модель народного хозяйства, применяемая для определения наилучшего варианта экономического развития среди множества допустимых вариантов.
В результате накопления опыта использования жестко детерминистских моделей были созданы реальные возможности успешного применения более совершенной методологии моделирования экономических процессов, учитывающих стохастику и неопределенность. Здесь можно выделить два основных направления исследований. Во-первых, усовершенствуется методика использования моделей жестко детерминистского типа: проведение многовариантных расчетов и модельных экспериментов с вариацией конструкции модели и ее исходных данных; изучение устойчивости и надежности получаемых решений, выделение зоны неопределенности; включение в модель резервов, применение приемов, повышающих приспособляемость экономических решений к вероятным и непредвидимым ситуациям. Во-вторых, получают распространение модели, непосредственно отражающие стохастику и неопределенность экономических процессов и использующие соответствующий математический аппарат: теорию вероятностей и математическую статистику, теорию игр и статистических решений, теорию массового обслуживания, стохастическое программирование, теорию случайных процессов.
Сложность экономических процессов и явлений и другие отмеченные выше особенности экономических систем затрудняют не только построение математических моделей, но и проверку их адекватности, истинности получаемых результатов.
В естественных науках достаточным условием истинности результатов моделирования и любых других форм познания является совпадение результатов исследования с наблюдаемыми фактами. Категория "практика" совпадает здесь с категорией "действительность". В экономике и других общественных науках понимаемые таким образом принцип "практика - критерий истины" в большей степени применим к простым дескриптивным моделям, используемым для пассивного описания и объяснения действительности (анализа прошлого развития, краткосрочного прогнозирования неуправляемых экономических процессов и т.п.).
Однако главная задача экономической науки конструктивна: разработка научных методов планирования и управления экономикой. Поэтому распространенный тип математических моделей экономики - это модели управляемых и регулируемых экономических процессов, используемые для преобразования экономической действительности. Такие модели называются нормативными. Если ориентировать нормативные модели только на подтверждение действительности, то они не смогут служить инструментом решения качественно новых социально-экономических задач.
Специфика верификации нормативных моделей экономики состоит в том, что они, как правило, "конкурируют" с другими, уже нашедшими практическое применение методами планирования и управления. При этом далеко не всегда можно поставить чистый эксперимент по верификации модели, устранив влияние других управляющих воздействий на моделируемый объект.
Ситуация еще более усложняется, когда ставится вопрос о верификации моделей долгосрочного прогнозирования и планирования (как дескриптивных, так и нормативных). Ведь нельзя же 10-15 лет и более пассивно ожидать наступления событий, чтобы проверить правильность предпосылок модели.
Несмотря на отмеченные усложняющие обстоятельства, соответствие модели фактам и тенденциям реальной экономической жизни остается важнейшим критерием, определяющим направления совершенствования моделей. Всесторонний анализ выявляемых расхождений между действительностью и моделью, сопоставление результатов по модели с результатами, полученными иными методами, помогают выработать пути коррекции моделей.
Значительная роль в проверке моделей принадлежит логическому анализу, в том числе средствами самого математического моделирования. Такие формализованные приемы верификации моделей, как доказательство существования решения в модели, проверка истинности статистических гипотез о связях между параметрами и переменными модели, сопоставления размерности величин и т.д., позволяют сузить класс потенциально "правильных" моделей.
Внутрення непротиворечивость предпосылок модели проверяется также путем сравнения друг с другом получаемых с ее помощью следствий, а также со следствиями "конкурирующих" моделей.
Оценивая современное состояние проблемы адекватности математических моделей экономике, следует признать, что создание конструктивной комплексной методики верификации моделей, учитывающей как объективные особенности моделируемых объектов, так и особенности их познания, по-прежнему является одной из наиболее актуальных задач экономико-математических исследований.
Основы оптимального управления. Экономические процессы и их формализованное представление. Управление и управляющие воздействия. Общая постановка задачи оптимального управления.
Рассмотрим общую постановку задачи оптимизации экономических систем. Пусть имеется система, состояние которой может измениться в результате некоторого количества управляющих воздействий. Задавая эти воздействия, можно получить определенный процесс изменения состояния системы. При этом возникают две задачи: первая предполагает выбор таких воздействий на систему, чтобы происходящий процесс удовлетворял заданным условиям, такие процессы принято называть допустимыми), вторая задача - выбор из этого множества допустимых процессов наилучшего (оптимального) процесса.
Чтобы решать оптимизационные задачи с помощью математических методов, нужно сформулировать на математическом языке рассматриваемые процессы, ограничения, накладываемые на состояние системы и управляющие воздействия, а так же записать математические модели, описывающие эти процессы.
Введем некоторые понятия и обозначения. Рассмотрим множество М
с элементами v
, где v
- пары вида v
=(x
, у),
,
,
- некоторые заданные множества. Проекцией множества М
на множество Х
назовем подмножество Мx
,
обладающее тем свойством, что для каждого
существует такой элемент
, что пара
содержится в множестве М.
Введем понятие сечения Мx
множества М
при данном x. Сечением Мx
будем называть множество всех y
, при которых пара
принадлежит множеству М.
Введем понятие функционала, являющегося одним из главных в задачах оптимального управления. Будем говорить, что на множестве М
задан функционал F
, если известно правило, которое каждому элементу
ставит в соответствие определенное действительное число F
(v
).
В общем виде задача оптимизации формулируется как задача отыскания минимального (или максимального) значения функционала F
(v
) на множестве М.
Предположим, что требуется минимизировать функционал F
(v
) на множестве М.
Если решение этой задачи существует (обозначим его через
), то
называется оптимальным элементом множества M
, а величина
- оптимальным значением функционала. Решения поставленной задачи F
и
будем записывать следующим образом:
.
Аналогично формулируется задача о нахождении максимального значения функционала.
Введем понятия точной нижней и верхней границы функционала. Точной нижней границей функционала
на множестве М
назовем такое число т,
если:
1)
для любого
;
2) существует последовательность
, на которой
.
Точная нижняя граница функционала обозначается
.
Последовательность {vs
} называется минимизирующей последовательностью.
Точно так же определяется точная верхняя граница n
функционала
:
Назовем функционал
ограниченным снизу (сверху) на множестве М, если существует такое число A
, что при всех
(
). Если функционал является ограниченным снизу (сверху), то решение задачи о нахождении его точной нижней (верхней) границы существует, т. е. имеет место следующая теорема (приведем без доказательства): Пусть на множестве М задан ограниченный снизу функционал
. Тогда реализуется одна из двух возможностей:
1) Существуют элемент
и число
, при которых
и
при всех
.
2) Существуют последовательность
элементов множества М и число
, удовлетворяющее условиям
,
и
при всех
.
Данная теорема имеет важное значение для понимания сущности задачи оптимизации по двум причинам. Во-первых, она говорит о том, что постановка задачи об отыскании наименьшего (наибольшего) значения ограниченного снизу (сверху) функционала имеет смысл. Во-вторых, она объясняет природу решения такой задачи. А именно: решением будет либо определенный элемент
множества М, минимизирующий (максимизирующий) функционал
, либо последовательность
элементов множества М,
являющаяся минимизирующей (максимизирующей) последовательностью. В первом случае можно говорить о точном решении задачи, а во втором - о приближенном.
Задачи оптимизации управляемых процессов (оптимального управления) являются частными по отношению к сформулированной выше общей задаче оптимизации. Рассмотрим постанову задач оптимального управления.
Введем некоторые понятия.
Важнейшими из них являются понятия состояния системы и управления. Будем рассматривать системы, состояние которых может быть в любой момент времени определено вектором х n
-мерного пространства с координатами 
.
Пространство Х
будем называть пространством состояний системы.
Так как система изменяется во времени, то ее поведение можно описать последовательностью состояний. Такую последовательность системы
называют ее траекторией.
Переменная t
(называется аргументом процесса) может быть некоторым отрезком числовой прямой (
) или отрезком натурального ряда (
). В первом случае процесс, происходящий в системе, называется непрерывным, во втором случае - многошаговым, а системы - соответственно непрерывными и дискретными.
Изменение состояния системы, т. е. процесс в ней, может происходить в результате управляющих воздействий. Будем рассматривать системы, управляющие воздействия в которых моделируются с помощью элементов r
-мерного пространства U:
,
.
Управляющие воздействия могут задаваться в виде функций от t,
т.е.
.
На допустимые состояния системы
и управления
могут быть наложены ограничения. Рассмотрим множество троек
- совокупность
- мерных векторов в пространстве
. Тогда ограничения на состояние системы и управление в самом общем случае могут быть записаны в виде
,
где
- некоторая область (подмножество) рассматриваемого
- мерного пространства. Ограничения на величины
,
в каждый фиксированный момент времени t
могут быть заданы и в виде
,
где Vt
-
сечение множества V
при заданном значении t
.
Пару функций
назовем процессом. Между функциями
имеется связь: как только задано управление
системой, последовательность ее состояний (траектория системы)
определяется однозначно. Связь между
и
моделируется по-разному в зависимости от того, является система непрерывной или дискретной.
Для непрерывных систем модели процессов задаются системой дифференциальных уравнений вида
,
или в векторной форме
. (4.2.1)
Пусть задано состояние, в котором система находилась в начальный момент
.
Для простоты этот момент примем равным нулю, а момент окончания процесса
- равным Т.
Тогда аргумент процесса t
изменяется в пределах
, а начальным состоянием системы будет вектор
, (4.2.2)
где
- начальное значение i
-й координаты вектора состояния системы.
Проанализируем, каким образом модель отражает связь между управлениями и состоянием системы, изменяющимся под их воздействием. Пусть на промежутке
задано управление
. Подставляя его в правую часть системы (4.2.3), получим
(4.2.3)
Имеем систему дифференциальных уравнений относительно неизвестной функции
. Решая ее с учетом начальных условий (4.2.2), получим
. Это решение и есть траектория, отвечающая заданному управлению
.
Модель дискретной управляемой системы имеет вид системы рекуррентных уравнений:
,
.
В векторной форме эту модель можно записать в виде
,
(4.2.4)
Здесь t
принимает значение
. Начальное значение
будем считать известным.
В дискретной системе, как и в непрерывной, задание управляющих воздействий
при
позволяет однозначно определить отвечающую им траекторию системы. При подстановке значения u(t)
в правую часть (4.2.4) получаем систему уравнений, которая позволяет при известном значении состояния
в момент времени t
определить состояние
в следующий момент времени. Так как в начальный момент
состояние
известно, то, подставив его в правую часть (4.2.4), получим
.
Подставляя затем найденное значение
и
в (4.2.4), так же найдем значение
. Продолжая этот процесс, через Т
шагов получим последнее искомое значение
.
Таким образом, и в дискретном случае уравнения модели (4.2.4) позволяют однозначно определить траекторию системы
, если задано управление
.
Следовательно, процесс
должен удовлетворять следующим ограничениям:
1)
при всех
;
2) Пара
удовлетворяет системе уравнений процесса:
а) системе (4.2.1) в непрерывном случае при
;
б) системе (4.2.4) в дискретном случае при
;
3) Заданы начальные условия (4.2.2);
4) В непрерывном случае на функции
,
накладываются некоторые дополнительные ограничения, связанные с применимостью употребляемых здесь математических записей. Функцию
будем считать кусочно-непрерывной, а вектор-функцию
- непрерывной и кусочно-дифференцируемой.
Процессы
, удовлетворяющие условиям 1) – 4), будем называть допустимыми. Таким образом, допустимый процесс - это управляющие воздействия
и соответствующая им траектория системы
, удовлетворяющие перечисленным ограничениям.
Для постановки оптимизационной задачи необходимо ввести в рассмотрение функционал F,
заданный на множестве М.
Задача оптимального управления будет состоять в выборе элемента
множества M
, на котором функционал F
достигает минимального значения. Такой процесс называют оптимальным процессом, управление
- оптимальным управлением, а траекторию
оптимальной траекторией.
Функционал F
, заданный на множестве допустимых процессов, описывает цель, согласно которой оптимизируется процесс.
В задачах оптимального управления для непрерывных систем будем рассматривать функционалы следующего вида:
, (4.2.5)
где
;
- заданные функции. Выражение (4.2.5) позволяет вычислить для каждого допустимого процесса
определенное значение и тем самым задать функционал на множестве допустимых процессов. Для этого необходимо подставить x(t),
вместо аргументов функции
, которая становится функцией времени, после чего вычислить ее интеграл. Затем к значению интеграла прибавляем значение функции
при
.
Функционал
состоит из двух частей:
и
. Первое из этих слагаемых оценивает качество процесса на
на всем промежутке
, второе слагаемое - качество конечного состояния системы. Иногда в задачах оптимального управления конечное состояние системы
задается. В этом случае второе слагаемое функционала (4.2.5) есть величина постоянная и, следовательно, не влияет на его минимизацию. Такие задачи называются задачами с фиксированным правым концом траектории.
Для задач оптимизации в дискретных системах функционал имеет вид
. (4.2.6)
К функционалу (4.2.6) относятся все замечания и комментарии, сделанные к функционалу (4.2.5).
Таким образом задача оптимизации управляемых процессов сводится к постановке задачи о минимуме функционала (4.2.5) в непрерывном и (4.2.6) в дискретном случае на множестве М
допустимых процессов
, удовлетворяющих ограничениям 1)-4).
Эта задача может решаться в двух вариантах:
1. Определить оптимальный процесс
, чтобы
;
2. Определить минимизирующую последовательность
, чтобы
.
В теории оптимального управления термины «состояние» и «управление» имеют содержательный смысл. Он заключается в том, что, задавая управление
, мы задаем и траекторию процесса
, а изменяя управляющие воздействия
- «управляем» процессом.
Из условия
можно выделить ограничения на состояние и управление:
,
, (4.2.7)
где
- проекция множества
на пространство X;
-
сечение множества
при данном
В задачах оптимального управления область
возможных состояний часто является постоянной или совпадает со всем пространством, а область
возможных управлений не зависит от x.
Эти предположения выполняются в большом числе практических случаев, что упрощает решение задачи.
Выше предполагалось, что промежуток времени
фиксирован, т. е. задан момент Т
окончания процесса. Однако возможны постановки задач, где этот момент не задан, а определяется решением задачи. Это относится, в частности, к так называемым задачам о быстродействии, когда требуется перевести систему (4.2.4) из заданного начального состояния х(0)=х0
в заданное конечное состояние
, минимизируя при этом время
протекания процесса.
Классификация экономико-математических моделей. Примеры.
Математические модели экономических процессов и явлений более кратко можно назвать экономико-математическими моделями. Для классификации этих моделей используются разные основания.
По целевому назначению экономико-математические модели делятся на теоретико-аналитические, используемые в исследованиях общих свойств и закономерностей экономических процессов, и прикладные, применяемые в решении конкретных экономических задач (модели экономического анализа, прогнозирования, управления).
Экономико-математические модели могут предназначаться для исследования разных сторон народного хозяйства (в частности, его производственно-технологической, социальной, территориальной структур) и его отдельных частей. При классификации моделей по исследуемым экономическим процессам и содержательной проблематике можно выделить модели народного хозяйства в целом и его подсистем - отраслей, регионов и т.д., комплексы моделей производства, потребления, формирования и распределения доходов, трудовых ресурсов, ценообразования, финансовых связей и т.д.
Остановимся более подробно на характеристике таких классов экономико-математических моделей, с которыми связаны наибольшие особенности методологии и техники моделирования.
В соответствии с общей классификацией математических моделей они подразделяются на функциональные и структурные, а также включают промежуточные формы (структурно-функциональные). В исследованиях на народнохозяйственном уровне чаще применяются структурные модели, поскольку для планирования и управления большое значение имеют взаимосвязи подсистем. Типичными структурными моделями являются модели межотраслевых связей. Функциональные модели широко применяются в экономическом регулировании, когда на поведение объекта ("выход") воздействуют путем изменения "входа". Примером может служить модель поведения потребителей в условиях товарно-денежных отношений. Один и тот же объект может описываться одновременно и структурой, и функциональной моделью. Так, например, для планирования отдельной отраслевой системы используется структурная модель, а на народнохозяйственном уровне каждая отрасль может быть представлена функциональной моделью.
Выше уже показывались различия между моделями дескриптивными и нормативными. Дескриптивные модели отвечают на вопрос: как это происходит? или как это вероятнее всего может дальше развиваться?, т.е. они только объясняют наблюдаемые факты или дают вероятный прогноз. Нормативные модели отвечают на вопрос: как это должно быть?, т.е. предполагают целенаправленную деятельность. Типичным примером нормативных моделей являются модели оптимального планирования, формализующие тем или иным способом цели экономического развития, возможности и средства их достижения.
Применение дескриптивного подхода в моделировании экономики объясняется необходимостью эмпирического выявления различных зависимостей в экономике, установления статистических закономерностей экономического поведения социальных групп, изучения вероятных путей развития каких-либо процессов при неизменяющихся условиях или протекающих без внешних воздействий. Примерами дескриптивных моделей являются производственные функции и функции покупательского спроса, построенные на основе обработки статистических данных.
Является ли экономико-математическая модель дескриптивной или нормативной, зависит не только от ее математической структуры, но от характера использования этой модели. Например, модель межотраслевого баланса дескриптивна, если она используется для анализа пропорций прошлого периода. Но эта же математическая модель становится нормативной, когда она применяется для расчетов сбалансированных вариантов развития народного хозяйства, удовлетворяющих конечные потребности общества при плановых нормативах производственных затрат.
Многие экономико-математические модели сочетают признаки дескриптивных и нормативных моделей. Типична ситуация, когда нормативная модель сложной структуры объединяет отдельные блоки, которые являются частными дескриптивными моделями. Например, межотраслевая модель может включать функции покупательского спроса, описывающие поведение потребителей при изменении доходов. Подобные примеры характеризуют тенденцию эффективного сочетания дескриптивного и нормативного подходов к моделированию экономических процессов. Дескриптивный подход широко применяется в имитационном моделировании.
По характеру отражения причинно-следственных связей различают модели жестко детерминистские и модели, учитывающие случайность и неопределенность. Необходимо различать неопределенность, описываемую вероятностными законами, и неопределенность, для описания которой законы теории вероятностей неприменимы. Второй тип неопределенности гораздо более сложен для моделирования.
По способам отражения фактора времени экономико-математические модели делятся на статические и динамические. В статических моделях все зависимости относятся к одному моменту или периоду времени. Динамические модели характеризуют изменения экономических процессов во времени. По длительности рассматриваемого периода времени различаются модели краткосрочного (до года), среднесрочного (до 5 лет), долгосрочного (10-15 и более лет) прогнозирования и планирования. Само время в экономико-математических моделях может изменяться либо непрерывно, либо дискретно.
Модели экономических процессов чрезвычайно разнообразны по форме математических зависимостей. Особенно важно выделить класс линейных моделей, наиболее удобных для анализа и вычислений и получивших вследствие этого большое распространение. Различия между линейными и нелинейными моделями существенны не только с математической точки зрения, но и в теоретико-экономическом отношении, поскольку многие зависимости в экономике носят принципиально нелинейный характер: эффективность использования ресурсов при увеличении производства, изменение спроса и потребления населения при увеличении производства, изменение спроса и потребления населения при росте доходов и т.п. Теория "линейной экономики" существенно отличается от теории "нелинейной экономики". От того, предполагаются ли множества производственных возможностей подсистем (отраслей, предприятий) выпуклыми или же невыпуклыми, существенно зависят выводы о возможности сочетания централизованного планирования и хозяйственной самостоятельности экономических подсистем.
По соотношению экзогенных и эндогенных переменных, включаемых в модель, они могут разделяться на открытые и закрытые. Полностью открытых моделей не существует; модель должна содержать хотя бы одну эндогенную переменную. Полностью закрытые экономико-математические модели, т.е. не включающие экзогенных переменных, исключительно редки; их построение требует полного абстрагирования от "среды", т.е. серьезного огрубления реальных экономических систем, всегда имеющих внешние связи. Подавляющее большинство экономико-математических моделей занимает промежуточное положение и различаются по степени открытости (закрытости).
Для моделей народнохозяйственного уровня важно деление на агрегированные и детализированные.
В зависимости от того, включают ли народнохозяйственные модели пространственные факторы и условия или не включают, различают модели пространственные и точечные.
Таким образом, общая классификация экономико-математических моделей включает более десяти основных признаков. С развитием экономико-математических исследований проблема классификации применяемых моделей усложняется. Наряду с появлением новых типов моделей (особенно смешанных типов) и новых признаков их классификации осуществляется процесс интеграции моделей разных типов в более сложные модельные конструкции.
В виде примеров можно привести простейшие модели – транспортная задача, задача распределения ресурсов, и прочее.
Дескриптивные модели представляют собой в основном статистические модели (кривые роста, регрессионные линии), предназначенные для исследования объектов путем установления количественных соотношений между их характеристиками или параметрами.
Примеры
:
1. Требуется определить зависимость потребления бытовых услуг от уровня дохода населения, обеспеченности бытовыми предметами на душу населения и других факторов потребления. Для этого составляют регрессионное уравнение
где Y
– потребление бытовых услуг на душу населения;
- факторы потребления;
- коэффициенты уравнения. Если известны коэффициенты, то зависимость потребления бытовых услуг от принятых факторов считается определенной. Она отражает реальную ситуацию только в среднем, или в статистическом смысле.
2. Требуется определить количество заместителей директора для типовых структур управления предприятием. В этом случае проводят статистическое исследование численности указанной категории работников на существующих предприятиях и выводят степенное уравнение. При определенной специализации количество заместителей директора определяют по формуле
,
где
- численность промышленного персонала;
- основные и оборотные фонды.
Модели без управления применяются для изучения фактически существующих процессов, без вмешательства в их течение. К моделям без управления принадлежат модели экономики страны, расширенного воспроизводства, прогнозирования рождаемости, численности населения и т.д. Как правило, они дают общее представление об объекте. Процессы в моделируемом объекте отображаются в агрегированном виде и максимально обобщены. Поэтому модели без управления не дают полного представления об объекте моделирования и пригодны для изучения только самых общих изменений и тенденций. Модели без управления позволяют изучать явления в целом, комплексно и устанавливают общие фундаментальные свойства объектов и процессов.
Оптимизационные модели.
Их появление и применение вызвано необходимостью решения практических задач экономики и техники. Особенностью оптимизационных моделей является целенаправленность решения и явная оценка эффективности (качества) различных вариантов решения. В отличие от моделей без управления оптимизационные модели предполагают выявление цели управления и построение целевой функции.
Суть получения оптимального решения на модели заключается в выборе из множества возможных решений одного, обеспечивающего максимальную эффективность.
Задача об оптимальной перевозке грузов (транспортная задача)
. Пусть осуществляется производство некоторого товара в пунктах
. Объем производства товара в каждом пункте равен соответственно
. Товар необходимо доставить в магазины или потребителям, находящимся в других населенных пунктах:
. Известна потребность каждого потребителя в товаре:
. Задана также стоимость
транспортировки товара из каждого пункта производства
каждому потребителю
. Требуется составить план завоза товара в магазины, обеспечивающий удовлетворение их спроса при минимальных транспортных издержках.
Транспортная задача
Пусть необходимо перевезти некоторые партии товара из трех складов четырем покупателям, при этом известен объем товара на каждом складе и требуемое количество для каждого покупателя, также в таблице указаны стоимости перевозки от каждого склада к каждому покупателю. Найти оптимальный по цене план перевозок.
| 14 |
28 |
21 |
28 |
27 |
| 10 |
17 |
15 |
24 |
20 |
| 14 |
30 |
25 |
21 |
43 |
| 33 |
13 |
27 |
17 |
Построение оптимального плана, методом северо-западного угла
14
27
|
28 |
21 |
28 |
27 |
10
6
|
17
13
|
15
1
|
24 |
20 |
| 14 |
30 |
25
26
|
21
17
|
43 |
| 33 |
13 |
27 |
17 |
Расчет потенциалов
если
.
| 0 |
7 |
5 |
1 |
| -14 |
14
27
|
28
21
|
21
19
|
28
15
|
27 |

-10
|
10
6
|
17
13
|
15
1
|
24
11
|
20 |
|
-20
|
14
20
|
30
27
|
25
26
|
21
17
|
43 |
| 33 |
13 |
27 |
17 |
Полученную разность потенциалов можно трактовать как увеличение цены продукта при перевозке из пункта i
в пункт j
. По критерию оптимальности, если потенциалы в нулевых клетках меньше цен на перевозку, то план оптимален. Иначе план может быть улучшен.
За основу преобразования обычно берется клетка с максимальной разностью.
| 0 |
13 |
11 |
7 |

-14
|
14
27
|
28
27
|
21
25
|
28
21
|
27 |
| -4 |
10
4
|
17
13
|
15
6
|
24
11
|
20 |
|
-14
|
14
6
|
30
27
|
25
20
|
21
17
|
43 |
| 33 |
13 |
27 |
17 |
Данный план тоже не оптимален: клетка (1,3)
| 0 |
9 |
7 |
7 |

-14
|
14
7
|
28
23
|
21
20
|
28
21
|
27 |
| -8 |
10
8
|
17
13
|
15
7
|
24
15
|
20 |
|
-14
|
14
26
|
30
23
|
25
10
|
21
17
|
43 |
| 33 |
13 |
27 |
17 |
По данному плану вычисляется оптимальное (наименьшее) значение суммарных значений на перевозку:
F
=14*7+21*20+17*13+15*7+14*26+21*17=1565
Задача о пользе услуг
. Построим оптимизационную модель, у которой некоторые переменные могут принимать только целые значения. Она называется целочисленной задачей линейного программирования. Допустим, перед человеком стоит вопрос, какими видами бытовых услуг -
- ему следует воспользоваться, чтобы максимально облегчить свой быт (сэкономить время). Предполагается, что сумма денег, которой он располагает равна d
. Можно составить такой список:
Класс оптимизационных моделей очень широк. Приведенные выше задачи относятся к линейному программированию. Существуют также модели динамического программирования, в которых требуется отыскать не одно, а несколько решений, например, решения принимаемые в различные моменты времени; экстремальные модели, позволяющие найти экстремальное значение одного или нескольких параметров объекта; гомеостатические модели, предназначенные для удержания параметров объекта в определенных пределах при наличии каких-либо возмущающих воздействий, и т.д.
Игровые модели.
В некоторых ситуациях оптимизационные модели не могут быть применены непосредственно. В основном в тех ситуациях, когда система содержит подсистемы с разными и отчасти противоречивыми целями. Например, при описании целенаправленной деятельности коллективов людей, принятии политических и экономических решений в условиях неопределенности необходимо анализировать интересы и цели объектов, вступающих в контакт.
Случаи, когда для объекта моделирования характерно наличие противодействующих сил или неопределенности параметров, свойств или поведения, рассматриваются теорией игр. Это теория математических моделей принятия оптимальных решений в условиях конфликта или неопределенности. Под конфликтом следует понимать любое разногласие, возникающее вследствие несовпадения интересов.
Большое значение имеет понятие неопределенности. Рассмотрим на примерах. При моделировании спроса на какой-либо товар могут быть известны только либо верхний и нижний пределы колебания спроса, либо статистическое распределение возможных значений спроса. Тогда в первом случае имеет место статистическая неопределенность, когда неизвестен даже закон распределения событий (значений спроса), а во втором – статистическая неопределенность, соответствующая случаю, при котором нельзя точно назвать значение спроса, хотя закон распределения известен. Неопределенности такого рода могут возникнуть в результате действий конкурента, удовлетворяющих какую-то часть спроса, или вследствие «игры природы» (изменения климатических, социальных и других условий). В любой игре имеются следующие элементы: множество всех игроков
, где i
– произвольный игрок. Всякий игрок имеет в своем распоряжении множество стратегий поведения, или возможных действий,
.
Процесс игры заключается в выборе каждым игроком одной определенной стратегии
, обеспечивающей игроку, например, максимальный выигрыш
. Здесь функция
называется функцией выигрыша
игрока. Таким образом, налицо множество стратегий игроков называемое ситуацией
, в которой каждый игрок или их группа (коалиция) имеет какой-либо выигрыш (проигрыш).
Игры бывают бескоалиционными
, когда целью каждого участника является получение максимального индивидуального выигрыша, и коалиционные
, связанные с обеспечением максимального выигрыша для всей коалиции игроков. Если выигрыш одного игрока равен проигрышу другого при любой стратегии, то игра называется антагонистической
. Если число стратегий одного игрока конечно, то такая игра носит название матричной
.
Основные принципы определения оптимального поведения игроков сводятся к принципам устойчивости
, которые состоят в том, чтобы отклонение от выбранной оптимальной стратегии уменьшает выигрыш игрока. Например, для бескоалиционной игры наилучшая стратегия поведения соответствует принципу равновесия
, при котором ни одному игроку не выгодно менять стратегию, если у остальных игроков остаются неизменными.
Имитационные системы.
Применение оптимизационных и игровых моделей в практических задачах встречает затруднение, когда заходит речь о моделировании «больших систем». К ним относятся социально-экономические системы, характеризуемые большим числом параметров, сложным переплетением интересов, неопределенной структурой и многочисленными целями. Объекты такого типа плохо поддаются формализации и математическому описанию на основе аппарата оптимизационных и игровых моделей. Сложность построения моделей «больших систем» заключается прежде всего в трудности постановки или формулирования задачи моделирования, которая требует комплексного системного описания наиболее важных сторон объекта.
Имитационное моделирование представляет собой систему, состоящую из совокупностей следующих элементов:
· имитационных моделей
, отображающих определенные черты, свойства или части «большой системы» и позволяющих отвечать на вопрос: что будет при данных условиях и принятом решении (прямя задача моделирования)?
· экспертов и экспертных процедур
, необходимых для анализа и оценки различных решений, исключения заведомо слабых решений, построения «сценариев» развития событий, выработки целей и критериев;
· «языков ЭВМ»
, на основе которых осуществляется двусторонний контакт экспертов с ЭВМ. Эксперт задает исходные данные, меняет структуру моделей, формулирует вопросы ЭВМ при помощи специальных языков моделирования.
Имитационные модели представляют собой программы для компьютера, описывающие поведение компонентов системы и взаимодействие между ними. Расчеты при различных исходных данных позволяют имитировать динамические процессы, происходящие в реальной систем.
Математический аппарат, используемый для построения имитационных моделей, может быть самым разнообразным, например, теория массового обслуживания, теория агрегативных систем, теория автоматов, теория дифференциальных уравнений и т.д. Имитационные модели обычно требуют статистической обработки результатов моделирования, поэтому в основу всякой имитации входят методы теории вероятностей и математической статистики.
Экспертные процедуры используют коллективный опыт людей и предназначены для усреднения мнений и получения объективной оценки какого-либо события или явления. Например, для определения пропорций развития отраслевых групп обслуживания экспертам раздают анкеты определенного образца и прелагают ознакомиться со «сценарием» развития сферы обслуживания населения. «Сценарий» представляет собой прогноз определенного рода состояния развития общественных потребностей на длительную перспективу, включая численность населения, его доходы и расходы по статьям затрат, жилищные условия, внедрение в практику новой техники и технологий, совершенствование видов и форм обслуживания и т.п.
После ознакомления со «сценарием» эксперты выражают свое мнение в виде баллов. Затем анкеты собирают, и результаты экспертного анализа усредняют по каждой отраслевой группе и нормируют, т.е. баллы по каждой отраслевой группе делят на их общую сумму. Полученные нормированные баллы отражают желаемые пропорции развития отраслевых групп обслуживания. Можно осуществить учет компетентности эксперта, проставив ему соответствующий «вес», аналогичный баллам.
При оценке качества функционирования какой-либо имитационной модели эксперты определяют, какие параметры модели главные, а какие – второстепенные; устанавливают желаемые пределы изменения параметров; осуществляют выбор лучшего варианта модели. В задачи эксперта входит также изменение условий моделирования в тех случаях, когда после проведения модельных экспериментов выявляются новые неучтенные факторы.
Эконометрика. Основные понятия эконометрического моделирования
Под статистическими данными понимают систематизированные и группированные однородные, количественные сведения о реальной экономической деятельности за прошлые периоды времени или результаты многократно проводимых экспериментов и наблюдений. Такие данные играют важную роль в экономико-математическом моделировании, в частности, для
· построения аналитического вида функций, описывающих взаимосвязи между экономическими величинами;
· оценки параметров и проверки адекватности экономико-математических моделей реальным явлениям;
· выявления закономерностей, которым подчиняются экономические явления, и тенденций развития динамических процессов.
На стыке экономической практики и математической статистики в начале 30-х годов зародилась новая самостоятельная дисциплина, получившая название "Эконометрика".
Эконометрика - это наука, которая изучает статистические закономерности в экономике.
Методологическая особенность эконометрики заключается в применении достаточно общих гипотез о статистических свойствах экономических параметров и ошибок при их измерении. Полученные при этом результаты могут оказаться нетождественными тому содержанию, которое вкладывается в реальный объект. Поэтому важная задача эконометрики - создание как более универсальных, так и специальных методов для обнаружения наиболее устойчивых характеристик в поведении реальных экономических показателей. Эконометрика разрабатывает методы подгонки формальной модели с целью наилучшего имитирования ею поведения моделируемого объекта на основе гипотезы о том, что отклонения модельных значений параметров от их реально наблюдаемых случайны и вероятностные характеристики их известны.
Математическая статистика является тем универсальным аппаратом, который удачно вписывается в содержание различных эконометрических исследований. Такие ее разделы, как корреляционный и регрессионный анализы, метод наименьших квадратов и прогнозирование, как нельзя лучше подходят для выявления статистических закономерностей в экономике.
Корреляционный анализ позволяет количественно оценить связи между большим числом взаимодействующих экономических явлений как между случайными величинами. Его применение делает возможным проверку различных экономических гипотез о наличии и силе связи между двумя величинами или группой величин. Корреляционный анализ тесно связан с регрессионным анализом, задача которого состоит в экспериментальном определении параметров корреляционных зависимостей (см. §2.5 ) между экономическими показателями путем наблюдения за характером их изменения. Одним из основных методов регрессионного анализа является метод наименьших квадратов, краткое содержание которого было изложено в §2.5. Модели, полученные с помощью регрессионного анализа, позволяют прогнозировать варианты развития экономических процессов и явлений, изучить тенденции изменения экономических показателей, т.е. служат инструментом научно-обоснованных предсказаний. Результаты прогноза являются исходным материалом для постановки реальных экономических целей и задач, для выявления и принятия наилучших управленческих решений, для разработки хозяйственной и финансовой стратегий в будущем.
Как составная часть математической экономики, эконометрика вполне естественно вписывается в общий алгоритм экономико-математических исследований. Эконометрические исследования начинаются после того, как
· определен общий вид математической модели с неизвестными параметрами;
· собраны все необходимые статистические данные, имеющие отношение к оцениваемым параметрам;
· поставлена задача отыскания значений неизвестных параметров, обеспечивающих наилучшее приближение модельных значений к их значениям, наблюдавшимся в действительности.
Эконометрика как раз и занимается методами получения лучших оценок параметров эконометрических моделей, конструируемых в прикладных целях.
Эконометрические модели по сравнению с аналитическими более точны и подробны, не требуют грубых допущений и упрощений, позволяют учесть большое число факторов. Основные их недостатки - громоздкость, плохая обозримость, большой расход машинного времени при их построении и анализе и крайняя трудность поиска оптимальных решений, которые приходится искать "на ощупь", путем догадок и проб (в отличие от более приспособленных к оптимизационным задачам аналитических моделей). Наиболее эффективная методика экономико-математических исследований - это совместное применение аналитических и эконометрических моделей. Аналитическая модель дает возможность в общих чертах разобраться в явлении, наметить как бы контуры основных закономерностей. Уточнение же этих закономерностей - прерогатива эконометрических моделей. С этой точки зрения важная задача эконометрики - проверка теоретико-экономических положений и выводов на фактическом (эмпирическом) материале при помощи методов математической статистики.
В общем случае эконометрическая модель может содержать несколько уравнений, а в каждом уравнении - несколько переменных. Задача оценивания параметров такой разветвленной модели решается с помощью сложных и причудливых методов. Однако все они имеют одну и ту же теоретическую основу. Поэтому для получения начального представления о содержании эконометрических методов мы ограничимся в последующих параграфах рассмотрением простой линейной регрессии. Термин "регрессия" используется для описания природы связи между переменными, а термин "корреляция" - для измерения тесноты связи.
По мере возрастания сложности после статистического анализа, который касается поведения отдельных переменных, идет линейная регрессия с двумя переменными (парная регрессия). Простая линейная регрессия связана с тем, что называется двумерным распределением случайных величин, т.е. распределением двух переменных. Понятно, что использование двух переменных дает большую информацию, нежели одной. Например, доход от продажи товара можно анализировать, используя только данные о доходе на прошлых периодах времени вне связи с другими факторами (статистический анализ). Но мы получим гораздо более богатую информацию, если примем во внимание другие факторы, которые влияют на объем продаж: спрос, цена товара, цена товара-конкурента, период времени, затраты на рекламу и др. Если при этом расходы на рекламу явились бы главным фактором, определяющим объем продаж, то знание вида связи объема продаж и расходов на рекламу было бы весьма полезным для планирования финансовой политики компании. Точно так же нас могут интересовать двумерные распределения объема продаж и цены товара, дохода от продаж и уровня спроса и т.д. Другими примерами линейной регрессии с двумя переменными могли бы быть соотношения между издержками производства и квалификацией рабочих, между качеством продукции и продолжительностью рабочего дня, между весом и возрастом кур и т.д.
Линейную регрессию, как математическую модель, можно использовать для того, чтобы делать какие-то прогнозы или предсказания. Например, любая курица, реальный вес которой значительно отличается от прогнозируемого среднего веса, может быть подвергнута обследованию. В результате последующего анализа могут быть выявлены причины отклонения веса и приняты меры по улучшению рациона питания или изменению режима обслуживания и условий содержания.
Основным недостатком, присущим линейным эконометрическим моделям с двумя переменными, является их неадекватность к реальной действительности. Это вызвано, во-первых, тем, что статистическая (и, в частности, корреляционная) зависимость между экономическими величинами практически никогда не бывает в чистом виде линейной; во-вторых, многие факторы, влияющие на эти две переменные, остаются за пределами модели, т.е. оказываются неучтенными.
Основы системного анализа. Формулировка проблемы. Определение целей. Формирование критериев. Генерирование альтернатив. Выбор. Интерпретации и анализ ожидаемых результатов.
Системный анализ – методология исследования сложных объектов как систем. Эта методология есть эффективным способом решения сложных, не совсем четко сформулированных проблем. В задачах системного анализа любой объект рассматривается не как единое целое, а как система взаимосвязанных частей (объектов), их взаимосвязей и характеристик. Системный анализ можно свести к уточнению сложной проблемы, её структурированности относительно совокупности задач, которые решаются путем детализации целей, построение методов достижения этих целей с помощью экономико-математических и других методов..
Системный анализ, зародившись в недрах общественных и биологических наук, перешел к "освоению" технических наук. Однако системы общественные и социальные, биологические и экологические, технические системы, информационные системы и системы научных знаний - это все же системы с совершенно различными характеристиками и даже с различной терминологией. Вследствие этого формулировки основных положений системного анализа применительно к конкретным классам систем иногда воспринимаются как слишком общие и даже иносказательные; с другой стороны, слишком специальная терминология конкретизирует, но одновременно и сильно сужает область применения выработанных формулировок. По-видимому, все же единственно разумным путем представляется "перевод" основных положений системного анализа с "общего" языка на язык конкретной области знаний, к которой относится исследуемый объект.
Первый шаг системного анализа - представление объекта в виде системы. Следующий шаг - системное исследование объекта в трех аспектах. В табл.2 отражены направления системного исследования и последовательность осуществления его этапов.
Наиболее успешно системный анализ
применяют при изучении комплексных систем сложной структуры. Интуиции, квалификации одного человека, независимо от способностей и опыта, теперь уже недостаточно для управления сложными производственными системами. В дальнейшем руководителю придется решать проблемы не только в масштабе предприятия, но и в масштабе отрасли. Для принятия решений руководителю необходимо опираться на эмпирическую и фактическую информацию. Вместо экстраполяции прошлого опыта, как главного пути для принятия решений, теперь рекомендуется применять математические модели, информационные системы, составляющие основу системного анализа.
Системный анализ имеет сугубо практическую ориентацию. Однако, несмотря на множество различных примеров его удачного применения, пока не полностью разработана его методология. При решении каждой задачи выбирается своя методика, которая базируется на основах наук, законах логики и некоторых специфических процедурах. При этом можно выделить следующие основные особенности системного анализа:
· необходимость составления моделей исследуемой задачи (необязательно математической, можно физической или графической);
· успешное применение его для изучения многофакторных, комплексных систем, когда решения трудно достичь с помощью одного какого-либо раздела науки или простого соединения методов разных дисциплин;
· необходимость точной формулировки задачи: следует точно описать, какого результата, какой цели и при каких ограничениях стремятся достичь при решении задачи;
· постановка и решение проблемы для достижения желаемых результатов должны подчиняться целостному подходу: при решении частей проблемы все время необходимо иметь в виду цель решения всей системы.
Обоснование процесса решения проводится с помощью общей цели системы. Только при этом будет учтено явление синергизма- достижение более высокого результата действия системы по сравнению с аддитивным эффектом, т.е. по сравнению с суммой результатов действия отдельных элементов системы.
Задачи системного анализа можно разделить на две группы: математику и логику.
Математику системного анализа
применяют при решении оптимизационных задач уже четко сформулированных, для чего составляются уравнения, описывающие связи множества переменных ограничений системы. При этом определяются количественные результаты функционирования системы с точки зрения выбранного критерия оптимальности.
Логика
имеет компоненты, связанные с процессом принятия решений, выявлением таких проблем, как определение целей системы, путей их достижения, анализ внешних условий и ограничений.
Цель в системном анализе понимается как антипод проблемы: это то, что надо сделать для снятия проблемы (а решение - то, как это сделать).
Под критерием в системном анализе подразумевается способ сравнения альтернатив, т.е. любой их признак, значение которого можно зафиксировать количественно или качественно. В идеале построение критериев требует создания четкой иерархии целей с определением всех соотношений между ними; реально же может использоваться несколько критериев, описывающих одну цель по-разному и дополняющих друг друга.
При интеграции знаний наиболее существенны, на наш взгляд, 2 критерия "хорошей" ("правильной") интеграции:
· интегрировать любую информацию;
· исключать внутренние противоречия.
При моделировании помимо этих критериев следует использовать специфические критерии "хорошей" модели:
· универсальность - возможность описывать любое знание от отдельного факта до философского обобщения;
· связность - наличие закономерных причинных связей между событиями, процессами, явлениями;
· активность - возможность порождения нового знания, например, по схеме: факт - обобщенный факт - эмпирический закон - теоретический закон - новые факты.
Общий алгоритм:
· Определение конфигуратора.
· Постановка проблемы – отправной момент исследования. В исследовании сложной системы ему предшествует работа по структурированию проблемы.
· Расширение проблемы до проблематики, т.е. нахождение системы проблем, существенно связанных с исследуемой проблемой, без учета которых она не может быть решена.
· Выявление целей: цели указывают направление, в котором надо двигаться, чтобы поэтапно решить проблему.
· Формирование критериев. Критерий – это количественное отражение степени достижения системой поставленных перед ней целей. Критерий –это правило выбора предпочтительного варианта решения из ряда альтернативных. Критериев может быть несколько. Многокритериальность является способом повышения адекватности описания цели. Критерии должны описать по возможности все важные аспекты цели, но при этом необходимо минимизировать число необходимых критериев.
· Агрегирование критериев. Выявленные критерии могут быть объединены либо в группы, либо заменены обобщающим критерием.
· Генерирование альтернатив и выбор с использованием критериев наилучшей из них. Формирование множества альтернатив является творческим этапом системного анализа.
· Исследование ресурсных возможностей, включая информационные потоки и ресурсы.
· Выбор формализации (построение и использование моделей и ограничений) для решения проблемы.
· Оптимизация (для простых систем).
· Декомпозиция.
· Наблюдение и эксперименты над исследуемой системой.
· Построение системы.
· Использование результатов проведенного системного исследования.
Основные положения теории систем. Определение системы. Свойства системы. Классификация систем. Модели экономических систем.
Под системой
понимают множество элементов, находящихся в отношениях и связях друг с другом, которое образует определенную целостность, единство. Понятие "система" предполагает рассмотрение объекта как целого, состоящего из совокупности элементов. Представление о системе всегда связывается с такими понятиями, как элемент, целостность, структура, связь, подсистема.
Любую систему можно расчленить (не обязательно единственным способом) на конечное число частей, называемых подсистемами
, каждую из которых в свою очередь, можно разделить на конечное число подсистем более низкого уровня вплоть до получения подсистем первого уровня-элементов системы.
Обычно под элементом системы
понимают объект или процесс, не подлежащий при исследовании дальнейшему расчленению на части.
Под структурой системы
понимают относительно устойчивый порядок внутренних пространственных связей между ее отдельными элементами, определяющий функциональное назначение системы и ее взаимодействие с внешней средой.
Под целостностью системы
понимают принципиальную несводимость свойств системы к сумме свойств составляющих ее элементов.
Связь
- это взаимообусловленность существования явлений, разделенных в пространстве и во времени. Связи могут быть существенными и несущественными. По типу процесса, который определяет связь, они разделяются на связи управления, функционирования и др., а по направлению действия- на прямые и обратные.
В сложных системах
часто обратные связи рассматривают как передачу информации о протекании процесса, на основании которой вырабатываются управляющие воздействия. В этом случае обратные связи называются информационными. Понятие обратной связи как формы взаимодействия играет большую роль в анализе функционирования сложных систем.
Два основных свойства систем:
· целостность системы означает, что комплекс элементов, рассматриваемый в качестве системы, обладает характерными свойствами и поведением, причем свойства системы несводимы к сумме свойств ее элементов;
· делимость системы отражает тот факт, что любой объект можно представить состоящим из элементов. Это значит, что любой объект можно рассматривать как минимум в трех аспектах: как нечто целостное (систему), как часть более общей системы (надсистемы) и как совокупность более мелких частей (элементов, подсистем).
Системы подразделяют на три группы: простые, сложные и очень сложные. Система обувного производства относится к третьей группе- очень сложной. Основными отличительными признаками сложной системы
являются:
· наличие большого количества взаимосвязанных и взаимодействующих между собой элементов;
· сложность функции, выполняемой системой и направленной на достижение заданной цели функционирования;
· возможность разбиения системы на подсистемы, цели функционирования которых, подчинены общей цели функционирования всей системы;
· наличие управления (часто имеющего иерархическую структуру), разветвленной информационной сети и интенсивных потоков информации;
· наличие взаимодействия с внешней средой и функционирование в условиях взаимодействия случайных факторов.
Структура системы - это закономерные устойчивые связи между элементами системы, отражающие пространственное и временное расположение элементов и характер их взаимодействия (или причинно-следственные отношения). При этом заметим, что связи в системе бывают полезные, бесполезные и вредные.
Функция системы - это внешнее проявление свойств системы, определенный способ взаимодействия с окружающей средой. У любой системы много функций; однако почти всегда среди этого множества можно выделить одну, самую существенную в данной системе отношений. Эта функция называется главной полезной функцией (ГПФ) системы.
КЛАССИФИКАЦИЯ СИСТЕМ
Существует много различных подходов к классификации систем. Например, классификация может основываться на сложности системы. В классификации, приведенной ниже, целый ряд более сложных систем опущен, так как не представляет для нас интереса.
1. Морфологические системы. Это системы, которые описываются при помощи сети структурных взаимосвязей (например, типичная организационная схема).
2. Каскадные системы. Они показывают пути прохождения вещества и энергии в системе (например, схема информационных потоков в организации).
3. Системы типа действие - реакция объединяют указанные выше и показывают способ, которым структура привязана к процессу жизнедеятельности (например, наложение информационных потоков на организационную схему).
4. Управляющие системы (transducers)-системы типа 3, в которых основные компоненты контролируются человеком. Мы можем считать некоторую организацию управляющей, или кибернетической, системой, если контроль посредством обратной связи приводит к саморегулированию.
Другой способ классификации основывается на взаимодействии с внешней средой.
1. Изолированная система. Границы такой системы закрыты для экспорта и импорта вещества и энергии (или информации).
2. Закрытая система. Границы ее препятствуют экспорту и импорту вещества, но открыты для энергии (или информации).
3. Открытая система. Такая система обменивается и веществом, и энергией (информацией) с внешней средой. Все управленческие системы являются открытыми, хотя при анализе мы иногда рассматриваем их как закрытые, игнорируя всякое взаимодействие с внешней средой.
Кроме того, мы рассматриваем системы или их окружение как статичное или динамичное в зависимости от скорости изменения их характеристик во времени. Адаптивная система может реагировать на изменения среды способом, соответствующим ее обычным действиям. Конечно, это относится к тем изменениям, которые происходят во внешней среде и не касаются внутренних проблем фирмы. Таким образом, мы говорим о релевантной среде, т. е. о событиях или объектах, не связанных с тем, что происходит внутри системы. Иногда употребляют термин «проблемное окружение». Этот термин уже, чем релевантная окружающая среда, так как охватывает только деятельность покупателей, поставщиков, конкурентов и регламентирующих групп, например правительства.
Экономисты говорят об экономических системах, находящихся в состоянии равновесия, т. е. в состоянии покоя, или отсутствия деятельности. Возможно, к «живым» системам, где переменные скорее остаются в рамках заранее установленных ограничений, чем превращаются в постоянные, больше подходит термин «устойчивые». О системе, которая функционирует в условиях высокой устойчивости, говорят, что она находится в стационарном состоянии (steady state condition).
Экономическая система есть совокупность взаимосвязанных и определенным образом упорядоченных элементов экономики. Вне системного характера экономики не могли бы воспроизводиться (постоянно возобновляться) экономические отношения и институты, не могли бы существовать экономические закономерности, не могло бы сложиться теоретического осмысления экономических явлений и процессов, не могло бы быть скоординированной и эффективной экономической политики.
· Современная рыночная экономика (современный капитализм). По сравнению со всеми рыночная система оказалась наиболее гибкой: она способна перестраиваться, приспосабливаться к изменяющимся внутренним и внешним условиям.
· Традиционная система. В экономически слаборазвитых странах существует традиционная экономическая система. Этот тип экономической системы базируется на отсталой технологии, широком распространении ручного труда, многоукладности экономики.
· Административно-командная система (централизованно-плановая, коммунистическая). Эта система господствовала ранее в СССР, странах Восточной Европы и ряде азиатских государств. В последние годы многие отечественные и зарубежные экономисты в своих работах попытались дать ее обобщенную характеристику. Характерными чертами административно-командной системы являются общественная (а в реальности государственная) собственность практически на все экономические ресурсы, монополизация и бюрократизация экономики в специфических формах, централизованное экономическое планирование как основа хозяйственного механизма.
В случае соединения и переплетения различных форм хозяйства, различных формационных образований, различных цивилизационных систем, а также более сложных сочетаний различных элементов системы можно говорить о смешанных экономических системах (смешанной экономике). Их отличительная особенность — гетерогенность (разнородность) входящих в них элементов.
Шведская модель.
Термин “шведская модель” возник в связи со становлением Швеции как одного из самых развитых в социально-экономическом отношении государств. Он появился в конце 60х годов, когда иностранные наблюдатели стали отмечать успешное сочетание в Швеции быстрого экономического роста с обширной политикой реформ на фоне относительной социальной бесконфликтности в обществе. Этот образ успешной и безмятежной Швеции особенно сильно контрастировали тогда с ростом социальных и политических конфликтов в окружающем мире.
Сейчас этот термин используется в различных значениях и имеет разный смысл в зависимости от того, что в него вкладывается. Некоторые отмечают смешанный характер шведской экономики, сочетающей рыночные отношения и государственное регулирование, преобладающую частную собственность в сфере производства и обобществление потребления.
Другая характерная черта послевоенной Швеции специфика отношений между трудом и капиталом на рынке труда. На протяжении многих десятилетий важной частью шведской действительности была централизованная система переговоров о заключении коллективных договоров в области заработной платы с участием мощных организаций профсоюзов и предпринимателей в качестве главных действующих лиц, причем политика профсоюзов основывалась на принципах солидарности между различными группами трудящихся.
Еще один способ определения шведской модели исходит из того, что в шведской политике явно выделяются две доминирующие цели : полная занятость и выравнивание доходов, что и определяет методы экономической политики. Активная политика на высокоразвитом рынке труда и исключительно большой государственный сектор (при этом имеется в виду прежде всего сфера перераспределения, а не государственная собственность) рассматриваются как результаты этой политики.
Наконец, в самом широком смысле шведская модель это весь комплекс социально-экономических и политических реалий в стране с ее высоким уровнем жизни и широким масштабом социальной политики. Таким образом, понятие “шведская модель” не имеет однозначного толкования.
Шведская модель исходит из положения, что децентрализованная рыночная система производства эффективна, государство не вмешивается в производственную деятельность предприятия, а активная политика на рынке труда должна свести к минимуму социальные издержки рыночной экономики. Смысл состоит в максимальном росте производства частного сектора и как можно большем перераспределении государством части прибыли через налоговую систему и государственный сектор для повышения жизненного уровня населения, но без воздействия на основы производства. При этом упор делается на инфраструктурные элементы и коллективные денежные фонды.
Это привело к очень большой роли государства в Швеции в распределении, потреблении и перераспределении национального дохода через налоги и государственные расходы, достигшие рекордных уровней. В реформистской идеологии такая деятельность получила название “функциональный социализм”.
Американская модель.
Американская модель — это либеральная рыночно-капиталистическая модель, предполагающая приоритетную роль частной собственности, рыночно-конкурентного механизма, капиталистических мотиваций, высокий уровень социальной дифференциации.
Соединенные Штаты Америки - ведущая держава капиталистического мира, обладающая крупнейшим экономическим и научно-техническим потенциалом. Ни в одной другой стране противоречия капитализма не выступают так обнажено и остро, как в США.
Становление и развитие американской модели проходило в идеальных условиях. Это объясняется многими причинами, среди которых можно выделить минимум две: во-первых, США возникли на территории относительно свободной от предшествующих традиций и различных наслоений социального характера. Во-вторых, европейские переселенцы привнесли предпринимательскую активность и инициативу, основанные на укреплявшихся товарно-денежных отношениях в Европе.
Таким образом, американская модель построена на системе всемерного поощрения предпринимательской активности, обогащения наиболее активной части населения. Малообеспеченным группам создается приемлемый уровень жизни за счет частичных льгот и пособий. Задача социального равенства здесь вообще не ставится. Эта модель основана на высоком уровне производительности труда и массовой ориентации на достижение личного успеха
Германская модель. Германская модель — это модель социального рыночного хозяйства, которая расширение конкурентных начал увязывает с созданием особой социальной инфраструктуры, смягчающей недостатки рынка и капитала, с формированием многослойной институциональной структуры субъектов социальной политики.
В германской экономической модели государство не устанавливает экономические цели - это лежит в плоскости индивидуальных рыночных решений, - а создаст надежные правовые и социальные рамочные условия для реализации экономической инициативы. Такие рамочные условия воплощаются в гражданском обществе и социальном равенстве индивидов (равенстве прав, стартовых возможностей и правовой защите). Они фактически состоят из двух основных частей: гражданского и хозяйственного права, с одной стороны, и системы мер по поддержанию конкурентной среды, с другой. Важнейшая задача государства - обеспечивать баланс между рыночной эффективностью и социальной справедливостью. Трактовка государства как источника и защитника правовых норм, регулирующих хозяйственную деятельность, и конкурентных условий не выходит за пределы западной экономической традиции. Но понимание государства в германской модели и, в целом, в концепции социальной рыночной экономики отличается от понимания государства в других рыночных моделях представлением о более активном вмешательстве государства в экономику.
Германская модель характеризуется следующими чертами:
· индивидуальная свобода как условие функционирования рыночных механизмов и децентрализованного принятия решений. В свою очередь, это условие обеспечивается активной государственной политикой поддержания конкуренции;
· социальное равенство - рыночное распределение доходов обусловлено объемом вложенного капитала или количеством индивидуальных усилий, в то время как достижение относительного равенства требует энергичной социальной политики. Социальная политика опирается на поиск компромиссов между группами, имеющими противоположные интересы, а также на прямое участие государства в предоставлении социальных благ, например, в жилищном строительстве;
· антициклическое регулирование;
· стимулирование технологических и организационных инноваций;
· проведение структурной политики;
· защита и поощрение конкуренции. Перечисленные особенности германской модели есть производные от основополагающих принципов социальной рыночной экономики, первым из которых является органическое единство рынка и государства.
Японская модель.
Сегодня достижениями Японии никого не удивишь. Гораздо важнее понять и объяснить причины «японского экономического чуда», или, вернее, феноменального послевоенного рывка Японии, выведшего ее в разряд «экономической сверхдержавы». И хотя в японском рывке немаловажную роль сыграл американский фактор, все же главными оказались собственные усилия нации.
Таким образом, японская модель характеризуется определенным отставанием уровня жизни населения (в том числе уровня заработной платы) от роста производительности труда. За счет этого достигается снижение себестоимости продукции и резкое повышение ее конкурентоспособности на мировом рынке. Препятствий имущественному расслоению не ставится. Такая модель возможна только при исключительно высоком развитии национального самосознания, приоритете интересов нации над интересами конкретного человека, готовности населения идти на определенные материальные жертвы ради процветания страны.
Китайская модель.
Утверждается, что китайская экономика растет так быстро потому, что уровень развития в Китае был низким, а темпы роста слаборазвитых стран выше, чем более развитых стран. Однако исследование среднегодовых темпов роста ВВП на душу населения показывает, что такой закономерности не существует. При одних и тех же душевых показателях ВВП возможен и быстрый рост и глубокое падение. Ни одна другая слаборазвитая страна не имела темпов роста, сколько-нибудь близких к китайским. Более того, темпы роста Китая оказались уникальными для всей мировой экономики. Решающий вклад в ускорение экономического роста внесла структура китайской экономики — низкая доля промышленности и высокая доля сельского хозяйства.
Элементы математической статистики. Выборки и их типы. Статистическое распределение выборки. Эмпирическая функция распределения. Статистические оценки параметров распределения. Эмпирические моменты, асимметрия и эксцесс. Оценки параметров. Выборочные распределения.
Математическая статистика - это раздел математики, посвященный методам сбора, анализа и обработки статистических данных для научных и практических целей.
Статистические данные представляют собой данные, полученные в результате обследования большого числа объектов или явлений; следовательно, математическая статистика имеет дело с массовыми явлениями.
Современная математическая статистика подразделяется на две обширные области: описательную и аналитическую статистику.
Описательная статистика охватывает методы описания статистических данных, представления их в форме таблиц, распределений и пр.
Эти данные могут быть либо количественными (например, измерение роста и веса), либо качественными (например, пол и тип личности).
Аналитическая статистика называется также теорией статистических выводов. Ее предметом является обработка данных, полученных в ходе эксперимента, и формулировка выводов, имеющих прикладное значение для самых различных областей человеческой деятельности.
Теория статистических выводов тесно связана с другой математической наукой - теорией вероятностей, и базируется на ее математическом аппарате.
Планирование и анализ экспериментов представляет собой третью важную ветвь статистических методов, разработанную для обнаружения и проверки причинных связей между переменными.
Экспериментальные данные - это результаты измерения некоторых признаков объектов, выбранных из большой совокупности объектов.
Часть объектов исследования, определенным образом выбранная из более обширной совокупности, называется выборкой
, а исходная совокупность, из которой взята выборка,- генеральной (основной) совокупностью
.
Исследования, в которых участвуют все без исключения объекты, составляющие генеральную совокупность, называются сплошными исследованиями
. Может использоваться выборочный метод
. Суть его в том, что для обследования привлекается лишь выборка из генеральной совокупности, но по результатам этого обследования судят о свойствах всей генеральной совокупности.
Важнейшая характеристика выборки - объем выборки
, т. е. число элементов в ней; его принято обозначать символом n.
Предметом изучения в статистике являются изменяющиеся (варьирующиеся) признаки, которые иногда называются статистическими
. Они делятся на качественные и количественные.
Качественными признаками
объект обладает либо не обладает. Они не поддаются непосредственному измерению (например, спортивная специализация, квалификация, национальность, территориальная принадлежность и т. п.).
Количественные признаки представляют собой результаты подсчета или измерения. В соответствии с этим они делятся на дискретные и непрерывные
.
Эмпирические распределения
представляют собой распределения элементов выборки по значениям изучаемого признака. Построение эмпирических распределений - необходимый этап применения статистических методов.
Можно использовать следующий эвристический принцип - будем считать, что исследуемая нами генеральная совокупность близка к гипотетической генеральной совокупности, состоящей только из значений х
1
,...,xn
, содержащихся в ней в равной пропорции, т.е. случайная величина
близка к случайной величине
, принимающей п
значений х
1
,...,xn
с вероятностями 1/n
(это, действительно, максимум информации о значениях случайной величины и их вероятностях, которую можно извлечь из выборки). Распределение случайной величины
называется эмпирическим распределением случайной величины
, а ее функция распределения
- эмпирической функцией распределения
. Очевидно, что каждой выборке соответствует своя эмпирическая функция распределения, т.е. можно сказать, что
- случайная функция.
представляет собой ступенчатую функцию, возрастающую от 0 до 1 со скачками высотой 1/n
в точках х
1
,...,xn
(очевидно, если некоторое значение повторяется k
раз, то ему будет соответствовать один скачок величиной k
/n).
Можно определить эмпирическую функцию формулой
, где nx
- число значений выборки, не превосходящих х
.
Поскольку эмпирическая функция распределения
является оценкой для F
(x
) (можно доказать, что при
вероятность того, что максимальное расхождение между
и F
(x
) не превзойдет заданного малого числа
, стремится к единице), можно взять характеристики
в качестве оценок характеристик генерального распределения.
Ниже мы приводим полученные таким образом формулы для некоторых выборочных характеристик.
| Название характеристики |
Формула |
Выборочный момент порядка k
|
|
Выборочный центральный момент
Порядка k
|
|
| Выборочное среднее - первый нецентральный момент |
|
Выборочная дисперсия - (см. в главе 2 обоснование деления на n
-1 вместо деления на n
)
|
|
Выборочный коэффициент асимметрии
|
|
Выборочный коэффициент эксцесса
|
|
выборочное среднее = (x1
+ x2
+...+ xn
) / n оценка математического ожидания
медиана = Xk+1
, при n = 2k+1
= (Xk
+Xk+1
) / 2 , при n = 2k
мода такое значение xm
, которое встречается в выборке чаще всего
размах R
= X max
- X min
выборочная дисперсия - оценка дисперсии
среднее квадратичное отклонение S =
- оценка б
Статистической оценкой теоретического распределения называют функцию f(X1,X2,…,Xn) от наблюдаемых С.В. X1,X2,…,Xn. Точечной называют статистическую оценку, которая определяется одним числом - *=f(x1,x2,…,xn), где х1,х2,…,xn – результаты n наблюдений над количественным признаком Х (выборка). Несмещенной называют точечную оценку, мат. ожидание которой равно оцениваемому параметру при любом объеме выборки. Смещенной называют точечную оценку, мат. ожидание которой не равно оцениваемому параметру. Несмещенной оценкой генеральной средней (мат. ожидания) служит выборочная средняя: Хв=(сумма по i от 1 до knixi)/n, где xi – варианта выборки, ni – частота варианты xi, n=сумма по i от 1 до kni – объем выборки. Смещенной оценкой генеральной дисперсии служит выборочная дисперсия: Dв=(сумма по i от 1 до kni(Хi-Xв)*2)/n. Несмещенной оценкой генеральной дисперсии служит исправленная выборочная дисперсия: s*2=n/n-1*Dв=сумма ni(xj – Xв)*2/n-1. Метод моментов точечной оценки неизвестных параметров заданного распределения состоит в приравнивании теоретических моментов соответствующим эмпирическим моментам того же порядка. Если распределение определяется одним параметром, то для его отыскания приравнивают один теоретический момент одному эмпирическому моменту того же порядка. Например, можно приравнять начальный теоретический момент первого порядка начальному эмпирическому моменту первого порядка: v1=M1. Учитывая, что v1=M(X) и М1=Хв, получим М(Х)=Хв. Если распределение определяется двумя параметрами, то приравнивают два теоретических момента двум соответствующим эмпирическим моментам того же порядка. Учитывая, что v1=M(X),M1=Хв,мю=D(X),m2=Dв, имеем систему: М(Х)=Хв, D(X)=Dв.
Метод наибольшего правдоподобия точечной оценки неизвестных параметров заданного распределения сводится к отысканию максимума функции одного или нескольких оцениваемых параметров. Д.С.В. Пусть Х – Д.С.В., которая в результате n опытов приняла возможные значения х1,х2,…,xn. Допустим, что вид закона распределения величины Х задан, но неизвестен параметр -, которым определяется этот закон; требуется найти его точечную оценку -*=- (x1,x2,…,xn). Обозначим вероятность того, что в результате испытания величина Х примет значение xi через р(xi;-). Функцией правдоподобия Д.С.В. Х называют функцию аргумента -: L (x1,x2,…,xn;-)=p(x1;-)*p(x2;-)…p(xn;-). Оценкой наибольшего правдоподобия параметра - называют такое его значение -*, при котором функция правдоподобия достигает максимума. Функции L и lnL достигают максимума при одном и том же значении -, поэтому вместо отыскания максимума функции L ищут, что удобнее, максимум функции lnL. Н.С.В. Пусть Х – Н.С.В., которая в результате n испытаний приняла значения х1,х2,…,xn. Допустим, что вид плотности распределения – функции f(x) – задан, но неизвестен параметр -, которым определяется эта функция. Функцией правдоподобия Н.С.В. Х называют функцию аргумента -: L(x1,x2,…,xn;-)=f(x1;-)*f(x2;-)…f(xn;-).
Интервальной называют оценку, которая определяется двумя числами – концами интервала, покрывающего оцениваемый параметр. Доверительный интервал – это интервал, который с заданной надежностью гамма покрывает заданный параметр. 1. Интервальной оценкой с надежностью гамма мат. ожидания а нормально распределенного количественного признака Х по выборочной средней Хв при известном среднем квадратическом отклонении сигма генеральной совокупности служит доверительный интервал: Хв – t(сигма/корень из n)<a<Хв+t(сигма/корень из n), где t(сигма/корень из n)=дельта – точность оценки, n – объем выборки, t – значение аргумента функции Лапласа Ф(t), при котором Ф(t)=гамма/2; при неизвестном сигма (и объеме выборки n<30) Хв – t гамма (s/корень из n)<a<Хв+t гамма (s/корень из n), где s-исправленное выборочное среднее квадратическое отклонение. 2. Интервальной оценкой (с надежностью гамма) среднего квадратического отклонения сигма нормально распределенного количественного признака Х по «исправленному» выборочному среднему квадратическому отклонению s служит доверительный интервал s(1-q)<сигма<s(1+q), при q<1; 0<сигма<s(1+q), при q>1. 3. Интервальной оценкой ( с надежностью гамма) неизвестной вероятности р биномиального распределения по относительной частоте w служит доверительный интервал ( с приближенными концами р1 и р2).
ряд наблюдений над случайной (будем далее полагать – всегда дискретной) величиной. По этим наблюдениям можно строить таблицы или гистограммы, используя значения соответствующих частот (вместо вероятностей). Такие распределения принято называть выборочными, а сам набор данных наблюдений – выборкой.
Пусть мы имеем такое выборочное распределение некоторой случайной величины X – т.е. для ряда ее значений (вполне возможно неполного, с “пропусками" некоторых допустимых) у нас есть рассчитанные нами же частоты f i .
В большинстве случаев нам неизвестен закон распределения СВ или о его природе у нас имеются догадки, предположения, гипотезы, но значения параметров и моментов (а это неслучайные величины!) нам неизвестны.
Разумеется, частоты fi суть непрерывные СВ и, кроме первой проблемы – оценки распределения X, мы имеем ещё одну – проблему оценки распределения частот.
Существование закона больших чисел, доказанность центральной предельной теоремы поможет нам мало:
· во-первых, надо иметь достаточно много наблюдений (чтобы частоты “совпали” с вероятностями), а это всегда дорого;
· во-вторых, чаще всего у нас нет никаких гарантий в том, что условия наблюдения остаются неизменными, т.е. мы наблюдаем за независимой случайной величиной.
Теория статистики дает ключ к решению подобных проблем, предлагает методы “работы” со случайными величинами. Большинство этих методов появилось на свет как раз благодаря теоретическим исследованиям распределений непрерывных величин.
Проверка статистических гипотез. Уровень значимости. Правило Неймана-Пирсона отбора критериев для простых гипотез. Критерии значимости. Доверительная область. Нормальное распределение. Критерий согласия Пирсона.
Определение 19.1. Статистической гипотезой называют гипотезу о виде неизвестного распределения генеральной совокупности или о параметрах известных распределений.
Определение 19.2. Нулевой (основной) называют выдвинутую гипотезу Н0. Конкурирующей (альтернативной) называют гипотезу Н1, которая противоречит нулевой.
Определение 19.3. Простой называют гипотезу, содержащую только одно предположение, сложной – гипотезу, состоящую из конечного или бесконечного числа простых гипотез.
В результате проверки правильности выдвинутой нулевой гипотезы ( такая проверка называется статистической, так как производится с применением методов математической статистики) возможны ошибки двух видов: ошибка первого рода, состоящая в том, что будет отвергнута правильная нулевая гипотеза, и ошибка второго рода, заключающаяся в том, что будет принята неверная гипотеза.
Замечание. Какая из ошибок является на практике более опасной, зависит от конкретной задачи. Например, если проверяется правильность выбора метода лечения больного, то ошибка первого рода означает отказ от правильной методики, что может замедлить лечение, а ошибка второго рода (применение неправильной методики) чревата ухудшением состояния больного и является более опасной.
Определение 19.4. Вероятность ошибки первого рода называется уровнем значимости α.
Основной прием проверки статистических гипотез заключается в том, что по имеющейся выборке вычисляется значение некоторой случайной величины, имеющей известный закон распределения.
Определение 19.5. Статистическим критерием называется случайная величина К с известным законом распределения, служащая для проверки нулевой гипотезы.
Определение 19.6. Критической областью называют область значений критерия, при которых нулевую гипотезу отвергают, областью принятия гипотезы – область значений критерия, при которых гипотезу принимают.
Итак, процесс проверки гипотезы состоит из следующих этапов:
· выбирается статистический критерий К;
· вычисляется его наблюдаемое значение Кнабл по имеющейся выборке;
· поскольку закон распределения К известен, определяется (по известному уровню значимости б) критическое значение kкр, разделяющее критическую область и область принятия гипотезы (например, если р(К > kкр) = б, то справа от kкр располагается критическая область, а слева – область принятия гипотезы);
· если вычисленное значение Кнабл попадает в область принятия гипотезы, то нулевая гипотеза принимается, если в критическую область – нулевая гипотеза отвергается.
Различают разные виды критических областей:
· правостороннюю критическую область, определяемую неравенством K > kкр ( kкр > 0);
· левостороннюю критическую область, определяемую неравенством K < kкр ( kкр < 0);
· двустороннюю критическую область, определяемую неравенствами K < k1, K > k2 (k2 > k1).
Определение 19.7. Мощностью критерия называют вероятность попадания критерия в критическую область при условии, что верна конкурирующая гипотеза. Если обозначить вероятность ошибки второго рода (принятия неправильной нулевой гипотезы) в, то мощность критерия равна 1 – в. Следовательно, чем больше мощность критерия, тем меньше вероятность совершить ошибку второго рода. Поэтому после выбора уровня значимости следует строить критическую область так, чтобы мощность критерия была максимальной.
В ряде случаев оказывается достаточно трудно, а иногда и невозможно определить даже хотя бы приблизительно не только априорные вероятности гипотез, но и цены решений. Классическим примером такой ситуации является обнаружение сигналов в радиолокации. То же самое имеет место и в системах передачи дискретных сообщений при обнаружении начала информационной последовательности (радиограммы, команды и т.п.).
В этих условиях обычно приходится задаваться некоторым значением вероятности ошибочного решения при справедливости одной из гипотез (например, ) и выбирать стратегию, обеспечивающую минимальное значение вероятности ошибочного решения при справедливости другой гипотезы . Такой критерий оптимизации стратегии называется критерием Неймана-Пирсона
. Применительно к случаю радиолокационного обнаружения задаются вероятностью ошибочной регистрации сигнала при наличии на входе только шума, называемой вероятностью ложной тревоги
. Минимизируемая вероятность при этом носит название вероятности пропуска цели
.
Можно показать, что стратегия, оптимальная по Нейману-Пирсону, по-прежнему сводится к сравнению величины отношения правдоподобия с некоторым пороговым значением , определяемым в данном случае требуемым значением вероятности ложной тревоги
.
Значимости уровень
статистического критерия, вероятность ошибочно отвергнуть основную проверяемую гипотезу, когда она верна. В теории статистической проверки гипотез З. у. называется вероятностью ошибки первого рода. Понятие "З. у." возникло в связи с задачей проверки согласованности теории с опытными данными. Если, например, в результате наблюдений регистрируются значения n
случайных величин X1
,..., Xn
и если требуется по этим данным проверить гипотезу Н,
согласно которой совместное распределение
величин X1
,..., Xn
обладает некоторым определённым свойством, то соответствующий статистический критерий конструируется с помощью подходящим образом подобранной функции Y = f
(X1
,
..., Xn
);
эта функция обычно принимает малые значения, когда гипотеза Н
верна, и большие значения, когда Н
ложна. В частности, если X1
,..., Xn
-
результаты независимых измерений некоторой известной постоянной а
и гипотеза Н
представляет собой предположение об отсутствии в результатах измерений систематических ошибок, то для проверки Н
разумно в качестве Y
выбрать (2m - n
)2
,
где m -
количество тех результатов измерений X1
, которые превышают истинное значение а.
Наблюдаемое в опыте большое значение Y
можно рассматривать как значимое статистическое опровержение гипотетического согласия между результатами наблюдений и проверяемой гипотезой. Соответствующий критерий значимости представляет собой правило, согласно которому значимыми считаются значения Y
, превосходящие заданное критическое значение у.
В свою очередь выбор величины у
определяется заданным З. у., который в случае справедливости гипотезы Н
совпадает с вероятностью события {Y
>y
}.
Мы рассматриваем независимую выборку , обозначая неизвестную функцию распределения . Нас интересует вопрос о том, согласуются ли данные наблюдений с простой гипотезой

где -- некоторая конкретная фиксированная функция распределения.
Вначале разобъем множество на конечное число непересекающихся подмножеств . Пусть -- вероятность, соответствующая функции распределения , обозначим Очевидно, что

Теперь сделаем группировку данных аналогично процедуре, описанной в 6.3, а именно, определим
 |
(50) |
Очевидно, что в силу случайных колебаний эмпирические частоты будут отличаться от теоретических вероятностей . Чтобы контролировать это различие, следует подобрать хорошую меру расхождения между экспериментальными данными и гипотетическим теоретическим распределением. По аналогии с идеей метода наименьших квадратов в качестве такой меры расхождения можно взять, например, , где положительные числа можно выбирать более или менее произвольно. Как показал К. Пирсон, если выбрать , то полученная величина будет обладать рядом замечательных свойств. Таким образом, положим
 |
(51) |
Подчеркнем, что величина вычисляется по выборке. Функцию принято называть статистикой Пирсона
. Обсудим ее свойства.
Поведение , когда гипотеза верна.
Речь идет о поведении при увеличении объема выборки: .
Теорема К. Пирсона.
Предположим, что гипотеза верна. Тогда при распределение величины сходится к распределению хи-квадрат с степенью свободы, то есть,
Практический смысл этой теоремы в том, что при большом объеме
выборки распределение можно считать распределением хи-квадрат с степенью свободы.
Поведение , когда гипотеза неверна.
Предположим теперь, что и разбиение таково, что

где вероятности вычислены по функции распределения . Тогда можно показать (см., например, [13, § 10.4]), что
если  |
(52) |
Критерий проверки.
То обстоятельство, что поведение существенно различно в зависимости от того верна или нет гипотеза , дает возможность построить критерий для ее проверки. Зададимся некоторым уровнем значимости
(допустимой вероятностью ошибки) и возьмем квантиль , определенную формулой (45):

Определим критическое множество
:

Таким образом, наши действия по принятию (или отвержению) гипотезы состоят в следующем. Подстановкой имеющихся данных в формулу (51) вычисляется значение функции , которое затем сравнивается с :
если , то гипотеза отвергается
(при этом говорят, что выборка обнаруживает значимое отклонение
от гипотезы ),
если , то гипотеза принимается
(говорят, что выборка совместима
с гипотезой ).
Действительно, такое решающее правило соответствует вышеизложенным фактам о поведении функции . Приведем аргументы, основанные на здравом смысле, свидетельствующие в пользу этого решающего правила. Если значения функции оказались ``слишком большими'', то, принимая во внимание (52), разумно считать, что гипотеза не имеет места. Если же значения ``не слишком большие'', то, скорее всего, гипотеза верна, поскольку это согласуется с теоремой Пирсона.
При таком решающем правиле мы может допустить ошибку, отвергнув верную гипотезу . Из теоремы Пирсона вытекает, что при больших величина вероятности этой ошибки близка к .
Регрессии. Линейная регрессия для системы двух случайных величин. Основные аспекты множественной регрессии. Нелинейная регрессия. Метод наименьших квадратов.
Пусть наблюдаемая случайная величина зависит от случайной величины или случайного вектора . Значения мы либо задаем, либо наблюдаем. Обозначим через функцию, отражающую зависимость среднего значения от значений :
 |
(29)
|
Функция называется линией регрессии на ,
а уравнение -- регрессионным уравнением.
В регрессионном анализе изучается односторонняя зависимость переменной Y от одной или нескольких переменных X1
,... ,Xk
. Переменную Y называют функцией отклика или объясняемой переменной, а X1
,... ,Xk
- объясняющими переменными. Основная задача регрессионного анализа - установление формы зависимости между объясняемой и объясняющими переменными и анализ достоверности модельных параметров этой зависимости.
Пусть требуется найти аналитический вид (формулу вычисления) некоторого экономического показателя Y.
На первом шаге регрессионного анализа идентифицируют
переменные X1
,... ,Xk
, от которых зависит Y, т.е. определяют те существенные факторы, которые воздействуют на этот показатель. Символически этот факт записывается так: .
На втором шаге регрессионного анализа требуется спецификация
формы связи между Y и X1
,... ,Xk
, т.е. определение вида функции f. Ориентиром для определения вида зависимости являются содержание решаемой задачи, результаты наблюдений за поведением показателя относительно изменения факторов на основе статистических данных. Например, выборочные наблюдения пар наблюдаемых значений , приведенные на Рис. 9.1a), говорят о линейном характере зависимости вида , а на Рис 9.1b) - о полиномиальной зависимости вида .

Рис. 9.1. Примеры эмпирических зависимостей
Предположим, что в результате спецификации определена линейная зависимость между показателем Y и факторами X1
,... ,Xk
:

Задача третьего шага регрессионного анализа заключается в определении конкретных числовых значений параметров на основе статистических данных о наблюдениях значений Y, X1
,... ,Xk
.
Естественно, линейные зависимости вида (9.2.1) наиболее просты для эконометрических исследований. Оказывается, что в ряде случаев к виду (9.2.1) можно привести и нелинейные зависимости с помощью логарифмирования, введения обратных величин и других приемов. Преобразование нелинейных функций в линейные называется линеаризацией.
Начнем с очень простого примера. Предположим, что есть три образца некоторого материала, массы которых , и неизвестны. В наличии имеются весы, допускающие случайную нормально распределенную погрешность. Образцы взвешивают раздельно, получая при этом показания весов , и соответственно. Затем три образца взвешивают вместе и получают показания весов . Если допустить, что весы всякий раз делают независимую ошибку, то, как правило, окажется, что .
Если бы мы допустили ``идеальную'' ситуацию, когда весы определяют массу абсолютно точно, то, очевидно, в четвертом взвешивании не было бы никакого смысла. Что касается реального опыта, когда к теоретическим массам добавляются случайные ошибки, то интуитивно кажется, что четвертое взвешивание может содержать в себе полезную информацию. Вопрос только в том, как ее правильно обработать.
Общая линейная модель
Теперь сформулируем и обсудим общую модель, а затем вернемся к примеру.
Предположим, что неизвестные величины последовательно измеряются некоторым измерительным прибором, прибавляющим случайную ошибку, распределенную по нормальному закону . Считая эти измерения независимыми между собой и обозначая результаты этих измерений через соответственно, запишем
где -- независимые случайные величины, распределенные по закону . Основное априорное допущение состоит в том, что вектор принадлежит некоторому линейному подпространству евклидова -мерного пространства . Заметим, что измерения , полученные в результате опыта вовсе не обязаны принадлежать . Цель -- получить оценку для вектора неизвестных параметров , используя данные измерений .
Так как независимы и имеет распределение , нетрудно выписать функцию правдоподобия (т.е. совместную плотность распределения , см. также 6.6):
 |
(38) |
В качестве искомой оценки будем искать точку , в которой функция правдоподобия принимает максимальное значение:

Выражение (38) переписывается в следующем виде:

где -- обычное евклидово расстояние между векторами в . Отсюда видно, что максимальное значение достигается в такой точке , для которой

Из курса линейной алгебры известно, что такая точка единствена и представляет собой проекцию на подпространство : . Поскольку задача свелась к минимизации суммы квадратов, этот метод получил название метода наименьших квадратов
.
Основы корреляционного анализа. Корреляционный момент и коэффициент корреляции. Функциональная и статистическая корреляция зависимости. Выборочный коэффициент корреляции. Корреляционное отношение как мера корреляционной связи.
Корреляционный анализ позволяет количественно оценить связи между большим числом взаимодействующих экономических явлений как между случайными величинами. Его применение делает возможным проверку различных экономических гипотез о наличии и силе связи между двумя величинами или группой величин. Корреляционный анализ тесно связан с регрессионным анализом, задача которого состоит в экспериментальном определении параметров корреляционных зависимостей (см. §2.5 ) между экономическими показателями путем наблюдения за характером их изменения. Одним из основных методов регрессионного анализа является метод наименьших квадратов, краткое содержание которого было изложено в §2.5. Модели, полученные с помощью регрессионного анализа, позволяют прогнозировать варианты развития экономических процессов и явлений, изучить тенденции изменения экономических показателей, т.е. служат инструментом научно-обоснованных предсказаний. Результаты прогноза являются исходным материалом для постановки реальных экономических целей и задач, для выявления и принятия наилучших управленческих решений, для разработки хозяйственной и финансовой стратегий в будущем.
Корреляционные моменты, коэффициент корреляции - это числовые характеристики, тесно связанные во введенным выше понятием случайной величины, а точнее с системой случайных величин. Поэтому для введения и определения их значения и роли необходимо пояснить понятие системы случайных величин и некоторые свойства присущие им.
Два или более случайные величины, описывающих некоторое явление называют системой или комплексом случайных величин.
Первые начальные моменты представляют собой математические ожидания величин Х и Y, входящих в систему
σ1,0
=mx
σ0,1
=my.
Совокупность математических ожиданий mx
, my
представляет собой характеристику положения системы. Геометрически это координаты средней точки на плоскости, вокруг которой происходит рассеивание точки (Х, Y).
Важную роль на практике играют также вторые центральные моменты систем. Два из них представляют собой дисперсии величин Х и Y
 ,
характеризующие рассеивание случайной точки в направлении осей Ox и Oy.
Особую роль играет второй смещенный центральный момент:
,
называемый корреляционным моментом (иначе - "моментом связи")случайных величин Х и Y.
Корреляционный момент
есть характеристика системы случайных величин, описывающая, помимо рассеивания величин Х и Y, еще и связь между ними. Для того, чтобы убедиться в этом отметим, что корреляционный момент независимых случайных величин равен нулю.
Заметим, что корреляционный момент характеризует не только зависимость величин, но и их рассеивание. Поэтому для характеристики связи между величинами (Х;Y) в чистом виде переходят от момента Kxy
к характеристике
 ,
где σx
, σy
- средние квадратичные отклонения величин Х и Y. Эта характеристика называется коэффициентом корреляции
величин Х и Y.
Согласно определениям момента корреляции и коэффициента корреляции
.
(6.37)
Пусть имеется выборка . Выборочным коэффициентом корреляции называется оценка истинного коэффициента , полученная по формуле
. (6.38)
Здесь , , - выборочные средние значения и дисперсии. Выборочный коэффициент корреляции является случайной величиной. Отсюда после вычисления возникает необходимость проверки гипотезы о значимости полученной оценки. Проверяется гипотеза о равенстве нулю генерального коэффициента корреляции против альтернативы о неравенстве нулю коэффициента корреляции. Для проверки гипотезы против альтернативы используют статистику
.
(6.39)
Известно [1], что эта статистика имеет распределение Стьюдента с (n-2) степенями свободы. Введем уровень значимости для решения и тогда решающее правило принимает вид
.
(6.40)
Здесь - квантиль распределения Стьюдента уровня (1- ) с степенями свободы.
Для графической оценки корреляционной связи двух случайных переменных строят так называемые диаграммы рассеяния
Коэффициент корреляции определяет тесноту линейной корреляционной связи между двумя случайными переменными x
и y
. Однако корреляционная связь между переменными не обязательно является линейной. Поставим задачу описания корреляционной связи в самом общем виде. Выясним меняется ли одна случайная величина (y
) при изменении другой случайной величины (x
). Рассмотрим плоскость (xy
), на которой заданы эти величины. На оси x
укажем k
точек в интересующем нас диапазоне значений и для каждой j
-й точки этого диапазона измерим q раз значение переменной y
. В результате получаем k
диапазонов (групп) для величины y
, в каждом из которых имеется q
отсчетов. Значения y внутри отдельной группы будем рассматривать как самостоятельную совокупность и для нее найдем внутригрупповую среднюю и внутригрупповую дисперсию соответственно:
. (6.41)
(Отметим, что в пределах данного пункта используется формула для вычисления смещенной оценки дисперсии.)
Найдем среднюю арифметическую внутригрупповых дисперсий
,
(6.42)
а также среднее значение по всей совокупности точек
. (6.43)
Запишем выражение для расчета межгрупповой дисперсии, описывающей рассеяние групповых средних относительно средней по всей совокупности точек
,
(6.44)
и выражение для расчета общей дисперсии, описывающей рассеяние отдельных точек относительно среднего по всей совокупности
(6.45)
Если переменная y связана с x функциональной зависимостью, то определенному значению x соответствует определенное значение y и в каждой группе содержатся q одинаковых чисел. Это означает, что внутригрупповая дисперсия равна нулю и на основание (6.51)
. (6.52)
. (6.53)
На основание данного важного свойства соотношения межгрупповой и общей дисперсий вводится мера оценки тесноты корреляционной связи
. (6.54)
Мера (6.54) называется выборочным корреляционным отношением
и характеризует тесноту как линейной, так и нелинейной корреляционной связи между двумя случайными величинами. Очевидно, что
. (6.55)
Поскольку наиболее общим видом связи двух переменных является полиномиальная связь, можно сказать, что корреляционное отношение оценивает тесноту связи вида
(6.56)
|