РЕФЕРАТ
НА ТЕМУ:
Керамические стеновые материалы
КЛАССИФИКАЦИЯ КЕРАМИЧЕСКИХ СТЕНОВЫХ МАТЕРИАЛОВ
Керамические стеновые материалы, изготовляемые из глин с добавками или без них и обожженные, можно классифицировать по следующим признакам.
По способу формирования:
изделия пластического прессования;
изделия полусухого прессования. К изделиям пластического прессования относятся:
кирпич обыкновенный сплошной;
кирпич пустотелый;
кирпич пористо-пустотелый;
кирпич строительный легковесный;
камни керамические пустотелые. К изделиям полусухого прессования относятся:
кирпич обыкновенный;
кирпич пустотелый.
По размерам:
кирпич одинарный — 250X120X65 мм;
кирпич модульный — 250 X120X88 мм;
камни керамические пустотелые 250X120X138 мм,
250Х250Х
X
138 мм.
По теплотехническим свойствам:
кирпич с объемной массой более 1450 кг/ж3
, с коэффициентом
теплопроводности λ = 0,7—0,6 ккал/м· ч·град;
кирпич с объемной массой более 1200 кг/м3
,
с λ=0,50—
0,55 ккал/м · ч -град;
кирпич с объемной массой менее 1200 кг/м3
,
с λ=0,45— 0,50 ккал/м
· ч · град;
камни керамические с объемной массой менее 1450 кг/м3
,
с λ=0,40—0,5 ккал/м
· ч
· град;
камни керамические с объемной массой менее 1200 кг/м3
,
с λ = 0,25—0,35 ккал/м. · ч · град.
По назначению в конструкциях:
конструктивные — для рядовой кладки под штукатурку или
последующую облицовку;
лицевые конструктивные — для лицевой кладки под расшивку.
ТРЕБОВАНИЯ К КЕРАМИЧЕСКИМ СТЕНОВЫМ МАТЕРИАЛАМ И ИХ ХАРАКТЕРИСТИКА
Глиняный обыкновенный сплошной (полнотелый) И пустотелый кирпичи являются основными видами продукции отечественной кирпичной промышленности. Различают кирпич пластического прессования и кирпич полусухого прессования, изготовленный из глин с добавками или без них и обожженный.
Технические требования к глиняному обыкновенному и пустотелому кирпичу регламентированы ГОСТ 530-71.
Кирпич изготовляют одинарным или модульным; он должен иметь форму прямоугольного параллелепипеда.
Отклонения от указанных размеров кирпича не должны превышать величин, указанных в табл. 1.

Глиняный кирпич разделяется на семь марок — 300, 250, 200, 150, 125, 100 и 75, характеризующих его среднюю предельную прочность при сжатии в кгс/см2
.
Забиваем Сайты В ТОП КУВАЛДОЙ - Уникальные возможности от SeoHammer
Каждая ссылка анализируется по трем пакетам оценки: SEO, Трафик и SMM.
SeoHammer делает продвижение сайта прозрачным и простым занятием.
Ссылки, вечные ссылки, статьи, упоминания, пресс-релизы - используйте по максимуму потенциал SeoHammer для продвижения вашего сайта.
Что умеет делать SeoHammer
— Продвижение в один клик, интеллектуальный подбор запросов, покупка самых лучших ссылок с высокой степенью качества у лучших бирж ссылок.
— Регулярная проверка качества ссылок по более чем 100 показателям и ежедневный пересчет показателей качества проекта.
— Все известные форматы ссылок: арендные ссылки, вечные ссылки, публикации (упоминания, мнения, отзывы, статьи, пресс-релизы).
— SeoHammer покажет, где рост или падение, а также запросы, на которые нужно обратить внимание.
SeoHammer еще предоставляет технологию Буст, она ускоряет продвижение в десятки раз,
а первые результаты появляются уже в течение первых 7 дней.
Зарегистрироваться и Начать продвижение
-Каждой марке кирпича пластического прессования должен соответствовать предел прочности при изгибе: для марки 300—44, 250—40, 200—34, 150—28, 125—25, 100—22, 75—18 кгс/см2
.
Для кирпича полусухого прессования предел прочности при изгибе должен соответствовать следующим величинам: для марки 300—34, 250—30, 200—26, 150—20, 125—18, 100—16, 75—14 кгс/см2
.
Прочностные показатели кирпича с технологическими пустотами должны отвечать показателям по полному сечению изделия (без вычетов площади пустот).
Модульный кирпич следует во всех случаях изготовлять с технологическими пустотами. Его объемная масса должна быть не более 4 кг/м3
.
В кирпиче допускаются сквозные или несквозные технологические пустоты, которые должны располагаться перпендикулярно постели. Количество и форма их не регламентированы, однако, диаметр круглых сквозных пустот не должен превышать 16 мм,
ширина прямоугольных пустот — 12 мм.
Диаметр несквозных пустот для кирпича полусухого прессования с 8 пустотами не должен быть более 45 мм
и для кирпича полусухого прессования с 18 пустотами— 18 мм.
На рис. 1 и 2 показано расположение технологических пустот dкирпичах.
Толщина наружных стенок кирпича до первого ряда технологических пустот должна быть не менее 15 мм.
Кирпич не должен иметь сквозных трещин. На ложковых гранях (т. е. на сторонах размером 250X65 и 250X88 мм)
отдельных кирпичей может быть допущена

одна сквозная трещина на всю толщину кирпича протяженностью по ширине кирпича до 30 мм.
Кирпич со сквозной трещиной протяженностью более 30 мм
относится к половинку.

Водопоглощение кирпича должно быть для марок выше 150 не менее 6% от массы кирпича, высушенного до постоянной массы, а для кирпича остальных марок — но менее 8%.
По морозостойкости кирпич подразделяется на четыре марки: Мрз-15, Мрз-25, Мрз-35 и Мрз-50. В зависимости от марки по морозостойкости кирпич в насыщенном водой состоянии должен выдерживать без каких-либо признаков видимых повреждений (расслоения, шелушения, растрескивания, выкрашивания) не менее того количества циклов попеременного замораживания и оттаивания, которое соответствует присваиваемой ему марке морозостойкости.
Глиняный обыкновенный кирпич применяют для кладки внутренних и наружных стен, столбов и других частей зданий и сооружений, а также для несущих конструкций, в которых прочность кирпича используется полностью.
Сервис онлайн-записи на собственном Telegram-боте
Попробуйте сервис онлайн-записи VisitTime на основе вашего собственного Telegram-бота:
— Разгрузит мастера, специалиста или компанию;
— Позволит гибко управлять расписанием и загрузкой;
— Разошлет оповещения о новых услугах или акциях;
— Позволит принять оплату на карту/кошелек/счет;
— Позволит записываться на групповые и персональные посещения;
— Поможет получить от клиента отзывы о визите к вам;
— Включает в себя сервис чаевых.
Для новых пользователей первый месяц бесплатно.
Зарегистрироваться в сервисе
В элементах стен, в которых прочность кирпича полностью не использована, его применяют в сочетании с теплоизоляционными материалами.

Глиняный пустотелый и пористо-пустотелый кирпич пластического прессования изготовляют из глин с добавками или без них и обожженный (рис. 3).
Глиняный пустотелый и пористо-пустотелый кирпич применяют для кладки наружных и внутренних стен.
Требования к такому кирпичу регламентированы ГОСТ 6316-55. Для пустотелого и пористо-пустотелого кирпича установлены четыре марки: 150, 125, 100 и 75, соответствующий им предел прочности при изгибе 20, 18, 16 и 14 кгс/см3
.
Глиняный пустотелый и пористо-пустотелый кирпич бывает двух классов: класс А — с объемной массой до 1300 кг/м3
включительно и класс Б — с объемной массой более 1300 кг/м3
,
но не свыше 1450 кг/м3
.
Кирпич с объемной массой более 1450 кг/м3
принимается как обыкновенный кирпич. Допускается выпуск пустотелого модульного         кирпича толщиной 88 мм
при условии, если объемная масса его менее 1450 кг/м3
.
Водопоглощение кирпича, высушенного до постоянной массы, должно быть не менее 6%.
Характеристика пустотелого и пористо-пустотелого кирпича приведена в табл. 2.

Для получения кирпича с меньшей объемной массой при малой пустотности требуется больше вводить выгорающих' добавок в глиняную массу. Кирпич изготовляют с круглыми (диаметром 16 мм),
квадратными (сечением 10X10 мм
и более) и прямоугольными отверстиями -(шириной не более 12 мм).
При ограниченной пустотности (8,5 и 12%) кирпича с круглыми отверстиями диаметром 16 мм
не всегда удается достигнуть заданной объемной массы кирпича. Для повышения теплозащитных свойств кирпича и уменьшения его объемной массы изготовляют иногда пустотелый кирпич с пустотностью до 30%, если позволяют свойства сырья.
Легковесный строительный кирпич изготовляют путем формования и обжига из диатомитов и трепелов с выгорающими добавками, а также из смесей диатомитов и глин с выгорающими добавками и без них.
Легковесный строительный кирпич применяют для наружных и внутренних стен зданий и сооружений с нормальной влажностью помещений. Его не допускается применять для фундаментов и цоколей зданий, для стен влажных и мокрых помещений. Требования к такому кирпичу регламентированы ГОСТ 648-41.
Строительный легковесный кирпич подразделяют в зависимости от объемной массы на три класса:
А —от .700 до 1000; Б — от 1000 до 1300; В — от 1300 до 1450 кг/м3
.
В зависимости от предела прочности при сжатии класс А делят на марки: 75, 50, 35; класс Б — 100, 75 и 50; класс В — 100, 75 и 50.
Легковесный кирпич должен иметь следующие размеры, мм:
250 + 8; 120±6; 65±4.
По морозостойкости легковесный кирпич должен выдерживать без каких-либо видимых признаков разрушения (расслоения граней, выкрашивания ребер и углов, растрескивания) не менее 10 повторных циклов попеременного замораживания при температуре — 15°С и ниже с последующим оттаиванием а
воде при температуре 6°C.
Керамические пустотелые стеновые камни пластического прессования используют для кладки наружных и внутренних стен (рис. 4).

Наиболее широко распространены 7- и 18-щелевые камни. Требования, предъявляемые к этому типу камней, регламентированы ГОСТ 6328-55. В зависимости от предела прочности при сжатии по сечению брутто эти камни подразделяют на четыре марки: 150, 100, 75 и 50.
Преимущество керамических камней по сравнению с кирпичами заключается в увеличенном размере по высоте камня до 138 мм.
что сокращает количество растворных швов в стене. Благодаря щелевидным узким пустотам и большей высоте теплозащитные свойства таких камней выше, чем пустотелого кирпича. Применение их в строительстве позволяет уменьшить толщину стен с 2,5 до 12 кирпичей, т. е. вместо наружных стен толщиной 64 см
возводить наружные стены толщиной 51 см.
18-щелевой камень несколько эффектив   нее 7-щелевого по пустотности, массе и теплозащитным свойствам, но менее эффективен, чем камни 28-щелев'ые и 31-дырчатые. В табл. 3 приведена характеристика камней.

Керамические лицевые кирпич и к а м н и предназначены для облицовки фасадов, внутренних стен вестибюлей, лестничных клеток, переходов, которая ведется одновременно с кладкой стен каменных зданий.
Лицевой кирпич в зависимости от формы и назначения подразделяют на рядовой и профильный. Показатели лицевого кирпича и камней определены ГОСТ 7484-69. По пределу прочности при сжатии они разделяются на семь марок: 300, 250, 200, 150, 125, 100, 75 и при изгибе его прочность должна быть соответственно 34, 30, 26, 20, 18, 16, 14 кгс/см2
.
Размеры кирпича и камней должны соответствовать указанным в табл. 4.

По согласованию завода-изготовителя с потребителем можно выпускать камни других размеров, а также профильные изделия, формы и размеры которых указывают в заказе.
Допускаемые отклонения от размеров кирпича и камней не должны превышать: по длине ±4 мм,
по ширине ±3 мм,
по толщине: для кирпича +3 и — 2 мм,
для камня ±3 мм.
Рядовой лицевой кирпич и камни должны иметь две смежные лицевые поверхности — тычковую и ложковую, которые могут быть гладкими, рифлеными или офактуренными.
К офактуренному лицевому кирпичу относят двух слойный лицевой, ангобироианиый и офактуренный сухой минераль ной крошкой,
Двухслойный лицевой кирпич
изготовляют из легкоплавкой глины с нанесенным, на нее в процессе формования лицевым слоем толщиной 2—4 мм
и более. Лицевой слой состоит из керамических масс, включающихсветложгущиеся огнеупорные и другие глины, кварцевый песок, стекло и пр.
Ангобированный лицевой кирпич
— это кирпич, лицевая поверхность которого покрыта тонким ангобным слоем.
Ангобом называют покрытие толщиной 0,1—0,3 мм
из керамической массы, наносимой на сырец из легкоплавких красножгущихся глин или огнеупорных беложгущихся глин с легкоплавкими добавками для получения после обжига покрываемой поверхности требуемого цвета.
Тонкий слой ангоба позволяет усилить или изменить естественный цвет лицевых поверхностей кирпича.
Кирпич, офактуренный сухой минеральной крошкой,
— это кирпич, лицевые поверхности которого имеют крупно- или мелкозернистую фактуру разного цвета, оплавленную или неоплавленную, I состоящую из зерен стекла, фарфорового боя, кварцевого песка, Песчаника и др.
Цвет лицевых поверхностей, тон их окраски, а также их фактура и должны соответствовать эталонам, утвержденным министерством ИЛИ ведомством, в ведении которого находится завод-изготовитель, И согласованным с архитектурно-строительным надзором.
Лицевой кирпич должен иметь четкие грани без искривлений, отбитых углов, щербин на ребрах и каких-либо других дефектов, искажающих лицевую поверхность.
Водопоглощение лицевого кирпича, высушенного до постоянной массы, должно быть не менее 6% и не более 14%, а для кирпича, изготовляемого из огнеупорных (беложгущихся) глин, не более 12%.
Лицевой кирпич должен выдерживать без каких-либо признаков видимых повреждений (расслоения, шелушения, растрескивания, выкрашивания) не менее 25 повторных циклов попеременного замораживания с последующим оттаиванием в воде. Такой кирпич изготовляют полнотелым или пустотелым. Лицевой кирпич, изготовляемый из легкоплавких глин, по характеру лицевых поверхностей подразделяют на двухслойный, глазурованный, ангобированный и офактуренный сухой минеральной крошкой.
Лицевой слой должен иметь высокое сцепление с основной массой кирпича, быть долговечным, не изменять цвета с течением времени.
ОСНОВНЫЕ СВОЙСТВА КЕРАМИЧЕСКИХ СТЕНОВЫХ МАТЕРИАЛОВ
Основные свойства керамических стеновых материалов — механическая прочность, объемная масса и плотность, водопоглощение, морозостойкость — регламентированы соответствующими стандартами. Эти свойства в значительной степени зависят от пористости и показателя плотности изделий.
Прочностью материала называется его способность сопротивляться внутренним напряжениям, возникающим в результате действия внешних сил (нагрузок).
Кирпич хорошо сопротивляется сжатию, хуже — растяжению. Поэтому его применяют в конструкциях, работающих на сжатие.
Прочность кирпича характеризуется пределом прочности при сжатии и изгибе. Пределом прочности
кирпича называют напряжение, соответствующее нагрузке, при которой он разрушается.
В кладке кирпич испытывает напряжение не только на сжатие, но и на изгиб. Поэтому стандартами регламентирован также предел прочности кирпича на изгиб.
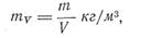
Объемной м а с сой называется масса единицы объема материала в естественном состоянии, т. е. вместе с порами и пустотами. Если кирпич или камни имеют специальные пустоты, то различают объемную массу брутто без вычета объема пустот и объемную массу нетто с вычетом пустот.
Объемную массу брутто изделия вычисляют по его внешним размерам и она зависит от количества пустот и объемной массы материала керамики.
Объемную массу образца ту
вычисляют по формуле

где т
— масса образца, высушенного до постоянной массы, кг;
V—-объем образца,'ж3
.
Объемная масса полнотелых керамических стеновых материалов колеблется в пределах 1300—1800 кг/м3
.
Плотностью называется отношение массы материала к его объему без пор и пустот. Плотность керамических изделий колеблется в пределах 2200—2500 кг/м3
.
Плотность ρ вычисляют по формуле
где т
— масса (навеска) материала, высушенного до постоянной массы, кг;
V
— объем материала без пор и пустот, м3
.
Показатель плотности материала — это степень заполнения его объема твердым веществом, из которого состоит данный материал. Определяют показатель плотности материала Ρ
как отношение объемной массы к плотности материала.

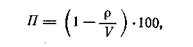
Плотность керамических стеновых материалов всегда меньше 100%' вследствие большего или меньшего количества пор. По плотности можно определить пористость материала.
Пористость материала—это степень заполнения его объема порами. Пористость Π
определяют по формуле

где —плотность, ; V
—
объем материала порами и пустотами, м'л
.
По величине пористость является дополнением плотности до единицы или до 100%· Показатель пористости определяют по формуле
Водопоглощение— это способность материала впитывать и удерживать в своих порах воду. Оно характеризуется количеством воды, которое поглощает сухой материал при погружении и выдерживании в воде, отнесенным к массе сухого материала (массовое водопоглощение или к объему материала в сухом состоянии (объемное водопоглощение ). Водопоглощение вычисляют по формулам
л
где — масса образца в насыщенном водой состоянии, г;
—
масса образца в сухом состоянии, г;
V
—объем образца в сухом состоянии, см3
.
Керамические стеновые материалы должны иметь водопоглощепие в пределах не менее 8%, лицевые — не менее 6% и не более 14%, а из беложгущихся глин — не более 12%.
Морозостойкость — способность материала в насыщенном водой состоянии выдерживать многократное попеременное замораживание и оттаивание без признаков разрушения и значительного снижения прочности.
Морозостойкость характеризует срок службы материала.
Использованная литература
:
1. Кашкаев И. Я Шейнман Е. Ш.
Производство глиняного кирпича. Изд. 2-е, испр. и доп. М., «Высш. школа», 1974. 288 с, с ил.
|