Тексты лекций
по дисциплине
«Диагностика и испытание строительных конструкций»
1. Обследование зданий
Техническое обследование зданий проводят с целью получения объективных данных о фактическом состоянии строительных конструкций и инженерного оборудования с учётом изменения во времени.
При обследовании изучается проектная документация, уточняются конструкции отдельных узлов, определяется характер армирования железобетонных элементов, исследуется степень поражения материала конструкций коррозией, анализируются причины образования трещин и механических повреждений.
Обследование проводится в 3 этапа.
Первый этап – сбор и изучение технической документации, обобщение сведений по строительству и эксплуатации здания.
Второй этап – обследование несущих и ограждающих конструкций наземной части здания.
Третий этап – обследование фундаментов и грунтов основания.
При ознакомлении с техническими документами изучаются исполнительные рабочие чертежи здания, акты на скрытые работы, заключения комиссии по результатам ранее произведённых обследований, данные геологических изысканий. Особое внимание уделяется сведениям по технической эксплуатации здания: присутствию вибрационных технологических нагрузок, агрессивных воздействиях, случаям промораживания грунта в основании фундаментов, подтоплениям подвальных помещений атмосферными, грунтовыми или техническими водами и пр.
Обследование наземной части здания, как правило, начинается с оценки соответствия объёмно-планировочных и конструктивных решений здания в натуре исходному проекту. При этом проверяются важнейшие размеры конструктивной схемы: длина пролётов, размеры сечения несущих конструкций, высота этажей и пр. Диагностика состояния конструкций обычно производится с использованием нескольких методов: визуально, простейшими механическими инструментами, приборами неразрушимого контроля, лабораторными и натурными испытаниями.
В задачу визуального осмотра входит оценка физического состояния отдельных конструктивных элементов и здания в целом. Осмотру подлежат все несущие и ограждающие конструкции здания: кровля, стропила, перекрытия, стены и фундаменты. Особо тщательно обследуются узлы сопряжения элементов, длина опирания и качество сварных соединений. По результатам визуального осмотра составляется карта дефектов и оценивается степень физического износа конструкций. Помогают в этом и специальные таблицы, разработанные в Госгражданстрое [7].
Забиваем Сайты В ТОП КУВАЛДОЙ - Уникальные возможности от SeoHammer
Каждая ссылка анализируется по трем пакетам оценки: SEO, Трафик и SMM.
SeoHammer делает продвижение сайта прозрачным и простым занятием.
Ссылки, вечные ссылки, статьи, упоминания, пресс-релизы - используйте по максимуму потенциал SeoHammer для продвижения вашего сайта.
Что умеет делать SeoHammer
— Продвижение в один клик, интеллектуальный подбор запросов, покупка самых лучших ссылок с высокой степенью качества у лучших бирж ссылок.
— Регулярная проверка качества ссылок по более чем 100 показателям и ежедневный пересчет показателей качества проекта.
— Все известные форматы ссылок: арендные ссылки, вечные ссылки, публикации (упоминания, мнения, отзывы, статьи, пресс-релизы).
— SeoHammer покажет, где рост или падение, а также запросы, на которые нужно обратить внимание.
SeoHammer еще предоставляет технологию Буст, она ускоряет продвижение в десятки раз,
а первые результаты появляются уже в течение первых 7 дней.
Зарегистрироваться и Начать продвижение
В процессе визуального осмотра выявляются конструктивные элементы, несущая способность которых вызывает опасение. К ним относятся: железобетонные конструкции с опасными нормальными и наклонными трещинами, следы коррозии арматуры: каменные конструкции с трещинами и глубокими повреждениями кладки.
При осмотре стен устанавливаются дефектные зоны, снижающие теплозащиту и прочность стенового ограждения. В панельных зданиях особо тщательно обследуются стыки стеновых панелей, из-за неудовлетворительной герметизации которых часто происходит промерзания стен, а также возрастает их водопроницаемость и продуваемость.
В кирпичных зданиях исследуется состояние кирпичной, определяются зоны механических и физико-химических разрушений.
К особо опасным повреждениям относятся трещин, которые образуются в результате неравномерной осадки фундаментов и перегрузки. Участки стен с серьёзными повреждениями обследуются инструментально приборами неразрушающего контроля, а при необходимости отбираются пробы материала стен для испытания в лабораторных условиях.
По результатам испытаний и проверочных расчётов уточняются физический износ стен и оцениваются их эксплуатационные качества.
При осмотре колонн
обращают внимание на состояние поверхности, выявляются участки механических повреждений мостовыми кранами, перемещаемым грузом и автотранспортом, фиксируются имеющиеся трещины и анализируются причины их образования. Трещины могут свидетельствовать о коррозии арматуры в бетоне, потере местной устойчивости сжатых стержней (при редком шаге поперечной арматуры), перегрузке колонн и т.п.
При осмотре перекрытий
первоначально оценивается общее состояние их элементов (балок и настила), а затем – состояние полов. Те из элементов, где обнаружены большие прогибы, трещины или следы коррозии материала, подвергаются более глубокому обследованию. Одновременно уточняется длина площадки опирания элементов на поддерживающую конструкцию (консоли колонн, стены, ригели) и корректируется расчётная схема.
При осмотре покрытия основное внимание обращается на состояние несущих конструкций: стропильных ферм, балок и плит настила. Кроме того, обследуются кровля и утеплитель. Обнаруженные следы протечек кровли, зоны переувлажнения утеплителя и разрыва водоизоляционного ковра заносятся на карту дефектов кровли.
Сервис онлайн-записи на собственном Telegram-боте
Попробуйте сервис онлайн-записи VisitTime на основе вашего собственного Telegram-бота:
— Разгрузит мастера, специалиста или компанию;
— Позволит гибко управлять расписанием и загрузкой;
— Разошлет оповещения о новых услугах или акциях;
— Позволит принять оплату на карту/кошелек/счет;
— Позволит записываться на групповые и персональные посещения;
— Поможет получить от клиента отзывы о визите к вам;
— Включает в себя сервис чаевых.
Для новых пользователей первый месяц бесплатно.
Зарегистрироваться в сервисе
Увеличение нагрузки от водонасыщенного утеплителя учитываются в поверочном расчёте прочности покрытия, а снижение теплозащитных свойств утеплителя – в теплотехническом расчёте.
Целью инструментального обследования зданий является получение количественных данных о состоянии несущих и ограждающих конструкций: деформациях, прочности, трещинообразовании и влажности.
Инструментальному обследованию подлежат конструкции с явно выраженными дефектами и разрушениями, обнаруженными при визуальном осмотре, либо конструкции, определяемые выборочно по условию: не менее 10% и не менее трёх штук в температурном блоке, методы инструментального обследования и используемая для этого аппаратура приводятся в таблице 1.
Таблица №1. Методы инструментального обследования
| № п/п |
Исследуемый параметр |
Метод испытания или измерения |
Инструменты, приборы, оборудование |
| 1. |
Объёмная деформация здания |
Нивелирование; теодолитная съёмка |
Нивелиры: Н-3, Н-10, НА-3 и др.
Теодолиты: Т-2, Т-15, ТаН и др.
Фотоаппараты, стереокомпаратор
|
| 2. |
Прогибы и перемещения |
Нивелирование
Прогибомерами:
а) механического действия
б) жидкостными на принципе сообщающихся сосудов
|
Нивелиры: Н-3, Н-10, НА-1 и др.
ПМ-2, ПМ-3, ПАО-5
П-1
|
| 3. |
Прочность бетона |
Метод пластических деформаций (ГОСТ 22690.0-88)
Ультразвуковой метод (ГОСТ 17624-87)
Метод отрыва со скалыванием
(ГОСТ 226900-88)
Метод сдавливания
|
Молоток Физделя, молоток Кашкарова, пружинистые приборы: КМ, ПМ, ХПС и др. УКБ-2, Бетон-5, УК-14П, Бетон-12 и др.
ГПНВ-5, ГПНС-4
Динамометрические клещи
|
| 4. |
Прочность раствора |
Метод пластической деформации |
Склерометр СД-2 |
| 5. |
Скрытые дефекты материала конструкции |
Ультразвуковой метод
Радиометрический метод
|
Приборы: УКБ-1, УКБ-2, Бетон-12, Бетон-5, УК-14П
Приборы: РПП-1, РПП-2, РП6С
|
| 6. |
Глубина трещин в бетоне и каменной кладке |
Подсечка трещин
Ультразвуковой метод
|
Молоток, зубило, линейка
УК-10ПМ, Бетон-12, УК-14П, Бетон-5, Бетон-8УРЦ и др.
|
| 7. |
Ширина раскрытия трещин |
Измерение стальными щупами и пр. С помощью отсчётного микроскопа |
Щуп, линейка, штангенциркуль
МИР-2
|
| 8. |
Толщина защитного слоя бетона |
Магнитометрический метод |
Приборы: ИЗС-2, МИ-1, ИСМ |
| 9. |
Плотность бетона, камня и сыпучих материалов |
Радиометрический метод
(ГОСТ 17623-87)
|
Источники излучения Сs
-137, С0
-60
Выносной элемент типа ИП-3
Счётные устройства (радиометры): Б-3, Б-4, Бетон-8-УРЦ
|
| 10. |
Влажность бетона и камня |
Нейтронный метод |
Источник излучения Ra
-Be
, Датчик НВ-3
Счётные устройства: СЧ-3, СЧ-4, «Бамбук»
|
| 11. |
Воздухопроницаемость |
Пневматический метод |
ДСК-3-1, ИВС-2М |
| 12. |
Теплозащитные качества стенового ограждения |
Электрический метод |
Термощупы: ТМ, ЦЛЭМ, Теплометр ЛТИХП |
| 13. |
Звукопроводность стен и перекрытий |
Акустический метод |
Генератор «белого» шума ГШН-1
Усилители: УМ-50, У-50
Шумомер Ш-60В
Спектометр 2112
|
| 14. |
Параметры вибрации конструкции |
Визуальный метод
Механический метод
Электрооптический метод
|
Вибромарка
Виброграф Гейгера, ручной виброграф ВР-1
Осциллографы: Н-105, Н-700, ОТ-24-51, комплект вибродатчиков
|
| 15. |
Осадка фундамента |
Нивелирование |
Нивелиры: Н-3, Н-10, НА-1 и др. |
Особое внимание уделяется обследованию зданий
, испытавших воздействие пожара
. При этом обследование условно разделяют на предварительное и детальное
.
В процессе предварительного обследования собираются сведения о пожаре, устанавливается место нахождения очага пожара, время обнаружения и ликвидация пожара, максимальная температура, продолжительность интенсивного горения и средства тушения.
На основе имеющейся строительной документации и данных натурного обследования составляются планы этажей, где указываются места расположения аварийных помещений и конструкций. Результаты предварительного обследования оформляют актом и в дальнейшем используются при разработке плана мероприятий детального обследования. К акту прилагается таблица результатов предварительного обследования по форме, указанной в таблице №2.
Таблица №2. Результаты предварительного обследования зданий после пожара
| № п/п |
Обследуемые части здания (оси, этажи) |
Полностью разрушенные конструкции (указать характер разрушения) |
Частично разрушенные конструкции (указать характер разрушения) |
Вывод о необходимости замены или усиления конструкций, возможность нахождения людей на конструкциях или под ними |
Вывод о возможности нахождения людей в обследуемых помещениях |
| 1 |
2 |
3 |
4 |
5 |
6 |
В задачу детального обследования входит определение структурных и физико-механических повреждений материала конструкций, вызванных действием высоких температур и резким охлаждением при тушении пожара.
В процессе детального обследования определяется температура нагрева поверхности конструкций, а также оценивается прочность бетона и арматуры.
Особое внимание при обследовании уделяют прочности материалов конструкций. Прочность бетона определяется как неразрушающими методами (ультразвук, пластическая деформация), так и с частичным разрушением тела конструкции (отрыв со скалыванием, извлечение кернов для лабораторных испытаний и пр.).
Следует подчеркнуть, что наиболее достоверную информацию о прочности бетона даёт испытание кернов. Именно этот метод рекомендуется использовать при обследовании ответственных конструкций.
Показатели прочности арматуры устанавливают испытанием образцов, вырезанных из конструкций, в наибольшей степени поврежденных пожаром.
Если отсутствуют экспериментальные данные, то величину снижения прочности бетона и арматуры определяют через понижающие коэффициенты, регламентируемые нормами.
Обследование грунтов основания и фундаментов
производят при увеличении существующих нагрузок на фундаменты или в связи с неравномерными деформациями основания, приведшими к образованию трещин в стенах эксплуатируемого здания. При этом грунты исследуются с помощью разведочных скважин и шурфов.
Количество разведочных скважин устанавливается по результатам предварительного изучения инженерно-геологической документации, данных натурного обследования конструкций и конфигурации здания.
В районах со сложным инженерно-геологическими условиями, характеризуемыми наличием просадочных или набухающих грунтов, возможностью оползней, количество разведочных скважин увеличивается, а инженерные изыскания проводятся силами специализированных организаций.
Дополнительно к скважинам обследование грунтов основания производится с помощью шурфов.
Шурфы откапываются у стен здания или отдельно стоящих опор на 1,5 метра ниже отметки подошвы фундамента. Количество шурфов устанавливается в зависимости от характера повреждений здания, состояния несущих стен и фундаментов. Если повреждения не связаны с увеличением нагрузок на основание и отсутствуют признаки неравномерной осадки фундаментов, количество шурфов принимается не более трёх на здание с застроечной площадью до 1000 м2
. Количество шурфов соответственно увеличивается при сложных гидрогеологических условиях и просадочных грунтах. Шурфы закладываются в местах с наибольшей деформации стен и подвалов, на участках с разрушенной отмосткой, в зонах локальных подтоплений из водопроводно-канализационной сети.
Из шурфов отбираются пробы грунта для определения физико-механических свойств: влажности, плотности, угла внутреннего трения, удельного сцепления и модуля деформаций. Количество проб, необходимое для определения нормативных и расчётных характеристик, устанавливается в зависимости от степени неоднородности грунта и класса здания.
Результаты инженерно-геологических изысканий представляются в форме отчёта, где отражаются литологическое строение основания, гидрогеологическая характеристика, результаты определения физико-механических свойств грунта. К отчёту прилагаются геологические и гидрогеологические карты, а также инженерно-геологические разрезы толщи грунта (колонки скважин).
Обследование фундаментов производится из тех же шурфов, из которых отбирались пробы грунта. При этом устанавливается тип фундамента, его конфигурация и вид применяемых материалов. Одновременно определяется глубина заложения фундамента, а с помощью сверления или подкопа с использованием Г-образного щупа – и ширина подошвы. При обследовании свайных фундаментов замеряется сечение свай и интервал между ними (на 1 п.м. длины фундамента).
Особо тщательно осматривают узлы сопряжения фундаментов с другими конструкциями: свай с ростверком, отдельных фундаментов с фундаментными балками и колоннами, ленточных фундаментов со стенами. При обнаружении в конструкции фундаментов дефектов производится его дополнительное обследование физическими или механическими методами. Для определения класса бетона обычно используются методы пластического деформирования, а для обнаружения скрытых дефектов – ультразвук.
После выполнения работ по обследованию фундамента шурф послойно засыпается грунтом, утрамбовывается, а затем восстанавливается отмостка.
Результаты обследования фундаментов завершаются составлением технического заключения, где приводятся данные изучения архивных материалов: конструктивные изменения здания в период эксплуатации, даты экстремальных подтоплений грунтовыми технологическими водами, происшедшие деформации фундаментов, изменения технологических (эксплуатационных) нагрузок и пр. Кроме того, представляются эскизы конструкций фундаментов с указанием основных размеров и глубины заложения, а также результаты исследования прочности материала фундамента.
2. Повреждения строительных конструкций
Повреждения строительных конструкций вызываются рядом причин, среди которых – технические недоработки изготовления, низкое качество монтажа, неучтённые проектом силовые и температурные воздействия, нарушение условий эксплуатации (рис. 1).
Повреждения классифицируются по виду и значимости (рис. 2). К наиболее характерным повреждениям, образующимися при эксплуатации зданий, обычно относятся увлажнение, коррозия материала и трещины в конструкциях, а также повреждения, вызванные высокой температурой и резким охлаждением конструкций при пожарах.
Увлажнение конструкций
Повышенное влагосодержание характерно для многих конструкций, контактирующих с водой в процессе изготовления и эксплуатации, при этом различается пять видов увлажнения:
1) при изготовление конструкций (строительная влага);
2) атмосферными осадками;
3) утечками из водопроводно-канализационной сети;
4) конденсатом водяных паров воздуха;
5) капиллярным и электроосмотическим подсосом грунтовой воды.
Практика показывает, что повышенное влагосодержание отрицательно сказывается на эксплуатационных показателях несущих и ограждающих конструкций. С увеличением влажности возрастает коэффициент теплопроводности материала, ухудшаются его теплотехнические свойства. Кроме того, при изменении влажности изменяется объём материала, а при многократном увлажнении расшатывается его структура и снижается долговечность. Неблагоприятно сказывается переувлажнение и на состоянии воздушной среды помещений, ухудшая её с гигиенической точки зрения.
Содержание строительной влаги
в конструкциях обусловлено спецификой их изготовления и в начальный период не превышает следующих величин: для бетонных и железобетонных конструкций – 6…9%, для каменных и армокаменных конструкций – 8…12%.
В дальнейшем при неблагоприятных условиях эксплуатации влажность материала конструкции может существенно увеличиваться.
Увлажнение атмосферными осадками
происходит при повреждениях кровли, неудовлетворительном состоянии водоотводящего оборудования здания (водосточных труб, желобов, водосливов), коротких карнизах и носит преимущественно сезонный характер.
Для защиты стен от увлажнения атмосферными осадками проводятся конструктивные мероприятия, направленные на удлинение коротких карнизов, ремонт и восстановление желобов, водосточных труб и водосливов. Кроме того, поверхность стен оштукатуривается или облицовывается водостойкими материалами. Применяется также покраска стен эмалевыми и лакокрасочными составами.
Увлажнение утечками из водопроводно-канализационной сети
обычно встречаются в зданиях с изношенным санитарно-техническим оборудованием при нарушении сроков проведения планово-предупредительных ремонтов (ППР). Утечки приводят к переувлажнению и быстрому разрушению кладки стен, особенно из силикатного кирпича. Места увлажнения утечками легко обнаруживаются при обследовании стен по характерным пятнам.
Увлажнение утечками устраняется путём ремонта санитарно-технического оборудования с последующим просушиванием конструкций тёплым воздухом.
Увлажнение ограждающих конструкций конденсатом водяных паров воздуха
происходит при температуре точки росы, когда влажность воздуха у поверхности конструкции или в порах её материала оказывается выше максимальной упругости пара при данной температуре и избыток влаги переходит в жидкую фазу.
Механизм образования конденсата внутри ограждающей конструкции достаточно сложен и зависит от многих параметров: разности парциального давления паров воздуха у противоположных поверхностей конструкций, относительной влажности и температуры воздуха внутри и снаружи помещения, а также плотности материала. Степень насыщения воздуха парами воды выражается через относительную влажность воздуха φ,%, определяемую по формуле:

где E – максимальная упругость паров воды при данной температуре;
e – действительная упругость паров воды.
Для средней полосы России при разности температуры внутреннего и наружного воздуха в январе месяце 400
С , .
Значения относительной влажности воздуха и максимальной упругости паров воды составляет соответственно:
, 
, 
Действительная упругость паров воды составляет:
;
.
Парциальное давление паров на внутреннюю поверхность ограждающей конструкции (стены):

Существенная величина парциального давления позволяет воздушному потоку достаточно свободно проникать сквозь толщу наружной стены. Замечено, что чем ниже теплоизоляция наружной стены и больше относительная влажность воздуха в помещении за этой стеной, тем выше опасность ее переувлажнения водяными парами из помещения. Если же наружная поверхность стены покрыта плотным паронепроницаемым материалом, то проникающий через стену водяной пар имеет возможность конденсировать внутри стены, переувлажняя её и увеличивая теплопроводность.
Конденсационное увлажнение предотвращается путем рационального конструирования стен, основанного на выполнении требований норм и расчёте температурно-влажностного режима. Так, например, в зданиях, эксплуатируемых в условиях умеренно-влажностного и сухого климата, сопротивление наружных стен уменьшается от внутренней поверхности к наружной, при этом пароизоляция располагается на внутренней поверхности стены. Особенно это важно при защите от переувлажнения наружных стен влажных и мокрых помещений (бань, саун, прачечных и др.).
При выборе наружной отделки стен следует помнить, что опасны как ее паронепроницаемость, так и чрезмерная пористость. Если в первом случае возможно переувлажнение стены конденсатом, то во втором – атмосферной влагой.
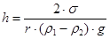
Увлажнение капиллярным и электроосмотическим подсосом
грунтовой влаги характерно для стен, у которых отсутствует горизонтальная гидроизоляция или когда гидроизоляция расположена ниже отмостки.
Механизм капиллярного увлажнения основан на действии сил притяжения между молекулами твердого тела и жидкости (явление смачивания). При отсутствии в материале стены гидрофобных (водоотталкивающих) веществ вода смачивает стенки капилляров и поднимается по ним. Высоту поднятия воды в капилляре h
можно определить по известной формуле Д.Жюрена:
,
где - радиус капилляра, см;
и - соответственно плотность воды и воздуха, ;
- ускорение свободного падения, ;
- поверхностное натяжение воды, .
В капиллярно-пористых материалах, таких как плотный бетон, цементно-песчаный раствор или кирпич, радиус капилляров находится в пределах: . Поверхностное натяжение воды при температуре составляет . Если пренебречь плотностью воздуха, то максимальная высота подъёма воды в капилляре за счёт сил смачивания составит примерно 1,5м.
При обследовании зданий подъём грунтовой влаги в стенах наблюдался на высоту до 5м, что существенно превышает высоту капиллярного подсоса. По-видимому, решающую роль в этом играет действие электроосмотических сил.
Под электроосмосом
понимается направленное движение жидкости, от анода к катоду, через капилляры или пористые диафрагмы при наложении электрического поля.
Следует отметить, что слабые электрические поля всегда присутствуют в стенах, испытывающих перепады температуры по длине или на противоположных поверхностях (термоэлектрический эффект Зеебека). При этом положительные заряды (аноды) группируются главным образом у основания стены в зоне контакта с грунтом, а отрицательные (катоды) – вверху.
Рассматривая стены из капиллярно-пористого материала как своеобразную диафрагму, следует полагать, что грунтовая вода за счёт электроосмотических сил поднимается вверх по стене в сторону катода. Так как потенциал электрического поля стены изменяется под воздействием внешних факторов (перепада температуры, интенсивной солнечной инсоляции, влажности воздуха), то и величина электроосмотического увлажнения – переменная.
Изложенные теоретические предпосылки дают основание к применению электроосмоса для регулирования влажности и осушения стен.
Электроосмотическое осушение стен производится тремя способами:
а) коротким (посредством стальных полос) замыканием противоположных полюсов электрического поля стены, включая фундамент (пассивное осушение). Для этого стальные полосы на наружной поверхности стены располагаются с шагом 0,3-0,5м. Длина полос принимается не менее высоты увлажнения стены;
б) наложенным током с напряжением 40-60В и силой тока 3-5А. При этом электрический ток подаётся от генератора постоянного тока. Положительный полюс генератора подключается к стальной полосе, расположенной в верхней части стены, а отрицательный – к полосе, закреплённой на фундаменте. Продолжительность сушки наложенным током обычно не превышает двух-трёх недель [2].в) гальваническими элементами (медно-цинковыми, угольно-цинковыми и пр.).
Активный элемент (протектор) устанавливается в грунте на уровне подошвы фундамента, а пассивный – на внутренней поверхности осушаемой стены. Расстояние между электродами гальванических пар определяется расчётным путём на основании данных о гальванической активности элементов, пористости стены, радиусе капилляров, коэффициенте электроосмоса и удельной электропроводности воды.
Расчётные формулы приводятся в [8,1]. Электроосмотическое осушение стен гальваническими элементами пока не нашло широкого применения и находится в стадии дальнейшей разработки и совершенствования.
При реконструкции зданий, рассчитанных на длительную эксплуатацию (50 и более лет), радикальными методами защиты стен от увлажнения грунтовыми водами считаются водоотведения, а также восстановление или устройство новой гидроизоляции стен.
Одним из эффективных способов отведения грунтовых вод от стен подвальных помещений и заглублённых сооружений является дренаж.
При проектировании дренажа необходимо учитывать, что водопонижение, особенно в глинистых и пылеватых песчаных грунтах, влечёт за собой уплотнение и осадку осушаемой толщи грунта, что может привести к значительным деформациям фундаментов. Дополнительная осадка зданий на осушаемой территории определяется из расчёта, что каждый метр понижения уровня подземных вод соответствует увеличению нагрузки на грунт 9,8 кН/м. Для защиты подземных сооружений от грунтовых вод в комбинации с дренажом эффективно устройство противофильтрационных завес, выполняемых набивкой глины или нагнетанием битума.
К наиболее сложным и трудоёмким процессам или в ремонтных работах относятся восстановление или устройство новой гидроизоляции стен здания
. Значения гидроизоляции трудно переоценить, поскольку она является единственным надёжным способом защиты стен от воздействия и проникновения капиллярной грунтовой влаги, безнапорных и напорных грунтовых вод. При этом горизонтальная гидроизоляция препятствует капиллярному и электроосмотическому подсосу влаги вверх по стене, а вертикальная – поверхностному увлажнению и проникновению влаги в подвальные помещения.
Проведению ремонтно-восстановительных работ по гидроизоляции здания предшествует тщательное обследование его подземной части, особенно стен подвальных помещений, выполненных из бетонных блоков, бутовой или кирпичной кладки и имеющих большое количество швов. Обследование проводится при временном понижении уровня грунтовых вод путём их откачивания из шурфов или иглофильтрами. Для предотвращения вымывания грунта из подошвы фундаментов шурфы и иглофильтры размещаются вне подвальных помещений.
Выявленные участки повреждений гидроизоляции удаляются вручную с помощью металлических щёток и скребков или с использованием механических способов. При незначительных повреждениях гидроизоляция ремонтируется с применением, по возможности, тех же гидроизоляционных материалов. Если повреждения превышают 40%, то целесообразна замена гидроизоляции на более эффективную. При выборе типа гидроизоляции учитываются гидрогеологические условия эксплуатации здания, категория сухости помещений и трещиностойкость ограждающей конструкции.
Ремонт и восстановление горизонтальной
гидроизоляции стен может производиться двумя методами: инъецированием в кладку стен гидрофобных веществ, препятствующих капиллярному подсосу влаги, и закладкой нового гидроизоляционного слоя из рулонных материалов.
Инъецирование производится растворами кремнийорганических соединений ГКЖ-10 и ГКЖ-11 через отверстия в стенах, располагаемые в один или два ряда. Расстояние между рядами принимается 25см, а между отверстиями в ряду – 35…40см. Отверстия диаметром 30…40мм сверлятся на глубину, примерно равную 0,9 толщины стены. Подача раствора производится одновременно через 10-12 инъекторов (стальные трубки диаметром 25мм), вставленных в отверстия в стене, и зачеканенных паклей.
Количество раствора , необходимое для гидроизоляции 1 п.м. стены, определяется по формуле [9]:
,
где - толщина стены, м;
- высота обрабатываемой зоны, м (≈0,6м);
- пористость материала стены,% (≈20%).
Гидроизоляцию нежилых помещений можно производить с помощью электросиликатизации по методу проф. Л.А. Цебертовича. В этом случае через инъекторы подаются последовательно растворы жидкого стекла и хлористого кальция. В результате химического взаимодействия образуется гель кремниевой кислоты, заполняемый поры в материале кладки и препятствующий капиллярному подсосу влаги. Обработка кирпичной кладки стен производится в поле постоянного тока с градиентом потенциала 0,7-1В/см [9].
Восстановление горизонтальной гидроизоляции стен рулонными материалами (рубероидом, гидроизол-пергамином и пр.) производится участками длиной 1-1,5м. Для этого с помощью отбойного молотка или других механизмов пробиваются сквозные отверстия в стене на высоту двух рядов кладки, в которые укладываются два слоя рулонного материала на битумной мастике. Затем отверстия заделываются кирпичом на обычном цементно-песчаном растворе М75-100. Для включения в работу восстановленного участка стены зазор между новой и старой кладкой тщательно зачеканивается раствором, приготовленном на расширяющемся цементе.
Горизонтальная гидроизоляция рулонными материалами устраивается примерно на 30 см выше планировочной отметки (отмостки здания) и на расстоянии не менее 5 см от нижней плоскости перекрытия подполья. В зданиях с полами по грунту, расположенными в уровне отмостки, горизонтальную гидроизоляцию стен целесообразно восстанавливать методом инъецирования гидрофобных составов, размещая инъекторы на 5 см выше уровня отмостки.
Коррозия железобетонных конструкций
Железобетонные конструкции постоянно подвергаются воздействию внешней среды, в результате которого возникает коррозия материала. По характеру воздействий различают химическую, электрохимическую и механическую коррозию. Следует отметить, что граница между химической и электрохимической коррозией часто бывает условной и зависит от многих параметров окружающей среды.
При химической коррозии происходит непосредственное химическое взаимодействие между материалами конструкции и агрессивной средой, не сопровождающееся возникновением электрического тока. Химическая коррозия может быть газовой и жидкой, однако в обоих случаях отсутствуют электролиты.
При электрохимической коррозии коррозионные процессы протекают в водных растворах электролитов, во влажных газах, в расплавленных солях и щелочах. Характерным является возникновение электрических токов как результата коррозионного процесса, при этом в арматуре и закладных деталях одновременно протекают окислительный и восстановительный процессы.
Механическая коррозия (деструкция) имеет место в материалах неорганического происхождения (цементный камень, растворная составляющая бетона, заполнитель) и вызывается напряжениями внутри материала, достигающими предела его прочности на растяжение. Внутренние напряжения в пористой структуре материала возникают вследствие разных причин, среди которых кристаллизация солей, отложение продуктов коррозии, давление льда при замерзании воды в порах и капиллярах. В композиционных материалах, характерным представителем которых является бетон, внутренние напряжения в зоне контакта заполнитель – цементный камень возникает при резких сменах температур в результате разных коэффициентов линейно-температурного расширения.
Из-за ограниченного объёма учебного пособия вопросы коррозии бетона и арматуры в железобетонных конструкциях рассматривается в тезисной форме. Для более углублённого изучения данного вопроса следует использовать специальную литературу [10].
Коррозия бетона
Бетон, как искусственный конгломерат, по составу исходных материалов достаточно долговечен и не нуждается в специальном уходе, если эксплуатируется в нормальных температурно-влажностных условиях и отсутствии агрессивной среды. В таких условиях работает относительно небольшой класс конструкций, расположенных внутри жилых и общественных зданий или же в сооружениях, эксплуатируемых в тёплых и сухих климатических районах.
Различаются три вида физико-химической коррозии.
Коррозия
I
вида
. Внешним ее признаком является налёт на поверхности бетона в месте испарения или фильтрации свободной воды. Коррозия вызывается фильтрацией мягкой воды сквозь толщину бетона и вымыванием из него гидрата окиси кальция: Ca(OH)2
(гашёная известь) и CaO (негашёная известь). В связи с этим происходит разрушение и других компонентов цементного камня: гидросиликатов, гидроалюминатов, гидроферритов, так как их стабильное существование возможно лишь в растворах Ca(OH)2
определённой концентрации. Описанный процесс называется выщелачиванием цементного камня. По результатам исследований [2] выщелачивание из бетона 16% извести приводит к снижению его прочности примерно на 20%, при 30%-ном выщелачивании прочность снижается уже на 50%. Полное исчерпание прочности бетона наступает при 40-50%-ной потере извести.
Следует учитывать, что если приток мягкой воды незначительный и она испаряется на поверхности бетона, то гидрат окиси кальция не вымывается, а остаётся в бетоне, уплотняет его, тем самым прекращая его дальнейшую фильтрацию. Этот процесс называется самозалечиванием
бетона.
Коррозии
I
вида
особо подвержены бетоны на портландцементе. Стойкими оказываются бетоны на пуццолановом портландцементе и шлакопортландцементе с гидравлическими добавкими.
Коррозии
II
вида
. Характерным для коррозии II вида является химическое разрушение компонентов бетона (цементного камня и заполнителей) под воздействием кислот и щелочей.
Кислотная коррозия
цементного камня обусловлена химическим взаимодействием гидрата окиси кальция с кислотами:
а) соляной: Ca(OH)2
+2HCl=CaCl2
+H2
O;
б) серной: Ca(OH)2
+H2
SO4
=CaSO4
+H2
O;
в) азотной: Ca(OH)2
+H2
NO3
=Ca(NO)3
+H2
O,
в результате чего Ca(OH)2
разрушается.
При фильтрации кислотных растворов через толщу бетона продукты разрушения вымываются, его структура делается пористой, и конструкция утрачивает несущую способность. Таким образом, скорость коррозии возрастает с увеличением концентрации кислоты и скорости фильтрации.
Влияния углекислоты на бетон неоднозначно. При малой концентрации СO2
углекислота, взаимодействую с известью, карбонизует её, т.е.
Ca(OH)2
+H2
СO3
=CaСO3
+2H2
O
Образующийся в результате химической реакции карбонат кальция CaСO3
является малорастворимым, поэтому концентрации его на поверхности предохраняет бетон от разрушения в зоне контакты с водной средой, увеличивает его физическую долговечность.
При высокой концентрации СO2
углекислота реагирует с карбонатом, превращая его в легкорастворимый бикарбонат Ca(HСO3
)2
, который при фильтрации агрессивной воды вымывается из бетона, существенно снижая его прочность.
Таким образом, скорость разрушения бетона, с одной стороны, зависит от толщины карбонизированного слоя, а с другой – от притока раствора углекислоты.
В реальных конструкциях процесс коррозии бетона оценивается по результатам анализа продуктов фильтрации: если в фильтрате обнаруживается бикарбонат Ca(HСO3
)2
, то это свидетельствует о развитии коррозии. Безопасным для бетона считается раствор углекислоты с содержанием СO2
< 15 мг/л и скоростью фильтрации менее 0,1 м/с.
Следует отметить, что при концентрации растворов кислот выше 0,0001N, практически все цементные бетоны, за исключением кислотоупорных, быстро разрушаются. Однако при этом более стойкими оказываются бетоны плотной структуры на портландцементе.
Стойкость бетонов в кислотной среде также зависит от вида заполнителей. Менее подвержены разрушению заполнители силикатных пород (гранит, сиенит, базальт, песчаник, кварцит).
Щелочная коррозия
цементного камня происходит при высокой концентрации щелочей и положительной температуре среды. В этих условиях растворяются составляющие цементного клинкера (кремнезём и полуторные окислы), что и вызывает разрушение бетона. Более стойкими к щелочной коррозии являются бетоны на портландцементе и заполнителях карбонатных пород.
К особо агрессивным средам, вызывающим коррозию II вида, следует отнести:
а) свободные органические кислоты (например, уксусная, молочная), растворяющие кальций;
б) сульфаты, способствующие образованию сульфоалюмината кальция или гипса;
в) соли магния, снижающие прочность соединений, содержащих известь;
г) соли аммония, разрушающе действующие на композиты, содержащие известь.
Помимо названных химикатов вредными для бетона являются растительные и животные жиры и масла, так как они, превращая известь в мягкие соли жирных кислот, разрушают цементный камень.
Коррозия
III
вида
. Признаком кристаллизационной коррозии III вида является разрушение структуры бетона продуктами кристаллообразования солей, накапливающихся в порах и капиллярах.
Кристаллизация солей
может идти двумя путями:
а) химическим взаимодействием агрессивной среды с компонентами камня;
б) подсосом извне соляных растворов.
И в том и в другом случаях кристаллы соли выпадают в осадок, кальматирую (заполняя) пустоты в бетоне. На начальном этапе это позитивный процесс, ведущий к уплотнению бетона и повышению его прочности. Однако в последующем продукты кристаллизации настолько увеличиваются в объёме, что начинают рвать структурные связи, приводя к интенсивному трещинообразованию и многочисленным локальным разрушениям бетона.
Определяющим фактором кристаллизационной коррозии является наличие в водных растворах сульфатов кальция, магния, натрия, способных при взаимодействии с трёхкальциевым гидроалюминатом цемента образовывать кристаллы. Следовательно, к более стойким к коррозии III вида следует относить такие бетоны, в которых использованы цементы с низким содержанием трёхкальциевого алюмината, а именно: в портландцементе – до 5%, в пуццолановом и шлакопортландцементе – до 7%.
Физико-механическая деструкция (разрушение) бетона при периодическом замораживании и оттаивании
характерна для многих конструкций, незащищённых от атмосферных воздействий (открытые эстакады, путепроводы, опоры ЛЭП и др.). Разрушающих факторов при замораживании бетона в водонасыщенном состоянии несколько: кристаллизационное давление льда; гидравлическое давление воды, возникающее в капиллярах вследствие отжатия ее из зоны замерзания; различие в коэффициентах линейного расширения льда и скелета материала и пр.
Постепенное разрушение бетона при замораживании происходит вследствие накопления дефектов, образующихся во время отдельных циклов. Скорость разрушения зависит от степени водонасыщения бетона, пористости цементного камня, вида заполнителя. Более морозостойки бетоны плотной структуры с низким коэффициентом водопоглащения.
Влияние производственных масел
(нефтепродуктов) на прочность бетона неоднозначно. Разрушающе действуют на бетон только те нефтепродукты, которые в значительном количестве содержат поверхностно-активные смолы [3]. К ним относятся все минеральные масла, дизельное топливо. В то же время бензин, керосин, вазелиновое масло практически не снижают прочности бетона, однако, как и другие нефтепродукты, уменьшают сцепление бетона с гладкой арматурой уменьшается примерно на 50%.
Прочность промасленного бетона при свободной фильтрации минерального масла можно определить по формуле [3]:
,
где – продолжительность пропитки маслом, г:
- первоначальная прочность бетона, МПа.
Если время пропитки более 8 лет, прочность бетона следует принимать равной 1/3 от первоначальной.
При периодическом попадании масел на конструкцию (1-2 раза в год) прочность промасленного бетона следует подсчитывать по формуле
.
Формула справедлива при воздействии масла в течение 25-30лет. В более поздние сроки прочность бетона следует принимать равной 1/3 от первоначальной.
Методы защиты бетона эксплуатируемых конструкций при физико-химических и физико-механических агрессивных воздействиях
Защита бетона эксплуатируемых конструкций осуществляется различными способами в зависимости от характера разрушительного воздействия. Классификация методов защиты приведена на рисунке 6.
Подготовка
бетонной поверхности к проведению ремонтно-восстановительных работ состоит в тщательной очистке разрушенных участков от посторонних включений и наслоений. Очистка может быть проведена вручную с помощью зубила и металлической щётки, механическим способом с применением вращающихся проволочных щёток или с помощью пескоструйного аппарата. Подготовленная поверхность грунтуется специальными составами, обладающими высокими адгезионными свойствами. Для этого часто используется растворная смесь из портландцемента и кварцевой муки, замешанная на воде с добавлением синтетических смол. Свежая грунтовка посыпается сухим кварцевым песком крупностью 0,2-0,7мм. В качестве грунта могут быть использованы синтетические смолы в «чистом виде».
Наложение шпаклёвочной
массы необходимо производить по несхватившейся поверхности грунтовки. В шпаклёвку желательно добавить кварцевый песок крупностью 0,1-0,4мм.
Если поверхность ремонтируемого участка достаточно большая (0,5м и более), то целесообразно делать набрызг цементного раствора и торкретирование.
Торкретирование
производится растворной смесью в соотношении цемент:песок=1:3. Смесь подаётся с помощью цемент-пушки под давлением 5-6 атм. Разбрызгивающее сопло располагается на расстоянии 0,5-1 м от ремонтируемой поверхности. Торкретирование ведётся слоями, толщина каждого из которых не более 4 см. Все последующие слои можно наносить только после схватывания предыдущего.
На отремонтированные участки и окружающие бетонные поверхности наносится защитный слой покрытия, вид которого обусловлен возможными агрессивными воздействиями.
Эффективной защитой железобетонных конструкций от атмосферных осадков может служить их гидрофобизация или флюатирование
. В первом случае бетон пропитывается на глубину 2-10мм гидрофобными (водоотталкивающими) составами на основе кремнийорганических полимерных материалов: ГКЖ-94, ГКЖ-10. Составы наносятся кистью или пульвелизатором на предварительно очищенную сухую поверхность конструкции.
Во втором случае делается обработка бетона 3-7%-ным раствором кремнийфтористоводородной кислоты. При этом кремнийфтористомагний MgSiF6
, реагирую с ионами кальция, образует на стенках пор и капилляров цементного камня нерастворимый защитный слой из кристаллов фтористого кальция и кремнезёма.
Флюат наносится на поверхность бетона в 3-4 слоя. Интервал между нанесением слоёв обычно составляет 4 часа.
Коррозия арматуры
Арматура в бетоне играет исключительно важную роль, так как воспринимает растягивающее напряжение от внешней нагрузки, обеспечивая прочность конструкции, поэтому коррозия арматуры недопустима.
Рассмотрим некоторые химические процессы, обусловливающие защитные и разрушительные факторы, воздействующие на арматуру.
Под влиянием щелочной среды цементного бетона (pH=12,5-12,6) стальная арматура пассивируется, т.е. защищается от окисления. Однако щелочность защитного слоя бетона в результате воздействия воды и содержащихся в воздухе двуокисей углерода CO2
и серы SO2
постепенно снижается, и, если она оказывается ниже значений pH=9,5, в арматуре начинаются окислительные процессы.
Последовательность образования агрессивной среды и депассивация арматуры происходит следующим образом:
образование и воздействие углекислоты
CO2
+H2
O=H2
CO3
,
которая, реагирую с окисью кальция, содержащейся в бетоне, образует карбонат кальция и остаточную воду
H2
CO3
CaO=CaCO3
+H2
O
(указанная реакция протекает в течение нескольких лет, понижаю величину pH в защитном слое бетона на 2,5-4 ед.);
образование и воздействие серной кислоты
SO2
+H2
O= H2
SO4
,
которая, реагируя с окисью кальция, образует гипс и остаточную воду
H2
SO4
+CaO=CaSO4
+H2
O,
(в результате этой реакции величина pH дополнительно может снижаться на 1-3ед., достигая велицины pH=6(7).
Скорость депассивации арматуры зависит главным образом от толщины защитного слоя бетона и степени агрессивности среды. Нормы [4] регламентируют эти величины также с учётом показателя проницаемости бетона [4, табл. 1] и типа арматурной стали [4, табл. 10].
Виды коррозии арматуры
Коррозия арматуры может быть вызвана разными неблагоприятными факторами, обусловливающими химическое и электрохимическое воздействие. К ним относятся растворы кислот, щелочей, солей, влажные газы, природные и промышленные воды, а также блуждающие токи.
В кислотах, не обладающих окислительными свойствами
(соляная кислота), стальная арматура сильно корродирует в результате образования растворимых в воде и кислоте продуктов коррозии, причём с увеличением концентрации соляной кислоты скорость коррозии возрастает.
В кислотах, обладающих окислительными свойствами
(азотная, серная и др.), при высоких концентрациях скорость коррозии, наоборот, уменьшается из-за пассивации поверхности арматуры.
Скорость коррозии арматуры в щелочных растворах при pH>10 резко снижается из-за образования нерастворимых гидратов закиси железа. Растворы едких щелочей и карбонаты щелочных металлов практически не разрушают арматуру, если их концентрация не превышает 40%.
Солевая коррозия
арматуры зависит от природы анионов и катионов, содержащихся в водных растворах солей.
В присутствии сульфатов, хлоридов и нитратов щелочных металлов, хорошо растворимых в воде, солевая коррозия усиливается.
И, наоборот, присутствие карбонатов и фосфатов, образующих нерастворимые продукты коррозии на анодных участках, способствует затуханию коррозии. На интенсивность солевой коррозии арматуры влияет кислород, который окисляет ионы двухвалентного железа и понижает перенапряжение водорода на катодных участках. С повышением концентрации кислорода скорость коррозии увеличивается.
Рассматривая воздействие газов
, следует особо отметить агрессивность окислов азота NO, NO2
, N2
O и хлора Cl, которые в присутствии влаги вызывают сильную коррозию арматуры.
Практика обследования железобетонных конструкций, соприкасающихся с грунтом, указывает на частные случаи разрушения арматуры блуждающими токами
, которые появляются из-за утечек электроэнергии с рельсов электрифицированных железных дорог, работающих на постоянном токе, или других источников. В месте входа тока в конструкцию образуется катодная зона, а в месте выхода – анодная, или зона коррозии. Опыты показывают, что блуждающие токи распространяются на десятки километров в стороны от источника, практически не утрачивая силы тока, которая может достигать сотни ампер. Расчёты с использованием закона Фарадея показывают, что ток силою всего в 1-2А, стекая с конструкции, в течение года может уносить до 10кг железа. Обычно скорость разрушения арматуры блуждающими токами заметно превышает скорость разрушения от химической коррозии. Опасной для конструкции считается плотность тока При анализе агрессивных воздействий на железобетонные конструкции учитываются факторы, сопутствующие коррозии арматуры, и, кроме того, разрабатываются соответствующие защитные мероприятия.
Требования к армированию конструкций, работающих в агрессивной среде
В соответствии с рекомендациями [4] не допускается использование в предварительно-напряжённых конструкциях, эксплуатируемых в сильноагрессивных газообразных и жидких средах, стержневой арматуры класса A-V и термически упрочнённой арматуры всех классов. Нельзя также применять проволочную арматуру класс B-II, Bp-IIи стержневую классов A-V, Aт-IV в конструкциях из бетона на пористых заполнителях, эксплуатируемых в агрессивной среде, если не предусмотрены специальные защитные покрытия.
Оцинкованная арматура рекомендуется к применению только в тех случаях, когда невозможно обеспечить требуемую плотность бетона и толщину защитного слоя.
Восстановление эксплуатационных качеств конструкции с корродированной арматурой
Образование продуктов химической коррозии на арматуре увеличивает её объём, вследствие чего бетон защитного слоя механически разрушается. Это выражается в появлении волосных трещин по направлению арматурного стержня. Со временем трещины раскрываются, бетон защитного слоя отслаивается, и корродированная арматура оголяется. Для восстановления эксплуатационных качеств необходимо с помощью металлической щётки или пескоструйного аппарата очистить арматуру от ржавчины и оценить степень её коррозии. Если коррозией повреждено более 50% площади сечения арматурного стержня, то повреждённый участок вырезается и производится его замена на новый, равноценный по площади стержень, привариваемый электродуговой сваркой. При площади менее 50% повреждённый участок не вырезается, а на него наваривается дополнительный стержень усиления, компенсируемый разрушенное сечение.
На все оголённые участки арматуры наносится защитное покрытие из эпоксидной смолы, обладающей хорошей адгезией к бетону и стали.
Хорошей защитой арматуры также является послойное нанесение торкретбетона толщиной слоёв 1-1,5см, приготовленного на смеси цемент: песок=1:2 (1:3) и наносимого на обрабатываемую поверхность с расстояния 1-1,2 м.
Характеристики бетонного покрытия (плотность бетона, толщина защитного слоя), независимо от способа нанесения покрытия, должны соответствовать показателям и требованиям, представленным в таблицах 3 и 4.
Таблица № 3. Требования к бетону конструкций, эксплуатируемых в агрессивных средах
| Плотность бетона |
Условное обозначение |
Показатели, характеризующие плотность бетона |
| марка бетона по водонепроницаемости |
водопоглащение, %, по массе |
водоцементные отношения, не более |
Нормальная
Повышенная
Особо высокая
|
Н
П
О
|
В-4
В-6
В-8
|
5,7-4,8
4,7-4,3
4,2 и менее
|
0,6
0,55
0,45
|
Таблица № 4. Требования к плотности и толщине защитного слоя бетона
| Степень агрессивного воздействия |
Минимальная толщина защитного слоя бетона, мм, для конструкций, эксплуатируемых |
Плотность бетона конструкций, армированных сталью, классов |
| в газообразной среде |
в жидкой среде |
AI, АII, AIII, AIV, BpI |
ВП, ВРП, каналы |
AV, AVI, Aт-IVC, AтV, AтVI |
| ребристых плит, балок |
ферм, колонн |
| Слабая |
15 |
20 |
25 |
Н |
П |
П |
| Средняя |
15 |
20 |
30 |
П |
О |
О |
| Сильная |
20 |
25 |
35 |
О |
О |
Не допускается |
Трещины в железобетонных конструкциях
Трещины в железобетонных конструкциях эксплуатируемых зданий встречаются достаточно часто, являясь следствием ряда причин. Они могут возникать как от силового воздействия на конструкции, так и в результате температурных и усадочных напряжений в бетоне.
Ввиду большого разнообразия, трещины обычно разделяются по следующим признакам:
причине возникновения
:
а) трещины от внешних силовых воздействий при эксплуатации конструкций Т;
б) трещины от силового воздействия при неправильном складировании, перевозке и монтаже конструкций Тм
;
в) трещины от силового воздействия при обжатии бетона предварительно-напряжённой арматурой То
;
г) трещины технологические (от усадки бетона, плохого уплотнения бетонной смеси, неравномерного паропрогрева, жесткого режима тепловлажностной обработки бетона) Ту
;
д) трещины, образовавшиеся в результате коррозии арматуры, Тк
;
значению
:
а) трещины, указывающие на аварийное состояние конструкции;
б) трещины, увеличивающие водопроницаемость бетона (в резервуарах, трубах, стенах подвала);
в) трещины, снижающие долговечность конструкции из-за интенсивной коррозии арматуры;
г) трещины «обычные», не вызывающие опасений в надёжности конструкции (ширина раскрытия «обычных» трещин не должна превышать величин, указанных в [5, табл. 21]).
Исследуя характер распространения и раскрытия видимых трещин, в большинстве случаев можно определить причину их образования, а также оценить степень опасного состояния конструкции.
Трещины от силового воздействия обычно располагаются перпендикулярно действию главных растягивающих напряжений. Основные виды «силовых» трещин представлены в табл. 5.
Усадочные трещины в плоских конструкциях распределяются хаотично по объёму, а в конструкциях сложной конфигурации концентрируются в местах сопряжения элементов (узлы ферм; сопряжение полки и ребёр в плитах, двутавровых балках и т.д.). Трещины от коррозии проходят вдоль корродируемых арматурных стержней.
Таблица № 5
Трещины в железобетонных конструкциях
| Вид трещин |
Форма трещин |
Элементы конструкций |
| Сквозная клиновидная |
 |
Внецентренно растянутые элементы |
| Сквозная внахлёстку |
 |
Внецентренно растянутый нижний пояс безраскосной фермы |
| Несквозная клиновидная |
 |
Изгибаемые и внецентренно сжатые элементы |
| Сквозная с параллельными стенками |
 |
Центрально-растянутые элементы раскосных ферм |
| Замкнутая наклонная |
 |
Приопорная зона изгибаемых элементов |
| Несквозная продольная |
 |
Предварительно напряжённые элементы в зоне заанкеривания арматуры. Сжатые элементы. |
Трещины в плитах перекрытий
Рассмотрим наиболее часто встречающиеся случаи обнаружения трещин в железобетонные перекрытиях промышленных зданий, которые, как правило, работают в сложных условиях, испытывая технологические перегрузки, ударные и вибрационные воздействия, разрушающее влияние технических масел и других агрессивных сред, что приводит к их быстрому износу, а следовательно, и появлению трещин. Как видно из рис.8, характер трещин, обусловленных силовым воздействием, зависит от статической схемы плиты перекрытия: вида и характера действующей нагрузки, способов армирования и соотношения пролётов. При этом трещины располагаются перпендикулярно главным растягивающим напряжениям.
Причинами широкого раскрытия «силовых» трещин обычно является перегрузка плиты, недостаточное количество рабочей арматуры или неправильное её размещение (сетка смещена к нейтральной оси). Если ширина раскрытия трещин превышает 0,3мм, плиты усиливаются методом наращивания с дополнительным армированием. В местах приложения больших сосредоточенных сил усиливается зона, воспринимающая нагрузку, для чего используются различные распределительные устройства (стальные листы, балки, густоармированная набетонка и пр.
Трещины в балках с обычным армированием
Характерным для балок является образование нормальных (вертикальных) и наклонных (косых) трещин на боковой поверхности, причём нормальные трещины возникают в зоне действия наибольших изгибающих моментов, а наклонные – в зоне действия наибольших касательных напряжений, вблизи опор.
Картина трещинообразования балок в основном зависит от статической схемы, вида поперечного сечения и напряжённого состояния. На рис.2.9, а, б показаны «силовые» трещины в однопролётной и многопролётной балках прямоугольного сечения. Характерно, что нормальные трещины имеют наибольшую ширину раскрытия у растянутой грани, в то время как наклонные – вблизи центра тяжести сечения.
Нормальные трещины с шириной раскрытия более 0,5мм обычно свидетельствуют о перегрузке балки или недостаточном её армировании продольной рабочей арматурой.
Наклонные трещины, особенно в зоне заанкеривания рабочей продольной арматуры, считаются наиболее опасными, так как могут привести к внезапному обрушению балки. Причинами образования и раскрытия наклонных трещин часто служат низкий класс бетона, большой шаг поперечной арматуры, низкое качество сварки поперечных и продольных стержней.
Трещины в предварительно напряжённых балках
Балки, армированные высокопрочной арматурой классов A-V, A-VI, B-II, K-7, изготавливаются предварительно напряжёнными с повышенными требованиями к трещиностойкости, поэтому появление в них широко раскрытых трещин всегда свидетельствует либо о серьёзных технологических недоработках, либо перегрузках. На рис.9, в показаны характерные трещины в предварительно напряжённой стропильной балке, в табл.№6 представлены возможные причины образования чрезмерно раскрытых трещин.
При оценке эксплуатационной пригодности обследуемых балок важным показателем является ширина раскрытия силовых трещин. Следует однако отметить, что действующие нормы, регламентируя ширину трещин с позиции долговечности конструкции, игнорируют тот факт, что она является, кроме того, и показателем напряжённого состояния сечения.
На кафедре строительных конструкций ПГАСА разработан метод обследования балок, базирующийся на новых представлениях о параметрах трещинообразования, где ширина нормальных трещин, расстояние между ними, а так же прогиб балок играют определяющую роль. При этом обработка результатов обследования состоит из следующих этапов:
- по формуле определяется максимально допустимая безопасная ширина раскрытия трещин, которая сопоставляется с фактически измеренной, . Если < , то переходят к следующему этапу;
- по формуле находится средняя деформация арматуры на участке с трещинами;
- по формуле вычисляется кривизна элемента, как функция от прогиба;
- по формуле определяется относительная деформация сжатия бетона в сечении с трещиной;
- по графикам расчётных диаграмм состояний бетона и арматуры определяются уровни соответствующих напряжений и формулируется вывод о степени опасности напряжённого состояния сечения в целом.
Таблица № 6. Трещины в балках
| Номера трещин |
Возможные причины образования трещин |
| 1 |
Недостаточное напряжение балки:
малая величина натяжения арматуры, большие потери предварительного напряжения.
Перегрузка балки по нормальному сечению
|
| 2 |
Брак при изготовлении: низкий класс бетона, большой шаг поперечной арматуры, плохое приваривание поперечных стержней к продольным.
Перегрузка балки по наклонному сечению
|
| 3 |
Низкий класс бетона.
Перегрузка балки по нормальному сечению
|
| 4 |
Нарушение анкеровки предварительно напряжённой арматуры: низкий класс бетона, недостаточная прочность бетона на момент обжатия |
| 5 и 6 |
Отсутствие косвенного армирования в зоне заанкеривания предварительно напряжённой арматуры.
Низкая прочность бетона на момент обжатия
|
| 7 |
Недостаточное косвенное армирование.
Соединение сваркой закладных деталей смежных балок в нарушение расчётной схемы
|
| 8 |
Перегрузка балки по нормальному сечению.
Недостаточное количество рабочей арматуры
|
Для балок, армированных стержнями из мягкой стали с площадкой текучести, уровень достигнутых напряжений ≤0,85 считается не опасным, и балки могут эксплуатироваться с пониженной до расчётной величины нагрузкой без усиления. При уровне напряжений <0,85 требуется усиление нормального сечения.
Оценка напряжённого состояния балок по результатам натурного обследования является достаточно перспективной и при условии дальнейшего накопления экспериментальных данных, включаяющих длительные испытания, многорядное положение рабочих стержней, предварительное напряжение, может использоваться в поверочных расчётах.
Трещины в колоннах
Картина трещин в колоннах главным образом зависит от вида внецентренного сжатия и характера действующих нагрузок. Кроме того, заметное влияние оказывают технологические параметры: прочность бетона, качество армирования, условия твердения и пр. При больших эксцентриситетах приложения нагрузки в растянутой зоне могут образовываться широкораскрытые горизонтальные трещины поз.1, свидетельствующие о перегрузке колонны или её недостаточном армировании. При малых эксцентриситетах появляются трещины поз.2, являющиеся следствием перегрузки ствола колонны или низкого класса бетона. Появление вертикальных «силовых» трещин часто провоцируется усадочными, совпадающими с ними по направлению.
Низкое качество сварного соединения продольных и поперечных стержней или слишком большой шаг поперечной арматуры приводят к потере устойчивости сжатых продольных стержней и появлению трещин поз. 3. Отсутствие косвенного армирования в зоне концентрации сжимающих напряжений у верха колонны вызывает образование вертикальных трещин поз. 4. О недостаточном армировании, или явной перегрузке консоли, свидетельствуют трещины поз. 5 и 6.
Ствол колонны с «силовыми» трещинами, как правило, усиливается железобетонной или стальной обоймой, а консоль с помощью затяжек, конструкция которых приводится ниже.
Трещины в стропильных фермах
Трещинообразование в стропильных фермах обусловлено особенностью их статической работы как пространственных конструкций. Соединение элементов фермы в узлах создаёт предпосылки для концентрации в них разнородных по знаку и характеру напряжений: сжимающих, растягивающих, касательных. В результате концентрации напряжений узлы подвержены наиболее интенсивному трещинообразованию и требуют значительного расхода арматуры. Большие растягивающие усилия в нижнем поясе приводят к появлению сквозных вертикальных трещин, а сжимающие усилия в верхнем поясе – к появлению несквозных горизонтальных трещин.
Картина трещинообразования в раскосной стропильной ферме сегментного очертания, характеристика трещин дана в табл. №7
Таблица № 7. Трещины в стропильных фермах
| Номера трещин |
Возможные причины образования трещин |
| 1 |
Низкий класс бетона.
Недостаточное количество поперечной арматуры:
большой шаг стержней, малый диаметр
|
| 2 |
Недостаточное преднапряжение продольной арматуры, проскальзывание её в зоне заанкеривания.
Недостаточное количество поперечной арматуры
|
| 3 |
Нарушение анкеровки преднапряжённой арматуры:
низкий класс бетона, недостаточная прочность бетона на момент обжатия
|
| 4 |
Недостаточное косвенное армирование от усилий обжатия преднапряжённой арматурой |
| 5 и 6 |
Отсутствие косвенного армирования (сетки, замкнутые хомуты) в зоне заанкеривания преднапряжённой арматуры.
Низкая прочность бетона на момент обжатия
|
| 7 |
Недостаточное косвенное армирование узла поперечными стержнями (сетками) |
| 8 |
Недостаточное заанкеривание рабочей арматуры растянутого элемента в узле фермы.
Слабое косвенное армирование узла
|
| 9 |
Недостаточное преднапряжение нижнего пояса.
Перегрузка фермы
|
| 10 |
Низкий класс бетона.
Перегрузка фермы
|
| 11 |
Изгиб из плоскости фермы при монтаже, перевозке, складировании |
| 12 |
Перегрузка фермы.
Смещение арматурного каркаса относительно продольной оси элемента
|
Трещины в сборных панелях перекрытий
Сборные ребристые панели перекрытий (покрытий) типа П, 2Т представляют собой пространственную конструкцию, объединяющую балки (рёбра) и плиту, поэтому характер образования трещин от эксплуатационной нагрузки у них практически не отличается от ранее рассмотренных конструкций – балок и плит. Это наглядно видно из картины трещин в ребристой плите, представленной на рис.11, а. Однако следует отметить, что из-за сложности конструктивной формы, плотного армирования при изготовлении панелей часто образуются и технологические дефекты в виде щелеобразных раковин и усадочных трещин. К ним относятся трещины, идущие вдоль арматурных стержней и возникающие от разрыва уплотнённой бетонной смеси при вибрировании; продольные щелеобразные раковины под арматурными стержнями от зависания бетонной смеси; трещины от температурной деформации формы при пропаривании; усадочные трещины при жёстком режиме тепловлажностной обработки, высоком расходе вяжущего, большом водоцементном соотношении.
Для многопустотных панелей перекрытий характерны технологические трещины в рёбрах между пустотами, образующиеся при вытягивании пуансонов, а также продольные трещины в верхней полке вдоль пустот.
Панели перекрытий с технологическими трещинами шириной раскрытия более 0,2 мм ремонтируются или отбраковываются.
Трещины в каменных конструкциях
Кирпичная кладка, как и бетон, хорошо сопротивляются сжатию и значительно хуже растяжению. В результате этого на растянутой поверхности кладки задолго до разрушения появляются трещины. Имеются также и другие факторы, способствующие образованию трещин:
а) низкое качество кладки (несоблюдение перевязки, толстые растворные швы, забутовка кирпичным боем);
б) недостаточная прочность кирпича и раствора (трещиноватость и криволинейность кирпича, высокая подвижность раствора и т.п.);
в) совместное применение в кладке разнородных по прочности и деформативности каменных материалов (например, глиняного кирпича совместно с силикатным или шлакоблоками);
г) использование каменных материалов не по назначению (например, силикатного кирпича в условиях повышенной влажности);
д) низкое качество работ, выполняемых в зимнее время (использование не очищенного от наледи кирпича, применение смёрзшегося раствора);
е) отсутствие температурно-усадочных швов или недопустимо большое расстояние между ними;
ж) агрессивные воздействия внешней среды (кислотное, щелочное и солевое воздействия, попеременное замораживание и оттаивание, увлажнение и высушивание);
з) неравномерная осадка фундаментов.
Анализируя картину трещин в каменной кладке, следует помнить, что появление отдельных трещин в перевязочных камнях свидетельствует о перенапряжении.
Развитие трещин, как правило, указывает на значительное перенапряжение кладки и необходимость её срочной разгрузки или усиления.
Трещины в кирпичных внецентренно сжатых колоннах
Характер трещинообразования в кирпичных колоннах, так же как и в железобетонных, зависит от величины эксцентриситета приложенной силы.
При больших эксцентриситетах в растянутой зоне колонн по неперевязанному шву образуются горизонтальные трещины. С увеличением эксплуатационной нагрузки трещины раскрываются и удлиняются, в результате может произойти потеря устойчивости колонны или разрушение её сжатой зоны.
При малых эксцентриситетах горизонтальных трещин может не быть. Однако, если имеет место перегрузка колонны, появляются вертикальные продольные трещины.
Внецентренно сжатые кирпичные колонны, на поверхности которых имеются горизонтальные и вертикальные трещины шириной раскрытия более 0,5 мм, обычно требуют усиления.
Трещины в кирпичных стенах
Причинами образования трещин в стенах могут быть как внешние силовые воздействия, так и внутренние усилия, обусловленные влиянием окружающей среды и физико-химическими процессами, протекающими в материалах кладки. В зданиях с железобетонными перекрытиями, работающими совместно со стенами, причиной появления трещин может быть разница коэффициентов температурного расширения железобетона и каменной кладки.
Следует отметить, что образующиеся в стенах трещины имеют различную направленность и глубину проникновения в кладку. Так, при центральном сжатии в зоне перегрузки образуются вертикальные, параллельные направлению действующей силы, трещины, распространяющиеся на всю глубину стены. При внецентренном сжатии возможно образование неглубоких горизонтальных трещин, сопровождающихся выпучивание стены. Если под концом железобетонной или стальной балки отсутствует распределительная консрукция (армированный слой раствора или железобетонная подушка), то в зоне опирания часто образуются вертикальные неглубокие трещины, свидетельствующие о чрезмерных сжимающих напряжениях в кирпичной кладке.
Из внешних силовых воздействий, вызывающих интенсивное трещинообразование, особо опасными следует признать те, которые возникают при неравномерной осадке фундаментов под стенами. Так, в зданиях без подвалов причиной неравномерной осадки может стать рытьё траншеи под водопроводно-канализационные сети ниже отметки фундаментов или рытьё котлована под новое здание в непосредственной близости к существующему. Увеличивает опасность образования трещин и вибрация грунтового основания в результате близкой забивки свай.
Картина трещин анализируется, одновременно выявляются особо опасные для несущей способности стен повреждения. Возможные причины образования трещин указываются в табл. 8.
Таблица 8. Причины образования трещин в стенах
| Номер трещины |
Возможные причины образования трещин |
| 1 |
Неравномерная осадка фундаментов: изменение влажности грунта, пучение грунта при замораживании, выдавливание грунта при рытье глубоких траншей вблизи здания |
| 2 |
Перегрузка простенка.
Низкая прочность каменной кладки
|
| 3 |
Недопустимо большая длина температурного блока (отсутствие температурно-усадочного шва) |
| 4 |
Низкая прочность каменной кладки.
Недостаточная площадь опирания перемычки.
Большие температурные деформации перемычки
|
| 5 |
Температурные деформации расширения стального (железобетонного) прогона.
Отсутствие зазора между торцом прогона и каменной кладкой стены
|
| 6 |
Переувлажнение кладки.
Низкая прочность камня и раствора
|
Способы залечивания трещин
Залечивание трещин в конструкциях производится разными методами, одним из которых является инъецирование, т.е. нагнетание в трещины растворов. В зависимости от вида конструкции, формы и размеров дефектов инъецирование осуществляется различными видами растворов, по названию которых даются определения: силикатизация, битумизация, смолизация и цементация.
Силикатизация
состоит из двух этапов. На первом – через пробуренные в конструкции отверстия нагнетается жидкое стекло, которое, проникая через трещины в тело конструкции, заполняет их; на втором – нагнетается раствор хлористого кальция, который, реагируя с жидким стеклом, образует труднорастворимый гидросиликат кальция CaOSiO2
·2,5H2
O и нерастворимый гель кремнезёма SiO2
·nH2
O. Силикатизация используется для залечивания трещин в конструкциях, работающих в агрессивных и слабоагрессивных средах.
Битумизация
заключается в нагнетании в конструкцию разогретого до 200-3000
С битума марки III, причём конструкция должна иметь низкую влажность, чтобы не было парообразования. Битумизация не увеличивает прочности конструкции, однако она является хорошим средством повышения её водонепроницаемости и коррозийной стойкости.
Смолизация
состоит в нагнетании в трещины и пустоты компаундов эпоксидных смол, что является надёжным способом повышения коррозийной стойкости и существенного увеличения прочности конструкции.
Цементация
трещин представляет собой наиболее распространённый способ залечивания конструкций, при котором используется цементная смесь разных составов в зависимости от ширины раскрытия трещин. Виды цементных составов даны в табл. 9 Цементная смесь готовится на портландцементе или тампонажном цементе марок 400 и 500, засыпаемых в воду с последующим интенсивным перемешиванием в течение 2-3 мин. Готовая смесь процеживается через сито с ячейками 0,5-1 мм. Смесь должна быть использована в течение 30 мин.
Инъецирование трещин, т.е. процесс нагнетания смеси в залечиваемую конструкцию, состоит из трёх операций:
- подготовка скважин;
- установка и омоноличивание инъекционных трубок;
- нагнетание смеси.
Таблица № 9. Характеристика цементных составов
| Ширина раскрытия трещин, мм |
Цементно-водное соотношение (Ц/В) |
Плотность смеси, т/м3
|
| 1-3 |
0,7 |
1,366 |
| 3-5 |
1 |
1,7 |
| 5-8 |
1,5 |
1,58 |
| 8-10 |
2 |
1,62 |
Подготовка заключается в расчистке и расширении участка конструкции с трещинами, где предполагается установить трубки, при этом удаляются грязь, наплывы раствора и инородные включения. Количество подготавливаемых скважин определяется рабочей схемой из расчёта не менее двух трубок на одну трещину. Глубина скважин должна составлять 50-70 мм, диаметр – 18-25 мм. Скважины желательно делать под углом 60-800
к вертикальной поверхности, обеспечивая хорошее стекание смеси в дефектный участок.
Инъекционные трубки заделываются в конструкцию цементным раствором состава 1:3 с осадкой конуса 2-3 см. При больших размерах трещин вокруг трубки укладывается пропитанная смолой или жидким стеклом пакля, которая плотно зачеканивается. Конец трубки должен выступать над поверхностью конструкции на 50-80 мм для крепления к ней шланга.
На каждом обработанном участке устанавливается не менее двух трубок: в одну нагнетается смесь, а другая служит для контроля. Смесь нагнетается специальными ручными насосами (НИИ Мосстроя или С-402А), а нагнетания небольших объёмов смеси используются различные шприцы.
Рабочее давление при инъецировании раствора составляет 1-4 атм., но может повышаться в отдельных случаях до 10-20 атм. Продолжительность инъекции цементным раствором на один инъектор должна быть не более 10 мин. Инъекционные трубки извлекаются из конструкции через 6 часов после окончания инъекции.
Повреждения конструкций при пожарах
Повреждения конструкций при пожарах происходят в результате воздействия высоких температур. При этом ухудшаются эксплуатационные качества конструкций, снижается прочность материала, сила сцепления арматуры с бетоном, уменьшаются размеры рабочего сечения. Из-за неравномерного температурного нагрева может изменяться расчётная схема элементов, работающих в составе неразрезных систем.
При пожарах большой интенсивности и длительности деревянные и металлические конструкции как правило приходят в негодность, в то время как железобетонные и каменные конструкции частично сохраняют эксплуатационные качества.
Рассмотрим более подробно поведение железобетонных конструкций при пожарах.
Бетон является несгораемым и достаточно огнестойким материалом. Однако под воздействием высоких температур снижаются его прочность и защитные свойства по отношению к заключённой в нём арматуре. Кроме того, при продолжительном пожаре сильно нагревается сама арматура, в которой появляются значительные пластические деформации. В результате этого изгибаемые элементы получают недопустимые прогибы и чрезмерно раскрытые трещины, а внецентренно сжатые элементы теряют устойчивость.
По некоторым данным [6] при температуре пожара 1000-11000
C в течение одного часа арматура, расположенная в бетоне, на глубине 2,5 см может нагреваться до температуры 5500
С, при этом модуль упругости снижается на 40…60%.
В соответствии с «Рекомендациями по оценке состояния и усилению строительных конструкций зданий и сооружений» [6] степень повреждения железобетонных конструкций после пожара характеризуется показателями, приведёнными в табл. №10.
По итогам анализа повреждений принимаются решения о ремонте или усилении конструкций. Так, например, консрукции, имеющие слабую степень повреждений, подвергают косметическому ремонту, при средней степени повреждений конструкции ремонтируют путём инъецирования трещин или наращиванием сечения бетона, при сильной степени повреждений конструкции усиливают введением дополнительных опор, наращиванием сечения бетона и арматуры или другими методами, обеспечивающими прочность, жёсткость и долговечность конструкции. При полной степени повреждений состояние конструкций считается аварийным и восстановление их нецелесообразно. Конструкции в этом случае требуют полной или частичной замены.
Таблица № 10. Повреждения конструкций после пожара
Степень
повреждения
|
Характеристика повреждений |
Слабая
Средняя
Сильная
|
Повреждения, не снижающие несущей способности конструкций: наличие следов сажи и копоти; шелушение отдельных слоёв поверхности бетона; незначительные сколы бетона
Повреждения, снижающие несущую способность конструкций: изменение серого цвета бетона до розового и буро-жёлтого; элементы, полностью покрытые сажей и копотью; наличие сколов бетона по углам; обнажение арматурной сетки на плоских элементах площадью около 10%; обнажение угловой арматуры в пределах прямоугольной формы; отделение наружных слоёв бетона без их обрушения; трещины шириной до 0,5 мм.
Повреждения, значительно снижающие несущую способность конструкции: цвет бетона – жёлтый, сколы бетона – до 30% сечения элемента; обнажение арматурной сетки в плоских элементах на площади более 10%; обнажено более 50% рабочей арматуры прямоугольных элементов; выпучен один стержень арматуры элемента; отвалились поверхностные слои бетона; трещины шириной до 1 мм.
Повреждения, свидетельствующие о критическом состоянии конструкции: цвет бетона – жёлтый; сколы бетона – от 30 до 50% площади сечения элемента; обнажено до 90% арматуры; выпучилось более одного стержня арматуры; нарушена анкеровка, сцепление арматуры с бетоном; нагрев арматуры свыше 3000
C; отрыв закладных и опорных деталей; зыбкость конструкции; прогибы свыше 1/50 пролёта; трещины шириной более 1 мм.
|
В процессе проектирования усиления определяется температура нагрева поверхности конструкций, а также оценивается прочность бетона и арматуры. При этом температура нагрева бетона в зависимости от его цвета и других характерных признаков определяется по показателям, приведённым в табл. 11, или опытным путём, на основании физико-химических исследований проб бетона массой 100-200 г, изъятых с поверхностей слоёв конструкций, по методике [12]. Температуру нагрева арматуры, как правило, принимают равной температуре нагрева бетона в исследуемой зоне.
Таблица № 11. Определение температуры нагрева бетона по цвету и другим характерным признакам [11]
| Цвет бетона |
Максимальная температура нагрева,0
C |
Возможные дополнительные эффекты |
| Нормальный |
300 |
Нет |
| Розовый до красного |
300-600 |
Начиная с 3000
С – поверхностные трещины, с 5000
С – глубокие трещины, с 5720
С – раскол или выкал заполнителей, содержащих кварц |
| Серовато-черноватый до тёмно-жёлтого |
600-950 |
700-8000
С – отколы бетона, обнажающие в ряде случаев арматуру, 9000
С – диссоциированный известняковый заполнитель и цементный дегидратированный камень сыплются, крошатся |
| Тёмно-жёлтый |
Более 950 |
Много трещин, отделение крупного заполнителя от растворной части |
Таблица № 12. Определение величины снижения прочности бетона после пожара [11]
| Вид и условия твердения |
Снижение прочности, %, при максимальной температуре нагрева, 0
С |
| 60 |
120 |
150 |
200 |
300 |
400 |
500 |
| Тяжёлый с гранитным заполнителем, естественное |
30 |
30 |
30 |
30 |
40 |
60 |
70 |
| То же, тепловлажностная обработка |
15 |
20 |
20 |
20 |
20 |
30 |
45 |
| То же, с известняковым заполнителем |
15 |
20 |
20 |
25 |
25 |
40 |
60 |
| Лёгкий с керамзитовым заполнителем, тепловлажностная обработка |
10 |
10 |
10 |
10 |
10 |
15 |
20 |
Примечание: 1. После нагрева до температуры выше 5000
С значения прочности бетона принимаются равными нулю. 2. Промежуточные значения прочности бетона устанавливаются линейной интерполяцией.
Таблица № 13. Определение величины снижения прочности арматуры после пожара [11]
| Положение арматуры в конструкции, наличие предварительного напряжения |
Класс арматуры |
Снижение прочности,%, при максимальной температуре нагрева, 0
C |
| 300 |
400 |
500 |
| За пределами зоны анкеровки независимо от преднапряжения |
A-I, A-II, A-III |
нет |
нет |
нет |
| A-IV, A-V, A-VI |
то же |
5 |
10 |
| AТ
-IV, AТ
-V, AТ
-VI |
-„- |
10 |
20 |
| B-II, Bp-II, K-7 |
-„- |
30 |
60 |
В зоне анкеровки арматуры,
ненапрягаемой
|
A-II, A-III, A-IV |
-„- |
20 |
40 |
| A-V, AТ
-III, AТ
-IV |
-„- |
20 |
40 |
| AТ
-V |
-„- |
20 |
40 |
| То же, предварительно напрягаемой |
A-IV, AT
-IV |
-„- |
25 |
50 |
| A-V, AТ
-V |
-„- |
30 |
60 |
| A-VI, AТ
-VI |
-„- |
35 |
70 |
| Bp-II, K-7 |
-„- |
45 |
90 |
| B-II |
-„- |
60 |
- |
Особое внимание при исследованиях уделяют показателям прочности бетона и арматуры, которые определяют с помощью инструментов и приборов приведённых в табл. 1, или испытанием образцов, вырезанных из тела конструкций.
При отсутствии экспериментальных данных величину снижения прочности бетона и арматуры находят через понижающие коэффициенты , и , или в процентном выражении по данным табл. 12 и 13.
Литература
1. И.С. Гучкин. Диагностика повреждений и восстановление эксплуатационных качеств конструкций. – М.: Издательство Ассоциации строительных вузов, 2001.
2. Бойко М.Д. Диагностика повреждений и методы восстановления эксплуатационных качеств зданий. – Л.: Стройиздат, 1975.
3. Васильев Н.М. Влияние нефтепродуктов на прочность бетона //Бетон и железобетон. – 1981. - №3. – с. 36-37.
4. СНиП 2.03.11-85. Защита строительных конструкций от коррозий. – М.: Стройиздат, 1986.
5. Пособие по проектированию бетонных и железобетонных конструкций из тяжёлых и лёгких бетонов без предварительного напряжения арматуры (к СНиП 2.03.01-84). М.: ЦИТП, 1989.
6. Рекомендации по оценке состояния и усилению строительных конструкций промышленных зданий и сооружений. – М.: Стройиздат, 1989.
7. Правила оценки физического износа жилых зданий. ВСН 53-86 (р). – М.: Гражданстрой, 1988.
8. Фридман О.М. Электроомотическая сушка зданий. – М.: Стройиздат, 1970.
9. Грачёв И.А. и др. Гидроизоляция подвалов и стен зданий. – Л., 1970.
10. Балалаев Г.А. и др. Защита строительных конструкций от коррозии. – М.: Стройиздат, 1966.
11. Рекомендации по обследованию зданий и сооружений, повреждённых пожаром/ НИИЖБ. – М.: Стройиздат, 1987.
12. Методические рекомендации по оценке свойств бетона после пожара/НИИЖБ. – М.: Стройиздат, 1985.
|