Министерство образования и науки Российской Федерации
Отчет
по лабораторной работе № 1
«Показатели качества элементарных звеньев»
Вариант-2
Преподаватель
Студент гр.
Екатеринбург, 2008
Вид звена:
1. Безынерционное звено
2. Апериодическое звено (Инерционное звено)
3. Реальное дифференцирующее звено
4. Колебательное звено
5. Интегрирующее звено
6. Неустойчивое звено первого порядка
7. Неустойчивое звено второго порядка
8. Интегро-диффиренцирующее звено
Установочные данные:
| K |
1; 6 |
| T |
0,5; 5 |
| ξ |
1,1 |
| 0,6 |
| 0,1 |
| 0 |
| -0,1 |

Вычисление показателей качества:
Безынерционное звено
Уравнение динамики -> 
Передаточная функция W(s) -> 
a) k=1

Рис.1.а. Безынерционное звено (при k=1)
Значение показателей качества:
Время регулирования:
 
0
Перерегулирование:

0
Время нарастания [tн – время достижения в первый раз установившегося значения]: 0
Количество колебаний N за время регулирования tр:0
Статическая точность, установившаяся ошибка: 0
б) k=6

Рис.1.b. Безынерционное звено (при k=6)
Значение показателей качества:
Время регулирования:
 
0
Перерегулирование:

0
Время нарастания [tн – время достижения в первый раз установившегося значения]: 0
Количество колебаний N за время регулирования tр: 0
Статическая точность, установившаяся ошибка: 5
Апериодическое звено (Инерционное звено)
Уравнение динамики -> 
Передаточная функция W(s) -> 
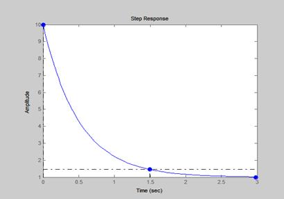
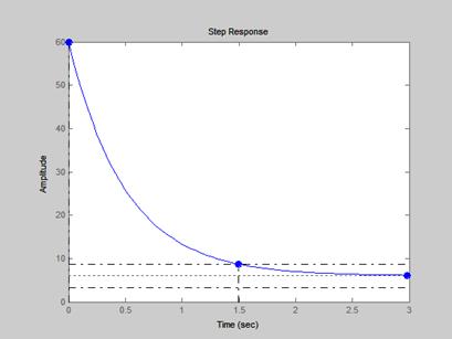
a) k=1, T=0.5

Рис.2.а. Апериодическое звено (при k=1, T=0.5)
Значение показателей качества:
Время регулирования:
 
1.5
Перерегулирование:

0
Время нарастания tн – время достижения в первый раз установившегося значения: 1.5
Количество колебаний N за время регулирования tр: 0
Статическая точность, установившаяся ошибка: 0.5
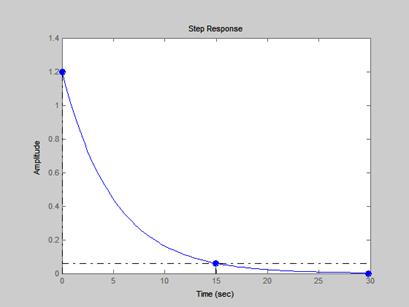
б) k=6, T=5

Рис.2.b. Апериодическое звено (при k=6, T=5)
Значение показателей качества:
Время регулирования:
 
15
Перерегулирование:

0
Время нарастания tн – время достижения в первый раз установившегося значения: 15
Количество колебаний N за время регулирования tр: 0
Статическая точность, установившаяся ошибка: 5
с) k=6, T=0.5

Рис.2.с. Апериодическое звено (при k=6, T=0.5)
Значение показателей качества:
Время регулирования:
 
1.5
Перерегулирование:

0
Время нарастания tн – время достижения в первый раз установившегося значения: 1.5
Количество колебаний N за время регулирования tр: 0
Статическая точность, установившаяся ошибка: 5
Забиваем Сайты В ТОП КУВАЛДОЙ - Уникальные возможности от SeoHammer
Каждая ссылка анализируется по трем пакетам оценки: SEO, Трафик и SMM.
SeoHammer делает продвижение сайта прозрачным и простым занятием.
Ссылки, вечные ссылки, статьи, упоминания, пресс-релизы - используйте по максимуму потенциал SeoHammer для продвижения вашего сайта.
Что умеет делать SeoHammer
— Продвижение в один клик, интеллектуальный подбор запросов, покупка самых лучших ссылок с высокой степенью качества у лучших бирж ссылок.
— Регулярная проверка качества ссылок по более чем 100 показателям и ежедневный пересчет показателей качества проекта.
— Все известные форматы ссылок: арендные ссылки, вечные ссылки, публикации (упоминания, мнения, отзывы, статьи, пресс-релизы).
— SeoHammer покажет, где рост или падение, а также запросы, на которые нужно обратить внимание.
SeoHammer еще предоставляет технологию Буст, она ускоряет продвижение в десятки раз,
а первые результаты появляются уже в течение первых 7 дней.
Зарегистрироваться и Начать продвижение
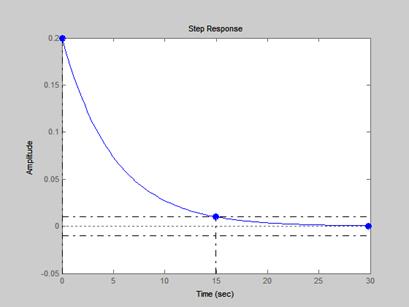
d) k=1, T=5

Рис.2.d. Апериодическое звено (при k=6, T=0.5)
Значение показателей качества:
Время регулирования:
 
15
Перерегулирование:

0
Время нарастания tн – время достижения в первый раз установившегося значения: 15
Количество колебаний N за время регулирования tр: 0
Статическая точность, установившаяся ошибка: 0
3 .Реальное дифференцирующее звено
Уравнение динамики -> 
Передаточная функция W(s) -> 
a) k=1, T=0.5

Рис.3.a. Реально дифференцирующее звено (при k=1, T=0.5)
Значение показателей качества:
Время регулирования:
 
1.5
Перерегулирование:

lnf
Время нарастания tн – время достижения в первый раз установившегося значения: 1.5
Количество колебаний N за время регулирования tр: 0
Статическая точность, установившаяся ошибка: -1
b) k=1, T=5

Рис.3.b. Реально дифференцирующее звено (при k=1, T=5)
Значение показателей качества:
Время регулирования:
 
1.5
Перерегулирование:

-7.21e+017
Время нарастания tн – время достижения в первый раз установившегося значения: 15
Количество колебаний N за время регулирования tр: 0
Статическая точность, установившаяся ошибка: (-2.78e-017)-1
c) k=6, T=0.5

Рис.3.c. Реально дифференцирующее звено (при k=6, T=0.5)
Значение показателей качества:
Время регулирования:
 
1.5
Перерегулирование:

lnf
Время нарастания tн – время достижения в первый раз установившегося значения: 1.5
Количество колебаний N за время регулирования tр: 0
Статическая точность, установившаяся ошибка: -1
d) k=6, T=5

Рис.3.d. Реально дифференцирующее звено (при k=6, T=5)
Значение показателей качества:
Время регулирования:
 
15
Перерегулирование:

lnf
Время нарастания tн – время достижения в первый раз установившегося значения: 15
Количество колебаний N за время регулирования tр: 0
Статическая точность, установившаяся ошибка: -1
4. Колебательное звено:
Уравнение динамики -> 
Передаточная функция W(s) -> 
a) k=1, T=0.5, 
Значение показателей качества
Время регулирования:
 
2.75

Рис.4.a. Колебательное звено (при k=1, T=0.5 )
Перерегулирование:

0
Время нарастания tн – время достижения в первый раз установившегося значения: 2.75
Количество колебаний N за время регулирования tр: 0
Статическая точность, установившаяся ошибка: 0
b) k=1, T=0.5, 
Значение показателей качества
Время регулирования:
 
2.61

Рис.4.b. Колебательное звено (при k=1, T=0.5, )
Перерегулирование:

9.47
Время нарастания tн – время достижения в первый раз установившегося значения: 1.27
Количество колебаний N за время регулирования tр: 0
Статическая точность, установившаяся ошибка: 0
Сервис онлайн-записи на собственном Telegram-боте
Попробуйте сервис онлайн-записи VisitTime на основе вашего собственного Telegram-бота:
— Разгрузит мастера, специалиста или компанию;
— Позволит гибко управлять расписанием и загрузкой;
— Разошлет оповещения о новых услугах или акциях;
— Позволит принять оплату на карту/кошелек/счет;
— Позволит записываться на групповые и персональные посещения;
— Поможет получить от клиента отзывы о визите к вам;
— Включает в себя сервис чаевых.
Для новых пользователей первый месяц бесплатно.
Зарегистрироваться в сервисе
c) k=1, T=0.5, 
Значение показателей качества
Время регулирования:
 
14.5

Рис.4.c. Колебательное звено (при k=1, T=0.5, )
Перерегулирование:

72.9
Время нарастания tн – время достижения в первый раз установившегося значения: 0.81
Количество колебаний N за время регулирования tр: 4
Статическая точность, установившаяся ошибка: 0
d) k=1, T=0.5, 
Значение показателей качества
Время регулирования:
 >25
Перерегулирование:

100

Рис.4.d. Колебательное звено (при k=1, T=0.5, )
Время нарастания tн – время достижения в первый раз установившегося значения: 0.761
Количество колебаний N за время регулирования tр:
Установившийся режим не наступает
Статическая точность, установившаяся ошибка: 0
e) k=1, T=0.5, 
Значение показателей качества
Время регулирования:
 >12

Рис.4.e. Колебательное звено (при k=1, T=0.5, )
Перерегулирование:

912
Время нарастания tн – время достижения в первый раз установившегося значения: 0.717
Количество колебаний N за время регулирования tр:
Установившийся режим не наступает
Статическая точность, установившаяся ошибка: 0
f) k=1, T=5, 
Значение показателей качества
Время регулирования:
 
27.5

Рис.4.f. Колебательное звено (при k=1, T=5, )
Перерегулирование:

0
Время нарастания tн – время достижения в первый раз установившегося значения: 27.5
Количество колебаний N за время регулирования tр: 0
Статическая точность, установившаяся ошибка: 0
g) k=1, T=5, 
Значение показателей качества
Время регулирования:
 
26.1

Рис.4.g. Колебательное звено (при k=1, T=5, )
Перерегулирование:

9.47
Время нарастания tн – время достижения в первый раз установившегося значения: 12.7
Количество колебаний N за время регулирования tр: 0
Статическая точность, установившаяся ошибка: 0
h) k=1, T=5, 
Значение показателей качества
Время регулирования:
 
145
Перерегулирование:

72.9

Рис.4.h. Колебательное звено (при k=1, T=5, )
Время нарастания tн – время достижения в первый раз установившегося значения: 8.1
Количество колебаний N за время регулирования tр: 4
Статическая точность, установившаяся ошибка: 0
i) k=1, T=5, 
Значение показателей качества
Время регулирования:
 >70

Рис.4.h. Колебательное звено (при k=1, T=5, )
Перерегулирование:

100
Время нарастания tн – время достижения в первый раз установившегося значения: 7.6
Количество колебаний N за время регулирования tр:
Установившийся режим не наступает
Статическая точность, установившаяся ошибка: 0
j) k=1, T=5, 
Значение показателей качества
Время регулирования:
 >120

Рис.4.j. Колебательное звено (при k=1, T=5, )
Перерегулирование:

912
Время нарастания tн – время достижения в первый раз установившегося значения: 7.17
Количество колебаний N за время регулирования tр: Установившийся режим не наступает
Статическая точность, установившаяся ошибка: 0
k) k=6, T=0.5, 
Значение показателей качества
Время регулирования:
 
2.75

Рис.4.k. Колебательное звено (при k=6, T=0.5, )
Перерегулирование:

0
Время нарастания tн – время достижения в первый раз установившегося значения: 2.75
Количество колебаний N за время регулирования tр: 0
Статическая точность, установившаяся ошибка: 5
l) k=6, T=0.5, 
Значение показателей качества
Время регулирования:
 
2.61
Перерегулирование:

9.47
Время нарастания tн – время достижения в первый раз установившегося значения: 1.27
Количество колебаний N за время регулирования tр:0
Статическая точность, установившаяся ошибка: 5

Рис.4.l. Колебательное звено (при k=6, T=0.5, )
m) k=6, T=0.5, 

Рис.4.m. Колебательное звено (при k=6, T=0.5, )
Значение показателей качества
Время регулирования:
 
14.5
Перерегулирование:

72.9
Время нарастания tн – время достижения в первый раз установившегося значения: 0.81
Количество колебаний N за время регулирования tр: 4
Статическая точность, установившаяся ошибка: 5
n) k=6, T=0.5, 

Рис.4.n. Колебательное звено (при k=6, T=0.5, )
Значение показателей качества
Время регулирования:
 >25
Перерегулирование:

100
Время нарастания tн – время достижения в первый раз установившегося значения: 0.761
Количество колебаний N за время регулирования tр:
Установившийся режим не наступает
Статическая точность, установившаяся ошибка: 5
o) k=6, T=0.5, 

Рис.4.o. Колебательное звено (при k=6, T=0.5, )
Значение показателей качества
Время регулирования:
 >12
Перерегулирование:

912
Время нарастания tн – время достижения в первый раз установившегося значения: 0.717
Количество колебаний N за время регулирования tр:
Установившийся режим не наступает
Статическая точность, установившаяся ошибка: 5
p) k=6, T=5, 

Рис.4.p. Колебательное звено (при k=6, T=5, )
Значение показателей качества
Время регулирования:
 
27.5
Перерегулирование:

0
Время нарастания tн – время достижения в первый раз установившегося значения: 27.5
Количество колебаний N за время регулирования tр: 0
Статическая точность, установившаяся ошибка: 5
q) k=6, T=5, 

Рис.4.q. Колебательное звено (при k=6, T=5, )
Значение показателей качества
Время регулирования:
 
26.1
Перерегулирование:

9.47
Время нарастания tн – время достижения в первый раз установившегося значения: 12.7
Количество колебаний N за время регулирования tр: 0
Статическая точность, установившаяся ошибка: 5
r) k=6, T=5, 

Рис.4.r. Колебательное звено (при k=6, T=5, )
Значение показателей качества
Время регулирования:
 
145
Перерегулирование:

72.9
Время нарастания tн – время достижения в первый раз установившегося значения: 12.7
Количество колебаний N за время регулирования tр: 4
Статическая точность, установившаяся ошибка: 5
s) k=6, T=5, 

Рис.4.s. Колебательное звено (при k=6, T=5, )
Значение показателей качества
Время регулирования:
 >70
Перерегулирование:

100
Время нарастания tн – время достижения в первый раз установившегося значения: 7.6
Количество колебаний N за время регулирования tр:
Установившийся режим не наступает
Статическая точность, установившаяся ошибка: 5
t) k=6, T=5, 

Рис.4.t. Колебательное звено (при k=6, T=5, )
Значение показателей качества
Время регулирования:
 >120
Перерегулирование:

912
Время нарастания tн – время достижения в первый раз установившегося значения: 7.17
Количество колебаний N за время регулирования tр:
Установившийся режим не наступает
Статическая точность, установившаяся ошибка: 5
Интегрирующее звено
Уравнение динамики -> 
Передаточная функция W(s) -> 
a) k=1

Рис.5.a. Интегрирующее звено (при k=1)
Значение показателей качества:
Время регулирования:
 
0
Перерегулирование:

Lnf(unstable)
Время нарастания tн – время достижения в первый раз установившегося значения: 0
Количество колебаний N за время регулирования tр: 0
Статическая точность, установившаяся ошибка: 0
b) k=6

Рис.5.b. Интегрирующее звено (при k=6)
Значение показателей качества:
Время регулирования:
 
0
Перерегулирование:

Lnf(unstable)
Время нарастания tн – время достижения в первый раз установившегося значения: 0
Количество колебаний N за время регулирования tр:0
Статическая точность, установившаяся ошибка: 0
Неустойчивое звено первого порядка
Уравнение динамики -> 
Передаточная функция W(s) -> 
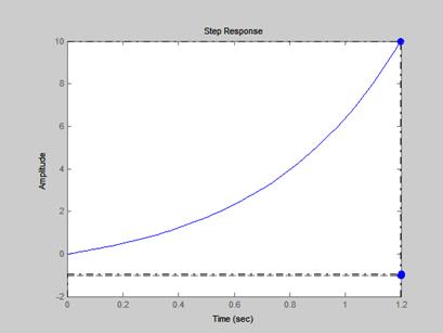
a) k=1, T=0.5

Рис.6.a. Неустойчивое звено первого порядка (при k=1, T=0.5)
Значение показателей качества:
Время регулирования:
 >1.2
Перерегулирование:

-1.1e+003
Время нарастания tн – время достижения в первый раз установившегося значения: >1.2
Количество колебаний N за время регулирования tр: 0
Статическая точность, установившаяся ошибка: -2
b) k=1, T=5

Рис.6.b. Неустойчивое звено первого порядка (при k=1, T=5)
Значение показателей качества:
Время регулирования:
 >12
Перерегулирование:

-1.1e+003
Время нарастания tн – время достижения в первый раз установившегося значения: >12
Количество колебаний N за время регулирования tр: 0
Статическая точность, установившаяся ошибка: -2
c) k=6, T=0.5

Рис.6.c. Неустойчивое звено первого порядка (при k=6, T=0.5)
Значение показателей качества:
Время регулирования:
 >1.2
Перерегулирование:

-1.1e+003
Время нарастания tн – время достижения в первый раз установившегося значения: >1.2
Количество колебаний N за время регулирования tр: 0
Статическая точность, установившаяся ошибка: -7
d) k=6, T=5

Рис.6.d. Неустойчивое звено первого порядка (при k=6, T=5)
Значение показателей качества:
Время регулирования:
 >12
Перерегулирование:

-1.1e+003
Время нарастания tн – время достижения в первый раз установившегося значения: >12
Количество колебаний N за время регулирования tр: 0
Статическая точность, установившаяся ошибка: -7
Неустойчивое звено второго порядка
Уравнение динамики -> 
Передаточная функция W(s) -> 
a) k=1, T=0.5, 

Рис.7.a. Неустойчивое звено второго порядка (при k=1, T=0.5 )
Значение показателей качества
Время регулирования:
 
0.475
Перерегулирование:

368
Время нарастания tн – время достижения в первый раз установившегося значения: 0.475
Количество колебаний N за время регулирования tр: 0
Статическая точность, установившаяся ошибка: 0
b) k=1, T=0.5, 

Рис.7.b. Неустойчивое звено второго порядка (при k=1, T=0.5, )
Значение показателей качества
Время регулирования:
 
2.61
Перерегулирование:

1.05e+003
Время нарастания tн – время достижения в первый раз установившегося значения: 0.567
Количество колебаний N за время регулирования tр: 0
Статическая точность, установившаяся ошибка: 0
c) k=1, T=0.5, 

Рис.7.c. Неустойчивое звено второго порядка (при k=1, T=0.5, )
Значение показателей качества
Время регулирования:
 >12
Перерегулирование:

912
Время нарастания tн – время достижения в первый раз установившегося значения: 0.717
Количество колебаний N за время регулирования tр:
Установившийся режим не наступает.
Статическая точность, установившаяся ошибка:0
d) k=1, T=0.5, 

Рис.7.d. Неустойчивое звено второго порядка (при k=1, T=0.5, )
Значение показателей качества
Время регулирования:
 >25
Перерегулирование:

100
Время нарастания tн – время достижения в первый раз установившегося значения: 0.761
Количество колебаний N за время регулирования tр:
Установившийся режим не наступает.
Статическая точность, установившаяся ошибка: 0
e) k=1, T=0.5, 

Рис.7.e. Неустойчивое звено второго порядка (при k=1, T=0.5, )
Значение показателей качества
Время регулирования:
 
14.5
Перерегулирование:

72.9
Время нарастания tн – время достижения в первый раз установившегося значения: 0.81
Количество колебаний N за время регулирования tр: 4
Статическая точность, установившаяся ошибка: 0
f) k=1, T=5, 

Рис.7.f. Неустойчивое звено второго порядка (при k=1, T=5, )
Значение показателей качества
Время регулирования:
 >8
Перерегулирование:

368
Время нарастания tн – время достижения в первый раз установившегося значения: 4.75
Количество колебаний N за время регулирования tр:
Установившийся режим не наступает.
Статическая точность, установившаяся ошибка: 0
g) k=1, T=5, 

Рис.7.g. Неустойчивое звено второго порядка (при k=1, T=5, )
Значение показателей качества
Время регулирования:
 >20
Перерегулирование:

1.05e+003
Время нарастания tн – время достижения в первый раз установившегося значения: 5.67
Количество колебаний N за время регулирования tр:
Установившийся режим не наступает.
Статическая точность, установившаяся ошибка: 0
h) k=1, T=5, 

Рис.7.h. Неустойчивое звено второго порядка (при k=1, T=5, )
Значение показателей качества
Время регулирования:
 >120
Перерегулирование:

912
Время нарастания tн – время достижения в первый раз установившегося значения: 7.17
Количество колебаний N за время регулирования tр:
Установившийся режим не наступает.
Статическая точность, установившаяся ошибка: 0
i) k=1, T=5, 

Рис.7.i. Неустойчивое звено второго порядка (при k=1, T=5, )
Значение показателей качества
Время регулирования:
 >70
Перерегулирование:

100
Время нарастания tн – время достижения в первый раз установившегося значения: 7.6
Количество колебаний N за время регулирования tр:
Установившийся режим не наступает.
Статическая точность, установившаяся ошибка: 0
j) k=1, T=5, 

Рис.7.j. Неустойчивое звено второго порядка (при k=1, T=5, )
Значение показателей качества
Время регулирования:
 
145
Перерегулирование:

72.9
Время нарастания tн – время достижения в первый раз установившегося значения: 8.1
Количество колебаний N за время регулирования tр: 4
Статическая точность, установившаяся ошибка: 0
k) k=6, T=0.5, 

Рис.7.k. Неустойчивое звено второго порядка (при k=6, T=0.5, )
Значение показателей качества
Время регулирования:
 >0.8
Перерегулирование:

368
Время нарастания tн – время достижения в первый раз установившегося значения: 0.475
Количество колебаний N за время регулирования tр:
Установившийся режим не наступает.
Статическая точность, установившаяся ошибка:5
l) k=6, T=0.5, 

Рис.7.l. Неустойчивое звено второго порядка звено (при k=6, T=0.5, )
Значение показателей качества
Время регулирования:
 >2
Перерегулирование:

1.05e+003
Время нарастания tн – время достижения в первый раз установившегося значения: 0.567
Количество колебаний N за время регулирования tр:
Установившийся режим не наступает.
Статическая точность, установившаяся ошибка: 5
m) k=6, T=0.5, 

Рис.7.m. Неустойчивое звено второго порядка (при k=6, T=0.5, )
Значение показателей качества
Время регулирования:
 >12
Перерегулирование:

912
Время нарастания tн – время достижения в первый раз установившегося значения: 0.717
Количество колебаний N за время регулирования tр:
Установившийся режим не наступает.
Статическая точность, установившаяся ошибка: 5
n) k=6, T=0.5, 

Рис.7.n. Неустойчивое звено второго порядка (при k=6, T=0.5, )
Значение показателей качества
Время регулирования:
 >25
Перерегулирование:

100
Время нарастания tн – время достижения в первый раз установившегося значения: 0.761
Количество колебаний N за время регулирования tр:
Установившийся режим не наступает.
Статическая точность, установившаяся ошибка: 5
o) k=6, T=0.5, 

Рис.7.o. Неустойчивое звено второго порядка (при k=6, T=0.5, )
Значение показателей качества
Время регулирования:
 
14.5
Перерегулирование:

72.9
Время нарастания tн – время достижения в первый раз установившегося значения: 0.81
Количество колебаний N за время регулирования tр: 4
Статическая точность, установившаяся ошибка: 5
p) k=6, T=5, 

Рис.7.p. Неустойчивое звено второго порядка (при k=6, T=5, )
Значение показателей качества
Время регулирования:
 >8
Перерегулирование:

368
Время нарастания tн – время достижения в первый раз установившегося значения: 4.75
Количество колебаний N за время регулирования tр:
Установившийся режим не наступает.
Статическая точность, установившаяся ошибка: 5
q) k=6, T=5, 

Рис.7.q. Неустойчивое звено второго порядка (при k=6, T=5, )
Значение показателей качества
Время регулирования:
 >20
Перерегулирование:

1.05e+003
Время нарастания tн – время достижения в первый раз установившегося значения: 5.67
Количество колебаний N за время регулирования tр:
Установившийся режим не наступает.
Статическая точность, установившаяся ошибка: 5
r) k=6, T=5, 

Рис.7.r. Неустойчивое звено второго порядка (при k=6, T=5, )
Значение показателей качества
Время регулирования:
 >120
Перерегулирование:

912
Время нарастания tн – время достижения в первый раз установившегося значения: 7.17
Количество колебаний N за время регулирования tр:
Установившийся режим не наступает.
Статическая точность, установившаяся ошибка: 5
s) k=6, T=5, 

Рис.7.s. Неустойчивое звено второго порядка (при k=6, T=5, )
Значение показателей качества
Время регулирования:
 >70
Перерегулирование:

100
Время нарастания tн – время достижения в первый раз установившегося значения: 7.6
Количество колебаний N за время регулирования tр:
Установившийся режим не наступает.
Статическая точность, установившаяся ошибка: 5
t) k=6, T=5, 

Рис.7.t. Неустойчивое звено второго порядка (при k=6, T=5, )
Значение показателей качества
Время регулирования:
 
145
Перерегулирование:

72.9
Время нарастания tн – время достижения в первый раз установившегося значения: 8.1
Количество колебаний N за время регулирования tр: 4
Статическая точность, установившаяся ошибка: 5
Интегро-диффиренцирующее
Уравнение динамики -> 
Передаточная функция W(s) -> 
a) T1=0.5; T2=5; k=1

Рис.8.a. Неустойчивое звено второго порядка (при T1=0.5; T2=5; k=1)
Значение показателей качества:
Время регулирования:
 
1.5
Перерегулирование:

900
Время нарастания tн – время достижения в первый раз установившегося значения: 1.5
Количество колебаний N за время регулирования tр: 0
Статическая точность, установившаяся ошибка: 0
b) T1=0.5; T2=5; k=6

Рис.8.b. Неустойчивое звено второго порядка (при T1=0.5; T2=5; k=6)
Значение показателей качества:
Время регулирования:
 
1.5
Перерегулирование:

900
Время нарастания tн – время достижения в первый раз установившегося значения: 1.5
Количество колебаний N за время регулирования tр: 0
Статическая точность, установившаяся ошибка: 5
c) T1=5; T2=0.5; k=1

Рис.8.c. Неустойчивое звено второго порядка (при T1=5; T2=0.5; k=1)
Значение показателей качества:
Время регулирования:
 
15
Перерегулирование:

0
Время нарастания tн – время достижения в первый раз установившегося значения: 15
Количество колебаний N за время регулирования tр: 0
Статическая точность, установившаяся ошибка: 0
d) T1=5; T2=0.5; k=6

Рис.8.d. Неустойчивое звено второго порядка (при T1=5; T2=0.5; k=6)
Значение показателей качества:
Время регулирования:
 
15
Перерегулирование:

0
Время нарастания tн – время достижения в первый раз установившегося значения: 15
Количество колебаний N за время регулирования tр: 0
Статическая точность, установившаяся ошибка: 5
Итоговая таблица:
| Значения коэффициентов\показатели качества |
Время регулирования, tp (сек) |
Перерегулирование, σ (%) |
Время нарастания, tн (сек) |
Количество колебаний N за время регулирования tр |
Установившаяся ошибка |
| Безынерционное звено |
| k=1 |
0 |
0 |
0 |
0 |
0 |
| k=6 |
0 |
0 |
0 |
0 |
5 |
| Вывод: С увеличением коэффициента передачи (k) возрастает установившаяся ошибка. |
| Апериодическое звено (Инерционное звено) |
| k=1, T=0.5 |
1.5 |
0 |
1.5 |
0 |
0.5 |
| k=1, T=5 |
15 |
0 |
15 |
0 |
0 |
| k=6, T=0.5 |
1.5 |
0 |
1.5 |
0 |
5 |
| k=6, T=5 |
15 |
0 |
15 |
0 |
5 |
| Вывод: С увеличением коэффициента передачи (k) увеличивается установившаяся ошибка. С ростом постоянной времени (Т) возрастает время регулирования, время нарастания. |
| Реальное дифференцирующее звено |
| k=1, T=0.5 |
1.5 |
1.5 |
0 |
-1 |
| k=1, T=5 |
1.5 |
(-7.21e+017) |
15 |
0 |
(-2.78e-017)-1 |
| k=6, T=0.5 |
1.5 |
1.5 |
0 |
-1 |
| k=6, T=5 |
15 |
15 |
0 |
-1 |
| Вывод: Увеличение коэффициента передачи (k) и постоянной времени влияет на: 1. время регулирования (при k=1 и k=6 при Т=0.5 – остается неизменным; при k=1 и k=6 при Т=5 – увеличивается). 2. время нарастания (при k=1 и k=6 при Т=0.5 – остается неизменным; при k=1 и k=6 при Т=5 – не изменяется). 3. перерегулирование изменяется при увеличение постоянной времени. 4. установившаяся ошибка постоянна, за исключением значений k=1 и Т=5. |
| Колебательное звено |
k=1, T=0.5  |
2.75 |
0 |
2.75 |
0 |
0 |
k=1, T=0.5  |
2.61 |
947 |
1.27 |
0 |
0 |
k=1, T=0.5  |
14.5 |
72.9 |
0.81 |
4 |
0 |
k=1, T=0.5  |
>25 |
100 |
0.761 |
∞ |
0 |
k=1, T=0.5  |
>12 |
912 |
0.717 |
∞ |
0 |
k=1, T=5  |
27.5 |
0 |
27.5 |
0 |
0 |
k=1, T=5  |
26.1 |
9.47 |
12.7 |
0 |
0 |
k=1, T=5  |
145 |
72.9 |
8.1 |
4 |
0 |
k=1, T=5  |
>70 |
100 |
7.6 |
∞ |
0 |
k=1, T=5  |
>120 |
912 |
7.17 |
∞ |
0 |
k=6, T=0.5  |
2.75 |
0 |
2.75 |
0 |
5 |
k=6, T=0.5  |
2.61 |
9.47 |
1.27 |
0 |
5 |
k=6, T=0.5  |
14.5 |
72.9 |
0.81 |
4 |
5 |
k=6, T=0.5  |
>25 |
100 |
0.761 |
∞ |
5 |
k=6, T=0.5  |
>12 |
912 |
0.717 |
∞ |
5 |
k=6, T=5  |
27.5 |
0 |
27.5 |
0 |
5 |
k=6, T=5  |
26.1 |
9.47 |
12.7 |
0 |
5 |
k=6, T=5  |
145 |
72.9 |
12.7 |
4 |
5 |
k=6, T=5  |
>70 |
100 |
7.6 |
∞ |
5 |
k=6, T=5  |
>120 |
912 |
7.17 |
∞ |
5 |
Вывод: В случае, когда k=1, Т=0.5, а увеличивается – время регулирования увеличивается до , а потом уменьшается. Заметно влияние на перерегулирование. Время нарастания уменьшается. Количество колебаний за время регулирования увеличивается.
k=1, Т=5, а увеличивается – время регулирования уменьшается до , дальше увеличивается. Перерегулирование заметно возрастает. Время нарастания уменьшается. Количество колебаний за время регулирования увеличивается.
k=6, T=0.5 и увеличивается – время регулирования уменьшается до , дальше увеличивается. Перерегулирование заметно возрастает. Время нарастания уменьшается. Количество колебаний за время регулирования увеличивается.
k=6, T=5 и увеличивается - время регулирования уменьшается до , дальше увеличивается. Перерегулирование заметно возрастает. Время нарастания уменьшается. Количество колебаний за время регулирования увеличивается.
При увеличении коэффициента передачи увеличивается установившаяся ошибка, время нарастания и перерегулирование остается неизменным. При увеличении постоянной времени увеличивается время нарастания, время регулирования, колебания остаются неизменными.
|
| Интегрирующее звено |
| k=1 |
0 |
Lnf(unstable) |
0 |
0 |
0 |
| k=6 |
0 |
Lnf(unstable) |
0 |
0 |
0 |
| Вывод: При увеличении коэффициента передачи все значения показателей качества остаются неизменными. |
| Неустойчивое звено первого порядка |
| k=1, T=0.5 |
>1.2 |
-1.1e+003 |
>1.2 |
0 |
-2 |
| k=1, T=5 |
>12 |
-1.1e+003 |
>12 |
0 |
-2 |
| k=6, T=0.5 |
>1.2 |
-1.1e+003 |
>1.2 |
0 |
-7 |
| k=6, T=5 |
>12 |
-1.1e+003 |
>12 |
0 |
-7 |
Вывод: При увеличении постоянной времени (Т) увеличивается время регулирования, время нарастания и перерегулирование остается постоянным.
Увеличение коэффициента передачи влияет на количество колебаний пропорционально, остальные показатели качества остаются неизменными.
|
| Неустойчивое звено второго порядка |
k=1, T=0.5  |
0.475 |
368 |
0.475 |
0 |
0 |
k=1, T=0.5  |
2.61 |
1.05e+003 |
0.567 |
0 |
0 |
k=1, T=0.5  |
>12 |
912 |
0.717 |
∞ |
0 |
k=1, T=0.5  |
>25 |
100 |
0.761 |
∞ |
0 |
k=1, T=0.5  |
14.5 |
72.9 |
0.81 |
4 |
0 |
k=1, T=5  |
>8 |
368 |
4.75 |
∞ |
0 |
k=1, T=5  |
>20 |
1.05e+003 |
5.67 |
∞ |
0 |
k=1, T=5  |
>120 |
912 |
7.17 |
∞ |
0 |
k=1, T=5  |
>70 |
100 |
7.6 |
∞ |
0 |
k=1, T=5  |
145 |
72.9 |
8.1 |
4 |
0 |
k=6, T=0.5  |
>0.8 |
368 |
0.475 |
∞ |
5 |
k=6, T=0.5  |
>2 |
1.05e+003 |
0.567 |
∞ |
5 |
k=6, T=0.5  |
>12 |
912 |
0.717 |
∞ |
5 |
k=6, T=0.5  |
>25 |
100 |
0.761 |
∞ |
5 |
k=6, T=0.5  |
14.5 |
72.9 |
0.81 |
4 |
5 |
k=6, T=5  |
>8 |
368 |
4.75 |
∞ |
5 |
k=6, T=5  |
>20 |
1.05e+003 |
5.67 |
∞ |
5 |
k=6, T=5  |
>120 |
912 |
7.17 |
∞ |
5 |
k=6, T=5  |
>70 |
100 |
7.6 |
∞ |
5 |
k=6, T=5  |
145 |
72.9 |
8.1 |
4 |
5 |
| Вывод: |
| Интегро-диффиренцирующее звено |
| T1=0.5; T2=5; k=1 |
1.5 |
900 |
1.5 |
0 |
0 |
| T1=0.5; T2=5; k=6 |
1.5 |
900 |
1.5 |
0 |
5 |
| T1=5; T2=0.5; k=1 |
15 |
0 |
15 |
0 |
0 |
| T1=5; T2=0.5; k=6 |
15 |
0 |
15 |
0 |
5 |
| Вывод: |
|