Введение
Основным назначением архитектуры всегда являлось создание необходимой для существования человека жизненной среды, характер и комфортабельность которой определялись уровнем развития общества, его культурой, достижениями науки и техники. Эта жизненная среда, называемая архитектурой, воплощается в зданиях, имеющих внутреннее пространство, комплексах зданий и сооружений, организующих наружное пространство – улицы, площади и города.
В современном понимании архитектура – это искусство проектировать и строить здания, сооружения и их комплексы. Она организует все жизненные процессы. По своему эмоциональному воздействию архитектура – одно из самых значительных и древних искусств. Сила ее художественных образов постоянно влияет на человека, ведь вся его жизнь проходит в окружении архитектуры. Вместе с тем, создание производственной архитектуры требует значительных затрат общественного труда и времени. Поэтому в круг требований, предъявляемых к архитектуре наряду с функциональной с функциональной целесообразностью, удобством и красотой входят требования технической целесообразности и экономичности. Кроме рациональной планировки помещений, соответствующим тем или иным функциональным процессам удобство всех зданий обеспечивается правильным распределением лестниц, лифтов, размещением оборудования и инженерных устройств (санитарные приборы, отопление, вентиляция). Таким образом, форма здания во многом определяется функциональной закономерностью, но вместе с тем она строится по законам красоты.
Сокращение затрат в архитектуре и строительстве осуществляется рациональными объемно – планировочными решениями зданий, правильным выбором строительных и отделочных материалов, облегчением конструкции, усовершенствованием методов строительства. Главным экономическим резервом в градостроительстве является повышение эффективности использования земли.
1. Характеристика района строительства, назначение здания
Объектом строительства является девятиэтажное жилое здание
Место строительства: г. Всеволожск
Здание предназначено для проживания в нем людей. В здании имеются 3-х и 4-х комнатные квартиры. В связи с этим в здании могут проживать как небольшие, так и многодетные семьи.
Характеристика условий строительства:
Рельеф местности – спокойный
Тип грунтов – суглинок
2. Архитектурно-конструктивная часть
Основным назначением архитектуры всегда являлось создание необходимой для существования человека жизненной среды, характер и комфортабельность, которой определялись условием развития общества, его культурой, достижением науки и техники. Эта жизненная среда, называемая архитектурой, воплощает в зданиях, имеющих внутреннее пространство, комплексах зданий и сооружений, организующих наружное пространство – улицы, площади и города.
В современном понимании архитектура – это искусство проектировать и строить здания, сооружения и комплексы. Она организует все жизненные процессы. По своему эмоциональному восприятию архитектура – одно из самых значительных и древних искусств. Сила её художественных образов постоянно влияет на человека, ведь вся его жизнь проходит в окружении архитектуры. Вместе с тем, создание производственной архитектуры требует значительных затрат общественного труда и времени. Поэтому в круг требований, предъявляемых к архитектуре наряду с функциональной целесообразностью, удобством и красотой входит требования технической целесообразности и экономичности. Кроме рациональной планировки помещений, соответствующим тем или иным функциональным процессам, удобство всех зданий обеспечивается правильным распределением лестниц, лифтов, размещением оборудования и инженерных устройств. Таким образом, форма здания во многом определяется функциональной закономерностью, но вместе с тем она строится по законам красоты.
2.1 Выбор иописание конструктивной схемы здания
Согласно заданию тема проекта: 9 этажное жилое здание. Размером в осях 28.2 на 16 м. Здание расположено в городе Всеволожск, Ленинградской области. Средняя температура наиболее холодной пятидневки -26 0
С.
Здание относится к многоэтажным жилым домам 1-ого секционного типа:
Забиваем Сайты В ТОП КУВАЛДОЙ - Уникальные возможности от SeoHammer
Каждая ссылка анализируется по трем пакетам оценки: SEO, Трафик и SMM.
SeoHammer делает продвижение сайта прозрачным и простым занятием.
Ссылки, вечные ссылки, статьи, упоминания, пресс-релизы - используйте по максимуму потенциал SeoHammer для продвижения вашего сайта.
Что умеет делать SeoHammer
— Продвижение в один клик, интеллектуальный подбор запросов, покупка самых лучших ссылок с высокой степенью качества у лучших бирж ссылок.
— Регулярная проверка качества ссылок по более чем 100 показателям и ежедневный пересчет показателей качества проекта.
— Все известные форматы ссылок: арендные ссылки, вечные ссылки, публикации (упоминания, мнения, отзывы, статьи, пресс-релизы).
— SeoHammer покажет, где рост или падение, а также запросы, на которые нужно обратить внимание.
SeoHammer еще предоставляет технологию Буст, она ускоряет продвижение в десятки раз,
а первые результаты появляются уже в течение первых 7 дней.
Зарегистрироваться и Начать продвижение
- класс здания по степени долговечности – 2;
- класс здания по степени огнестойкости – 1;
- стены – кирпич
- перекрытия и покрытия – сборные железобетонные;
- здание имеет продольные несущие стены;
- опирание лестничных маршей осуществляется на поперечные стены лестничной клетки.
В проектируемом доме каждая квартира состоит из следующих помещений:
· жилые комнаты,
· кухня,
· прихожая (коридор),
· ванная, туалет
· балкон.
Все жилые комнаты освещены естественным светом в соответствии с требованиями СНиП 1:5,4, комнаты в квартирах имеют отдельные входы, высота помещения – 2,8 м. Кухня оборудована вытяжной естественной вентиляцией, мойкой, электроплитой. Стены возле кухонного оборудования облицовывающая глазурованной плиткой, остальные – моющимися обоями. Пол в квартирах покрыт линолеумом по растворной стяжке. Ванна и туалет облицованы керамической плиткой.
2.2
Подбор конструктивных элементов здания, их сопряжений
Фундаменты:
Под жилое здание запроектирован ленточный сборный железобетонный фундамент. Подушки Ф-16, фундаментные блоки ФБС -24 -6–6; ФБС -24 -5–6. Подушки и фундаментные блоки укладывают на раствор толщиной 20 мм.
Наружные стены:
Здание запроектировано с продольными и поперечными несущими стенами. Наружные стены здания запроектированы из плотного красного кирпича М-100. Жёсткость здания в поперечном направлении обеспечивается несущими стенами лестничной клетки.
Перекрытия и покрытия:
Перекрытия и покрытия запроектированы из типов сборных пустотных железобетонных плит с предварительным напряжением арматуры. Применение сборных плит перекрытий и покрытий увеличивает скорость возведения здания. Кровля запроектирована с внутренним водостоком.
Перегородки:
Перегородки выполняются из кирпича шириной 12 см
Окна:
Окна в значительной мере определяют степень комфорта в здании и его архитектурно-художественное решение. Окна подобраны по ГОСТ-у, в соответствии с площадями освещаемых помещений. Верх окон расположен на 40 сантиметров ниже потолков помещений, что обеспечивает лучшую освещённость в глубине комнаты. Для остекления принимаем пластиковые стеклопакеты.
Двери:
В данном дипломном проекте размеры дверей приняты по ГОСТ-у: наружные двери усиленные. Двери приняты одностворчатые и двухстворчатые. Для обеспечения быстрой эвакуации все двери открываются наружу по направлению движения на улицу исходя из требований пожарной безопасности. Для наружных деревянных дверей; и по лестничным клеткам в тамбуре коробки устраивают с порогами, а для внутренних дверей – без порога. Дверные полотна навешивают на петлях (навесах), позволяющих снимать их с петель – для ремонтаили замены. Во избежание нахождения дверей в открытом состоянии или хлопанья, устанавливают специальные пружинные устройства, которые держат дверь в закрытом состоянии. Двери оборудуются ручками, защёлками и врезными замками. Полы: Полы в жилых и общественных зданиях должны удовлетворять требованиям прочности, сопротивляемости износу, достаточной эластичности, бесшумности, удобства уборки. Конструкция рассмотрена как звукоизолирующая способность перекрытия плюс звукоизоляция конструкции пола. Покрытие пола в сан. узлах, выполнено из кафельной плитки. В комнатах, коридоре, на кухне, бытовых комнатах – линолеум. Стяжка выполняется из раствора.
Сервис онлайн-записи на собственном Telegram-боте
Попробуйте сервис онлайн-записи VisitTime на основе вашего собственного Telegram-бота:
— Разгрузит мастера, специалиста или компанию;
— Позволит гибко управлять расписанием и загрузкой;
— Разошлет оповещения о новых услугах или акциях;
— Позволит принять оплату на карту/кошелек/счет;
— Позволит записываться на групповые и персональные посещения;
— Поможет получить от клиента отзывы о визите к вам;
— Включает в себя сервис чаевых.
Для новых пользователей первый месяц бесплатно.
Зарегистрироваться в сервисе
Отделка:
Наружная отделка: цокольная часть из декоративной штукатурки по сетке.
Внутренняя отделка: в комнатах производится штукатурка, шпаклевка и покраска стен, сан. узлы облицовываются керамической плиткой, производится клеевая окраска потолков.
Отопление:
Отопление и горячее водоснабжение запроектировано из магистральных тепловых сетей, с нижней разводной по подвалу. Приборами отопления служат конвектора. На каждый блок – секцию и каждый встроенный блок выполняется отдельный тепловой узел для
регулирования и учёта теплоносителя. Магистральные трубопроводы и трубы стояков, расположенные в подвальной части здания изолируются и покрываются алюминиевой фольгой.
Водоснабжение:
Холодное водоснабжение запроектировано от коллектора водоснабжения с двумя вводами. Вода на каждую секцию подаётся по внутридомовому магистральному трубопроводу, расположенного в подвальной части здания, который изолируется и покрывается алюминиевой фольгой. На каждую блок-секцию и встроенный блок устанавливается рожка ввода.
Вокруг дома выполняется магистральный пожарный хозяйственно-питьевой водопровод с колодцами, в которых установлены. пожарные гидранты.
Канализация:
Канализация централизованная. От каждой квартиры идет слив в стояк. Затем в подвале эти стояки соединяются в одну трубу, которая и соединяется с магистральной трубой канализации города.
Энергоснабжение:
Энергоснабжение выполняется от городской подстанции с запиткой по две секции двумя кабелями – основной и запасной. Все электрические щиты расположены на первых этажах.
Телевидение:
На всех блок – секциях монтируются телевизионные антенны, с их ориентацией на телецентр и установкой усилителя телевизионного сигнала. Все квартиры подключаются кантенне коллективного пользования.
Телефонизация:
К каждой блок секции дома и встроенным блокам из внутриквартальной телефонной сети подводится телефонный кабель и в зависимости от возможности городской телефонной станции осуществляется подключение абонентов к городской телефонной сети.
2.3 Технико-экономические показатели
Экономические показатели жилых зданий определяются их планировочными и конструктивными решениями характером и организацией санитарно – технического оборудования. Важную роль играет запроектированное (в квартире соотношение жилой и высота помещения, расположение санитарных узлов и кухонного оборудования. Проект жилого здания характеризуют следующие показатели:
- строительный объект (м куб) (в т. ч. подземной части);
- площадь застройки 540 (м2
);
- общая площадь 2388.4 (м2
);
- жилая площадь 1588.95 (м2
).
К1
– отношение жилой площади к общей площади, характеризует рациональность использования площадей,
К1
– отношение строительного объёма к общей площади, характеризует рациональность использования объёма.
Строительный объём надземной части жилого дома с не отапливаемым чердаком определяют как произведение к площади цоколя на высоту, измеренную от уровня пола первого этажа до верхней площади теплоизоляционного слоя чердачного перекрытия.
Строительный объём подземной части здания определяют как произведение к площади горизонтального сечения по внешнему обводу здания на уровне первого этажа, на уровне выше цоколя, на высоту от пола подвала до пола первого этажа.
Строительный объём тамбуров, лоджий, размещаемым в габаритам здания, включается в общий объём. Общий объём здания с подвалом определяется суммой объёмов его подземной к надземной частей.
Площадь застройки рассчитывается как площадь горизонтального сечения здания на уровне цоколя, включая все выступающие части и имеющие покрытия (крыльцо, веранды, террасы).
Жилая площадь квартиры определяют как сумму площадей жилых комнат. Общую площадь квартир рассчитывают как сумму площадей жилых и подсобных помещений, квартир, веранд, встроенных шкафов, лоджий, балконов и террас, подсчитываемую с понижающими коэффициентами. Для лоджий – 0,5.
Площадь помещений измеряются между поверхностями стен и перегородок в уровне пола. Площадь всего жилого здания определяют как сумму площадей этажей, из мереных в пределах внутренних поверхностей наружных стен, включая балконы и лоджии. Площадь лестничных клеток и различных шахт также входит в площадь этажа. Площадь этажа и хозяйственного подполья в площадь здания не включается.
Жилой дом
| Наименование |
Показатель |
| V стр. подз. [м3
] |
905.94 |
| V стр. надз. [м3
] |
12726.3 |
| V общ. [м3
] |
13159,8 |
| S подв. [м2
] |
387.5 |
| S жил. [м2
] |
1988.95 |
| S общ. [м2
] |
2388.4 |
| S застр. [м2
] |
540 |
| S здан. [м2
] |
3258.74 |
| K1
= S жил./ S жил. |
0,42 |
| K2
= V стр./S жил. [м3
/м2
] |
4,08 |
Генеральный план
| Наименование |
Показатель |
| S озел. [м2
] |
36.300 |
| S заст. [м2
] |
540 |
| S дор. [м2
] |
1800 |
| S уч. [м2
] |
2100.7 |
3. Расчетно-конструктивная часть
3.1 Расчет лестничной площадки
Требуется рассчитать ребристую плиту лестничной площадки двух маршевой лестницы
ширина плиты – 2900 мм;
толщина плиты – 220 мм;
временная нормативная нагрузка 3 кН/м2
;
коэффициент надежности по нагрузке gf
=1;
Марки материалов приняты те же, что и для лестничного марша.
Определение нагрузок
Собственный вес плиты при hf
=22 см; qn
=0,22.25000=5500 Н/м2
;
Расчетный вес плиты q=5500.1,1=5000 Н/м2
;
Расчетный вес лобового ребра (за вычетом веса плиты)
q=(0,29.0,22+0,07).1,25000.1,1=2955 Н/м; (3.4.1)
Расчетный вес крайнего ребра
q=0,14.0,09.1.5500.1,1=84 Н/м; (3.4.2)
Временная расчетная нагрузка р=3.1,2=3,6 кН/м2
.
При расчете площадочной плиты рассчитывают раздельную полку, упруго заделанную в ребрах, на которые опираются марши и пристенное ребро воспринимающее нагрузку от половины пролета полки плиты.
Полку плиты при отсутствии поперечных ребер рассчитывают как балочный элемент с частичным защемлением на опорах. Расчетный пролет равен расстоянию между ребрами и равен 1,13 м.
При учете образования пластического шарнира изгибающий момент в пролете и на опоре определяют по формуле, учитывающей выравнивание моментов.
Мs
=ql2
/16=5250.1,132
/16=420 Н/м, (3.4.3)
где q=(g+p) b=(1650+3600).1=5250 Н/м, b=1.
При b=100 см и h0=h-а=6–2=4 см, вычисляем
As
= cм2
; (3.4.4)
По таблице 2.12 определяем: h=0,981, j=0,019,
As
= 0.27 cм2
; (3.4.5)
Укладываем сетку С-I из арматуры &3 мм Вр-I шагом s=200 мм на 1 м длины с отгибом на опорах, Аs
=0,36 см2
.
Расчет лобового ребра
На лобовое ребро действуют следующие нагрузки:
постоянная и временная, равномерно распределенные от половины пролета полки, и от собственного веса:
q=(1650+3600) . 1,35/2+1000=4550 Н/м; (3.4.6)
Равномерно распределенная нагрузка от опорной реакции маршей, приложенная на выступ лобового ребра и вызывающая ее кручение,
q =Q/a=17800/1,35=1320 Н/м. (3.4.7)
Изгибающий момент на выступе от нагрузки q на 1 м:
M1
=q1
(10+7)/2=1320.8,5=11200 Н.см=112 Н.м; (3.4.8)
Определяем расчетный изгибающий момент в середине пролета ребра (считая условно ввиду малых разрывов, что q1
действует по всему пролету):
M=(q+q1
) l0
2
/8=(4550+1320) 3,22
/8=7550 Н/м. (3.4.9)
Расчетное значение поперечной силы с учетом gn
=0,95
Q=(q+q1
) lgn
/2=(4550+1320) 3,2.0,95/2=8930 Н; (3.4.10)
Расчетное сечение лобового ребра является тавровым с полкой, в сжатой зоне, шириной bf
9=bf
9+b2
=6.6+12=48 cм. Так как ребро монолитно связано с полкой, способствующей восприятию момента от консольного выступа, то расчет лобового ребра можно выполнить на действие только изгибающего момента, М=7550Н.м.
В соответствии с общим порядком расчета изгибающих элементов определяем (с учетом коэффициента надежности gn
=0,95).
Расположение центральной оси по условию (2,35) при x=hf
9
Mgn
=755000.0,95=0,72.10¢Rb
gb2
bf
9hf
9(h0
-0.5hf
9)=
=14,5.100.0,9.48.6 (31,5–0,5.6)=10,7.106
H.см, (3.4.11)
условие соблюдается, нейтральная ось проходит в полке,
A0
= (3.4.12)
h=0,993, j=0,0117
As
= cм2
; (3.4.13)
принимаем из конструктивных соображений 2&10 А-II, Аs
=1,570 см2
; процент армирования m=(Аs
/bh0
) . 100=1,57.100/12.31,5=0,42%.
Расчет наклонного сечения лобового ребра на поперечную силу Q=8,93 кН
Вычисляем проекцию наклонного сечения на продольную ось,
Вb
=wb2
(1+wf
+wn
) Rbt
gb2
bh0
2
(3.4.14)
Вb
=2.1,214.1,05.100.12.31,52
=27,4.105
H/см,
гдеwn
=0;
wf
=(0,75 . 3.h9f
) h9f
/bh0
=0,75.3.62
/12.31,5=0,214¢0,5; (3.4.15)
(1+wf
+wn
)=(1+0,214+0)=1,214¢1.5 (3.4.16)
в расчетном наклонном сечении Qb
=Qsw
=Q/2, тогда
с=Вb
. 0,5 .Q=27,4.105
/0,5.8930=612 см, (3.4.17)
что больше. 2h0
=2.31,5=63; принимаем с=63 см.
Qb
=Bb
/c=27,4.105
/63=43,4.103
Н=43,4 кН$Q=8,93 кН, (3.4.18)
Следовательно, поперечная арматура по расчету не требуется.по конструктивным требованиям принимаем закрытые хомуты (учитывая изгибающий момент на консольном выступе) из арматуры диаметром 6 мм класса А-I шагом 150 мм.
Консольный выступ для опирания свободного марша армируют сеткой С-2 из арматуры диаметром 16 мм, класса А-I, поперечные стержни этой сетки скрепляют с хомутами каркаса К-I ребра. Расчет второго продольного ребра площадочной плиты выполняют аналогично расчету лобового ребра без учета нагрузки от лестничного марша.
4. Технология и организация строительства
4.1 Ведомость строительно-монтажных работ
| Nп.п. |
Наименование работ |
Объем работ |
| Ед. изм. |
Кол-во |
| 1 |
2 |
3 |
4 |
| 1 |
Подготовительные работы |
| 2 |
Снятие растительного слоя |
м3
|
95.2 |
| 3 |
Разработка грунта экскаватором |
м3
|
1.263 |
| 4 |
Доработка грунта вручную |
м3
|
87.3 |
| 5 |
Устройство фундамента |
м3
|
289.5 |
| 6 |
Гидроизоляция фундамента |
м2
|
539.5 |
| 7 |
Обратная засыпка котлована |
м2
|
1.196 |
| 8 |
Устройство стен из кирпича и Монтаж ж\б конструкций |
м3
|
3.890 |
| 9 |
Устройство рулонной кровли |
м3
|
388 |
| 10 |
Утепление кровли |
м2
|
58.1 |
| 11 |
Заполнение оконных проемов |
м3
|
389 |
| 12 |
Заполнение дверных проемов |
м2
|
374 |
| 13 |
Бетонная подготовка под полы |
м2
|
436 |
| 14 |
Устройство цементной стяжки |
м2
|
29.3 |
| 15 |
Штукатурка стен |
м2
|
7.066 |
| 16 |
Отделка цоколя |
м2
|
71 |
| 17 |
Облицовка стен керамической плиткой |
м2
|
415.5 |
| 18 |
Клеевая окраска потолков |
м2
|
2.926 |
| 19 |
Устройство линолеума |
м2
|
2.510 |
| 20 |
Водоснабжение и водоотведение |
Чел.\дни |
114.4 |
| 21 |
Отопление |
Чел.\дни |
114.4 |
| 22 |
Электромонтажные работы |
Чел.\дни |
114.4 |
| 23 |
Благоустройство и озеленение |
Чел.\дни |
- |
| 24 |
Непредвиденные работы |
Чел.\дни |
- |
| 25 |
Сдача обьекта |
- |
4.2 Проектирование календарного плана
Наиболее ответственным и важным в календарном планировании является составления графика производства работ. При составлении календарного графика необходимо учитывать: директивный срок строительства; технологическую последовательность выполнения работ; максимальное совмещение во времени отдельных видов работ; выполнения работ крупными строительными машинами в две – три смены; равномерное распределения рабочих; соблюдения правил охраны труда и техники безопасности.
Календарный график состоит из двух частей: левой – расчётной и правой – графической.
Продолжительность работ на графике обозначается линией вектором. Над ним указывается количество рабочих. Продолжительность работ для механизированных процессов определяется количеством машино-смен. Для остальных – из расчёта количество рабочих, в бригаде или звене, выполняющих данный процесс. Число рабочих определяется в соответствии с принятой трудоёмкостью. Нельзя допускать больших изменений количества рабочих, так как график их движения будет с большим перепадом.
Необходимо стремиться к постоянному количеству рабочих на объекте. Изменения в их количестве допускается до 20%.
График надо составлять так, чтобы после окончания работы на одной захватке рабочие переходили на другую.
Мелкие и однородные работы могут выполняться бригадой одной специальности, например: ручная доработка грунта, устройство песчаной подготовки под фундаменты, рытьё траншей под шлаковую или песчаную засыпку фундаментных балок, шлаковая или песчаная засыпка и устройство гидроизоляции фундаментных балок; подготовка под отмостку, устройство отмостки, благоустройство территории.
В процессе разработки календарного графика необходимо предусматривать равномерное использование рабочих. Для этого по мере составления плана под ним вычёркивается график изменения численности рабочих. За каждый день суммируется количество рабочих и в соответствующем масштабе откладывается по вертикали; соединяя эти величины по горизонтали, получаем график.
Стремясь построить равномерный график изменения численности рабочих в целом по объекту, не надо нарушать технологическую последовательность ведения работ и правила охраны труда.
Если график оказался неудовлетворительным, нужно календарный график активировать, изменив сроки выполнения работ или количество рабочих по отдельным процессам.
При разработке календарного графика зимний период необходимо предусмотреть дополнительные трудовые затраты на утепление бытовых и производственных временных зданий и сооружений, рыхление мёрзлых грунтов или на взрывной способ разработки и т.п.
На основании подсчетов объема работ и трудоемкости разрабатывается календарный план. Календарный план строительства разрабатывается как на стадии проектного здания, так и рабочего проекта. Календарный план производства работ составляется по форме, установленной «Инструкцией о порядке составления и утверждения проектов организации строительства и проектов производства работ» СНиП 47–87.
Календарный план показывает развитие процесса работы во времени и пространстве (с привязкой к дням календаря) и охватывает весь комплекс работ, начиная от подготовительных работ и кончая сдачей построенного объекта приемной комиссии. Календарный план составляется с учетом окончания строительства в планированный срок или, если это позволяют ресурсы, условия производства работ и техническая характеристика объекта, досрочно.
Календарный план производства строительных работ разрабатывается в графической форме, которая может быть горизонтально-линейным графиком. График позволяет определить начало и окончание операций, комплексных процессов или циклов работ и соответственно расстановку исполнителей.
Основным методом производства работ в календарном плане является последовательный метод производства работ. Отделочный цикл выполняется поточным методом. Захваткой на отделочном цикле является этаж.
Наземный и отделочный цикл соединяются параллельным методом т.к. отделочные работы можно начинать когда над головой смонтированы уже три перекрытия, согласно технике безопасности. При выполнении отделочного цикла комплекс работ выполняется за 10 дней, при этом шаг потока равен два дня и шесть дней.
Специальный комплекс включает в себя все неучтенные работы, а также электромонтажные и сантехнические работы, и работы по благоустройству территории. Специальные работы определяются в процентах от основных строительных работ и ведут параллельно с ними.
Электромонтажные и сантехнические работы согласно правилам безопасности, начинаются после того как снимется кран. Прочие работы начинаются там, где необходимо, где требуется временный завоз, складирование, строповка, строительных материалов, установка кранов, подъемника, устройство складов, бытовых помещений. После окончания возведения здания отводятся сроки на пусконаладочные работы и благоустройство территории.
В календарном плане учитывают равномерное распределение рабочих. Под календарным планом вычерчивается график движения рабочих по профессиям. За каждый день суммируется количество рабочих и в масштабе откладывается по вертикали, соединяя эти величины по горизонтали. При составлении этого графика нарушать технологическую последовательность нельзя. График изменения численности рабочих строиться по объекту в целом.
На основании календарного плана составляется график работы машин и механизмов. Векторы на этом графике соответствуют векторам календарного плана. На векторах указывается количество машин и механизмов в день, неделю, месяц.
Земляные работы и установка фундамента ведётся последовательным методом. Возведения надземной части здания осуществляется поточным методом. Поточный метод является основным при строительстве зданий и сооружений, так как он является основным при выполнении СМР. Он обеспечивает сокращение срока строительства и более высокую производительность труда.
По каждому строительному процессу на основе действующих норм ЕНиР, ГЭСК рассчитываются его нормативная трудоёмкость и требуемое количество машин. При определении общей трудоёмкости по объекту необходимо отдельно учитывать транспортные работы по доставке материалов в рабочую зону, так как в нормах на производство основных работ транспортные расходы даны лишь в пределах рабочей зоны. Расчёт трудоёмкости по транспортным работам производится на основании указанного в стройгенпланеразмещения мест складирования материалов и механизированных установок по приготовлению растворов, бетона и других материалов.
В общее количество трудовых затрат по объекту включаются такие затраты, связанные с выполнением работ по технике безопасности. При учёте затрат на эти цели предусматривается увеличение объёмов работ (дополнительные объёмы земляных работ на устройство откосов), возрастание трудоёмкости (откидкагрунта от бровки траншей или котлована на расстояние, обеспечивающее необходимую ширину полки для складирования инструмента, материалов и прохода рабочих) или выполнение специальных работ (устройство ограждений котлованов, козырьков над проходами при кирпичной кладке и т.д.). Но несмотря на тщательность составления номенклатуры всех работ, заранее их невозможноучесть полностью, поэтому, при определении общей трудоёмкости работ по объекту необходимо предусматривать её увеличение на 3–5%.
Определение принятой трудоёмкости работ производится с учётом достигнутой производительности труда отдельными бригадами. Но повышение производительности труда отдельными бригадами больше чем на 10–15% не следует планировать, во избежание срыва сроков выполнения работ.
При составлении календарного графика производства работ удобнее пользоваться калькуляцией для комплекса работ с расчётом трудовых и денежных затрат на измеритель основных видов работ. В этом случае сокращается номенклатура работ, нормативные затраты определяются с большой точностью и устанавливаются более реальные сроки выполнения работ. Такие калькуляции способствуют внедрению прогрессивных форм организации и оплаты труда.
В настоящее время рекомендуется определить трудовые затраты по f нормам ГЭСК, так как нормирование по ЕНиР весьма громоздко и трудоёмко. Кроме того, ЕНиР не учитывают затрат труда на транспортировку строительных конструкций, деталей, изделий, материалов иполуфабрикатов
на объект иподачу их кранами или подъёмниками к месту производства работ, при этом трудоёмкость транспортных работ учитывается отдельно, тогда как в ГЭСК они учтены в комплексе с выполнением строительного процесса.
Наиболее ответственным, важным в календарном планировании является составление графика производства работ при составлении, которого необходимо учитывать:
– директивный срок строительства;
– технологическую последовательность выполнения работ;
- максимальное совмещение во времени отдельных видов работ;
- выполнение работ крупными строительными машинами;
- равномерное распределение рабочих;
- соблюдение правил охраны труда и техники безопасности.
Продолжительность работ на графике обозначается линией вектором. Над ним указывается количество рабочих. Продолжительность работ для механизированных процессов определяется количеством машина /смен. Для остальных – из расчёта количество рабочих, в бригаде или звене, выполняющих данный процесс. Число рабочих определяется в соответствии с принятой трудоёмкостью. Нельзя допускать больших изменений количества рабочих, так как график их движения будет с большим перепадом.
Необходимо стремиться к постоянному количеству рабочих на объекте. Изменения в их количестве допускается до 20%. График надо составлять так, чтобы после окончания работы на одной захватке рабочие переходили друг за другом.
График движения рабочих.
В процессе разработки календарного графика необходимо предусматривать равномерное использование рабочих.
Для этого по мере составления плана под ним вычёркивается график изменения численности рабочих. За каждый день суммируется количество рабочих и в соответствующем масштабе (например: 1 мм – 1 чел.) откладывается по вертикали; соединяя эти величины по горизонтали, получаем график. График изменений численности рабочих строится по объекту и по основным профессиям.
Стремясь построить равномерный график изменения численности рабочих в целом по объекту, не надо нарушать технологическую последовательность ведения работ и правила охраны труда. Если график оказался неудовлетворительным, нужно календарный график активизировать, изменив сроки выполнения работ или количество рабочих по отдельным процессам.
Обоснование выбора монтажного крана состоит из определения требуемых технических параметров крана, подбора нескольких вариантов временных кранов по справочнику.
К техническим параметрам крана, которые необходимо определить относятся:
а) Требуемая высота подъема крюка крана, H кр.;
б) Требуемый вылет стрелы крана, L стрелы;
в) Требуемая грузоподъемность крана G.
Требуемую высоту подъема крюка крана (H крюка в м.) определяют по формуле:
H кр = Нз + Нзап + Н кон + Н стр., (1)
где, Нз – высота здания, м.;
Нзап – запас по высоте между монтажным горизонтом и низом монтируемого элемента при заводке его над местом установки, Нз = 1 м.;
Н кон – высота монтируемой конструкции, м.;
Н стр. – высота строповочных устройств, м.;
29 + 1 + 0.22 + 6 + 2 = 38.22 м
Высота подъема крюка
L = b + f + 1 + Rз.г.
b – ширина здания
f – половина базы крана
1 – расстояние от базы крана до здания
Rз.г. – задний габарит
L = 16 + 3 + 1 + 3.6 = 23.6 м
Грузоподъемность
G = gэ + gмн
gэ – масса самого тяжелого элемента
gмн – минимальный запас
G = 3 + 0.05 = 3.05
На основании расчетов принимаем башенный кран КБ-308 предназначен для для выполнения строительно-монтажных и погрузочно-разгрузочных работ при возведении жилых, гражданских и промышленных зданий и сооружений. Кран башенный КБ-308 выпускался взамен кранов С-981 с использованием сборочных единиц крана С-981А. Главное отличие – балочная стрела с грузовой кареткой.
Грузовая лебедка имеет двухдвигательный привод, что обеспечивает увеличенную скорость подъема грузов массой до 5т по сравнению со скоростью подъема грузов массой 8т. Для управления двудвигательной лебедкой и другими механизмами использован комплект электрооборудования КБК-5.
Кран башенный КБ-308 предназначен для работы в I–III ветровых районах при температуре окружающего воздуха +40° С. Допускается эксплуатация крана в IV и V ветровых районах при соблюдении дополнительных требований, указанных в инструкции по эксплуатации машины. Технические характеристики различных исполнений башенного крана КБ-308:
| Наименование параметра |
Значение |
| Максимальная грузоподъемность, тс |
8 |
| Максимальный грузовой момент, тс·м |
100 |
| Максимальная высота подъема, м: при горизонтальной стреле при поднятой стреле |
20 30 |
| Максимальная глубина опускания, м, не менее |
5 |
| Вылет, м: наибольший при максимальной грузоподъемности при поднятой стреле |
25 4,8.. 12,5 22 |
| База, м |
6 |
| Колея, м |
6 |
| Угол поворота, град |
1080 |
| Место управления: при работе при монтаже и испытаниях |
из кабины с выносного пульта |
| Способ управления |
электрический |
| Способ токоподвода к крану |
кабельный |
| Группа режима работы механизмов: по РС-5138–75 главного подъема передвижения крана передвижения грузовой тележки поворота |
третья (легкий) третья (легкий) третья (легкий) третья (легкий) |
| Масса балласта, т |
18,3 |
| Масса противовеса, т |
32 |
| Максимальная нагрузка колеса на рельс, тс |
21,2 |
Скорости
Скорость подъема, м/мин, не менее: груза массой до 2 т (при 2-кратной запасовке) груза массой до 4 т (при 2-кратной запасовке) груза массой до 4 т (при 4-кратной запасовке) груза массой до 8 т (при 4-кратной запасовке) |
54 36 27 18 |
Скорость опускания пустого крюка, м/мин, не менее: при 2-кратной запасовке при 4-кратной запасовке |
60 30 |
Скорость посадки, м/мин максимального груза: при 2-кратной запасовке при 4 кратной запасовке |
5 2,5 |
Скорость передвижения крана, м/мин |
18,5±20% |
Скорость передвижения грузовой тележки, м/мин |
27,2±10% |
Скорость поворота, об/мин |
0,7 |
Электрические характеристики
 |
380 В |
50 Гц |
Потребляемая мощность: 75 кВт |
4.3 Теплотехнический расчет ограждающих конструкций
Необходимо выбрать толщину кирпичной стены из обыкновенного глиняного кирпича для жилого здания в городе Всеволожск, Ленинградской области.
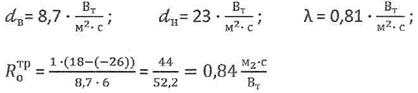
Определение требуемой теплопередачи стены:

Где: tв
- температура внутреннего воздуха (18 о
С);
tн
– расчетная температура наружного воздуха (-26 о
С)
tн
– нормативный температурный перепад между температурой внутреннего воздуха и температурой внутренней поверхности ограждающей конструкции, для стен принимается (6 о
С)

Где: – коэффициент теплоотдачи внутренней поверхности ограждающих конструкций (для стен, полов, гладких потолков 
2. Определение требуемой толщины наружной стены:

Где: коэффициент теплоотдачи наружной поверхности ограждающей конструкции в зимних условиях.
1) Теплообмен внутренней поверхности стены;
2) Теплопередача через толщину ограждения;
3) Теплообмен наружной поверхности.

Принимаем кладку в 2,5 кирпича, 
3. Проверочный расчет.

4. Определяем температуру точки росы в помещении при t = 18 о
С, относительная влажность составляет 55%.
Определяем температуру на внутренней поверхности запроектированной кирпичной стены.

Сравниваем полученную температуру точки росы (9.1о
С) и температуру на поверхности стены (12.7о
С) устанавливаем, что конденсат образовываться не будет.
4.4 Проектирование стройгенплана
Стройгенплан – это план строительной площадки на период производства строительно-монтажных работ. Строительный генеральный план составляется с целью рационального использования строительной площадки. На стройгенплане должны быть показаны:
строящийся объект, ограждение строительной площадки, с указанием места въезда и выезда, существующие здания и сооружения находящиеся на строительной площадке или непосредственно прилегающие к ней, размещение подъездных путей, проезды как временные, так и построенные и используемые в период производства работ, механизированные установки, размещаемые на площадке подкрановые пути, привязка механизмов к зданию, зоны действия крана, временные административно-бытовые и производственные сооружения. Места приема поступающих на стройку в готовом виде бетонной смеси, раствора и т.д., складские помещения, закрытые навесы, временные водопроводные и электросети, другие коммуникации, их примыкания к постоянным сетям или др. источникам питания, световые точки наружного освещения (прожектора), пожарные гидранты.
При проектировании стройгенплана следует руководствоваться следующими принципами:
объем строительства временных помещений должен быть минимальным;
производственные установки целесообразно размещать на кратчайшем расстоянии от мест потребления их продукции;
протяженность временных инженерных сетей и коммуникаций должна быть минимальной;
временные здания и сооружения следует предусматривать передвижными индустриального изготовления и их стоимость должна быть минимальной;
следует обеспечить соблюдение требований безопасности
ведения работ, противопожарной безопасности, производственной санитарии и охраны окружающей среды;
необходимо создать наиболее благоприятные условия бытового обслуживания персонала стройки.
Строительный генеральный план является вторым по значительности документом проекта организации строительства (ПОС) или проект производства работ (ППР). Он устанавливает: границы строительной площадки, расположение постоянных строящихся и временных зданий и сооружений, действующих, вновь прокладываемых и временных подземных, надземных и воздушных сетей и инженерных коммуникаций, постоянных и временных дорог, места установки строительных и грузоподъёмных машин с указанием путей их перемещения, источники и средства энергоснабжения и водоснабжения строительной площадки, места складирования материалов и конструкций, площадки укрупнительной сборки и др.
При проектировании строительного генерального плана устанавливают состав и наиболее целесообразное расположение строительных машин, временных зданий и сооружений и других элементов обустройства строительной площадки как с точки зрения удобства и безопасности их использования при выполнение строительно-монтажных работ, так и в отношении санитарно-гигиенических, противопожарных, экологических и экономических требований.
Расположение основных элементов обустройства строительных площадок при возведении отдельных зданий и сооружений непосредственно связано с условиями установки и эксплуатации грузоподъёмных кранов. Поэтому в первую очередь осуществляются их привязка к объекту для определения параметров, обеспечивающих безопасную эксплуатацию кранов (зоны обслуживания, опасные зоны и т.д.).
Для проектирования других элементов объектного стройгенплана определяется объём ресурсов, необходимых длястроительства ' объекта. Количество материалов и конструкций, подлежащих складированию, а так же потребности строительства в воде и электроэнергии определяются расчётом.
На следующем этапе решается задача размещения площадок для складирования конструкций и материалов для строительства и расположение в плане временных и постоянных дорог, обеспечивающих подъезд в зону действия грузоподъёмного крана.
Разработка объектного стройгенплана завершается нахождением места размещения в необходимом количестве временных зданий и сооружений производственного, административного и санитарно-бытового назначения, а так же проектированием систем инженерного обеспечения строительства (водоснабжения, электроснабжения, освещения, канализации, телефонизации).
Объектный стройгенплан разрабатывается подрядчиком или проектно-технологической организацией по договорам по проектно-технологические работы, В этом случае проект стройгенплана проектная организация согласовывает с генеральной подрядной и специализированными субподрядными строительными организациями.
Общая площадь стройгенплана (строительной площадки) составляет 2100.7 м2
.
Строительная площадка огорожена сборным привозным забором. На стройгенплане расположено проектируемое здание. Его размеры в осях: длинна 28.2, ширина 15.4. Высота 29.5 метров. С правой стороны проектируемого здания, для удобства разработки здания, расположены временные здания и сооружения:
1 Контора прораба
2 Диспетчерский пункт
3 Гардеробная
4 Гардеробная с сушилкой
5 Столовая
6 Душевая
7 Инструментальная кладовая
4.5 Определение потребностей во временных зданиях и сооружениях
Определение площадей временных зданий и сооружений производится по максимальной численности работающих на строительной площади на одного человека, пользующегося данными помещениями.
Численность рабочих определяется по формуле
N общ = (N раб + N итр + N служ + N моп) * К
где N общ – численность работающих на строительной площадке, чел.;
N раб – численность рабочих, принимается по графику изменения численности рабочих календарного плана или сетевого графика, чел.;
N инт – численность ИТР, чел.;
N моп – численность младшего обслуживающего персонала и охрана, чел.;
К – коэффициент, учитывающий отпуска, болезни, выполнение общественных обязанностей, принимается 1,05 – 1,06.
По календарному плану на строительстве промышленного корпуса работает максимальное количество – 16 человек.
N общ = (N раб + N итр + N служ + N моп) * К
16 человек составляет 100% следовательно, 1% составит 0,2 чел.
N итр = 11 * 0,2 = 2 чел.
N служ = 3,6 * 0,2 = 1 чел.
N моп = 1,5 * 0,2 = 1 чел.
N общ = (16 + 2 +1 + 1) * 1,05 = 21 человека.
Далее производится подбор временных зданий, площадь которых берется согласно расчетам.
Временные здания находятся недалеко от стоящегося здания для удобства рабочих, но за пределами всех 3-ех опасных зон крана. К временным зданиям подведены коммуникации:
1 водопровод
2 канализация
3 электричество
Все коммуникации врезаны в уже существующие ранее и действующие сети. 1 Водопровод подведен к столовой, туалету, душевой и диспетчерскому пункту. Вода, подающаяся на строительную площадку – холодная. При необходимости, для подогрева воды используется электрическая плитка. Водопровод выполнены из пластиковых труб диаметром 50 мм.
2 Канализация подведена к туалету. Канализация выполнена из пластиковых труб диаметром 100 мм.
3 Электричество подведено ко всем зданиям находящимся на строительной площадке, а так же выведен отдельный щиток на питание башенного крана.
Запас кирпича
Qзап = 3261,5 * 350
104 *1.1 * 3 * 1.3 = 43672.2
43672.2 / 200 = 218 поддонов
109 парных поддонов 142 м2
Запас плит перекрытия:
Qзап = 144 * 1,5 * 0,22 * 6,1
* 1,1 * 5 * 1,3 = 20 м2
(1 шт. 10х2)
104
Qзап = 360 * 1,2 * 0,22 * 6,1
* 1,1 * 5 * 1,3 = 40 м2
(3 шт. 6,1х1,2 h = 2,5 м)
104
Запас лестничного марша: 17 штук, по 4 штуки в штабели (2 шт. 3х1,2).
Запас лестничных площадок:
0,22 * 1,7 * 3 * 8 * 2
Qзап = * 1,1 * 5 * 1,3 = 1,234 м2
(1 шт. 3х1,7)
104
0,22 * 1,0 * 3 * 8 * 2 * 2
Qзап = * 1,1 * 5 * 1,3 = 1.452 м2
(1 шт. 3х1,0)
104
0,22 * 1,2 * 3 * 8 * 2 * 2
Qзап = * 1,1 * 5 * 1,3 = 1,742 м2
(1 шт. 3х1,2)
104
Запас перемычек:
Принимаем 48 штук в штабель 6х8 (1 шт. 2,3х1,0)
Склад:
S = F / 0,7
S – площадь склада
F – общий запас
0,7 – коэф. на проход между материалом
S = (142 + 9,15 + 22 + 7,2 + 5,1 + 3 + 3,6 + 2,3) / 0,7 = 278 м 2
(32,8 м х 8,4 м)
4.6 Расчет временного электроснабжения
Мощность силовых потребителей:
Растворонасос СО-495, 3 шт. Рс=12 кВт;
Компрессорная установка СО 7А, 3 шт. Рс=12 кВт;
КБ-308 Рс=75 кВт;
Сварочный аппарат СТШ 500, 5 шт. Рс=160 кВт;
Мелкие механизмы и инструменты Р=5.5 кВт
Суммарная мощность силовых потребителей Рc
=286,5 кВт.
Временное освещение
Для электрического освещения строительной площадки предусматривается рабочее, аварийное, эвакуационное и охранное освещение (п. 2.4.СН 81–80).
В районе производства работ освещенность территории строительной площадки составляет 2 лк; на участке складирования материалов – не менее 10 лк; на участке автодорог – не менее 2 лк. (СНиП 23 – 05 – 95).
Освещение площадки и мест производства строительно-монтажных работ внутри здания осуществления установками общего освещения по СН 81–80 п. 2.1.
Расчет прожекторного освещения строительной площадки
В качестве исходных данных для расчета по мощности прожекторной установки принимаем площадь строительной площадки – 7200 м2
и нормируемую её освещенность – Ен
= 2 лк, k = 1,7 (по ГОСТ 12.1.046–85).
По данным таблицы 9 СНиП 23 – 05 – 95 выбираем прожектора ПЗС – 45 с лампой ДРЛ – 700, максимальная сила света , угол рассеяния 
Тогда ориентировочное число прожекторов равно:
(7.1)
где m – коэффициент, учитывающий световую отдачу источника света;
EH
– нормируемая освещенность горизонтальной поверхности;
A – освещаемая площадь, м2
;
Рл
– мощность лампы, Вт.

Принимаем N = 5 прожекторов.
Подбираем 1 трансформаторную подстанцию мощностью 320 кВА марки КТП СКБ Мосстроя.
4.7 Расчет Временного водоснабжения
Расход воды на строительной площадке слагается из расходов на производственно-технологические самого строительства и обслуживающих его предприятий; на бытовые нужды рабочих работающих на стройплощадке и противопожарные цели.
Расход воды на производственно-технологические нужды определяется по формуле:
Q=(V*q1
*k1
)/n
где V – сменный объем
q1
- норма расхода воды
k1
- коэффициент неравномерности потребления воды равный 1,25 и 1,5
n – количество часов в смене.
Расход воды при производстве земляных работ:
Q=М*q2
*k2
=1*1,5*1,5=23 л
где М – количество машин
q2
- норма расхода воды
k2
- коэффициент равный 1,5–2
Расход воды при производстве каменных работ:
Q2
=(V*q1
*k1
)/n=(182,3*400/1000*100*1,5)/16=1367,25 л
Расход воды при поливке кладки
Q3
=(V*q1
*k1
)/n = (182,3*400/1000*200*1,5)/16=2734,5 л
Общий расход воды при производстве каменных работ:
Q4
=Q2
+Q3
=1367,25+2734,5=4102 л
Расход воды при производстве штукатурных работ
Q5
=(485,13*7*1,5)/16=636,7 л
Расход воды при производстве малярных работ:
Q6
= (485,13*1*1,5)/16=90,96 л
Общий расход воды при производстве штукатурных и малярных работ:
Q7
= Q5
+ Q6
=636,7+90,96=727,66 л
Расход воды на санитарно-технические нужды:
Q8
=(V*q3
*k3
)/n=(28*20*3)/16=210 л
где N – максимальное число рабочих
q3
– норма расхода воды
k3
– коэффициент равный 3
Расход воды на душ:
Q9
=(N*q)/m= (28*30)/3=280 л
Расход воды на противопожарные нужды:
Q10
=3600*q4
=3600*10=36000 л
Общий расход воды:
Qобщ
= Q4
+ Q8
+ Q9
+ Q10
=4102+210+280+36000=40592 л
Общий секундный расчет воды:
qрасч
= Qобщ
/3600=40592/3600=11,28 л/с
Расчет диаметра трубы:
D=v (4*qрасч
*1000)/?*v=v (4*11,28*1000)/3,14*0,8 =134,02 мм
Принимаем D=135 мм.
4.8 Разработка технологической карты на тему: «Каменная кладка»
Кирпичная кладка – это конструкция из уложенных в определенном порядке и скрепленных между собой строительным раствором кирпичей. Кирпичная кладка может выполняться как из керамического, так и из силикатного кирпича. Силикатный кирпич обладает более высокой теплопроводностью и гигроскопичностью. Кроме того, различают полнотелый и пустотелый кирпич. Пустотелый имеет сквозные или закрытые полости, что уменьшает его теплопроводность и вес выполненных из него конструкций. Кирпич различается и по размерам. Наиболее распространенным является кирпич обыкновенный (одинарный), его размеры – 250х120х65 мм, и кирпич модульный (утолщенный) – 250х120х88 мм.
При кладке стен толщиной в кирпич, т.е. 250 мм наружу будут обращены как ложковые, так и тычковые части кирпичей. Толщина кирпичных стен может быть и в полкирпича (наружу обращена ложковая часть), и в четверть кирпича (наружу обращена постель), что уменьшает расход материала и потери площади.
Например, при длине 4 метра разница в потере площади помещения при стенах, возведенных в кирпич и в полкирпича, достигает почти 1 кв. м, а при стенах, выполненных в кирпич и в четверть кирпича, – более 1,5 кв. м.
Строительный раствор
Для скрепления кирпичей между собой применяется строительный раствор. Обычно это раствор, приготовленный из смеси цемента и песка (песок при этом необходимо тщательно просеять). Чем больше доля цемента в растворе, тем менее он пластичен (подвижен).
По сравнению с известковыми или смешанными цементно-известковыми и цементно-
глиняными растворами, цементный раствор менее подвижен. Применение высокопластичного раствора при выполнении кладки из пустотелого кирпича неэкономично, так как раствор затекает в пустоты, имеющиеся в теле кирпича. Вместе с тем, чем менее подвижен раствор, тем труднее его расстилать и разравнивать.
Подвижность строительного раствора для кирпичной кладки определяется погружением в него специального эталонного конуса (на 7–14 см осадки конуса).
При кладке пустотелого кирпича применяется раствор с подвижностью не более 7–8 см осадки конуса. При кладке полнотелого кирпича в жаркую погоду подвижность раствора следует доводить до 12–14 см осадки конуса. Перед использованием раствор необходимо тщательно перемешать, так как с течением времени тяжелые частицы оседают, раствор расслаивается и приобретает неоднородность.
Перевязка швов
С целью придания кирпичной кладке прочности и монолитности используется система перевязок – определенный порядок укладки кирпичей относительно друг друга. Различаются перевязки вертикальных, продольных и поперечных швов. Перевязка продольных швов необходима для предотвращения «расслаивания» стены по вертикали и для более равномерного распределения нагрузок по длине стены. Перевязка поперечных швов выполняется для создания продольной связи между кирпичами. Кроме того, поперечная перевязка служит для распределения нагрузки по всей толщине кирпичной кладки.
Наиболее часто встречающиеся системы перевязки – однорядная (цепная) и многорядная. Однорядная перевязка характеризуется чередованием ложковых и тычковых рядов кирпичной кладки.
При этом поперечные швы в соседних рядах сдвинуты на четверть кирпича относительно друг друга, а продольные – на полкирпича. Вертикальные швы нижележащего ряда перекрываются кирпичами верхнего ряда. При многорядной перевязке кирпичной кладки тычковые ряды кладутся через несколько ложковых рядов.
Существуют ограничения по количеству ложковых рядов между тычковыми в зависимости от толщины кирпича. Для кладки из одинарного кирпича (65 мм) – один тычковый ряд на шесть рядов кирпичной кладки.
Для кладки из утолщенного кирпича (88 мм) – один тычковый ряд на пять рядов кирпичной кладки.
При этом вертикальные швы в четырех ложковых рядах перекрываются ложками смежных рядов на полкирпича, а швы верхнего ряда перекрываются тычками шестого ряда на четверть кирпича. Подобная кирпичная кладка называется пятирядной. Однако такая перевязка осуществима лишь при толщине стены не менее, чем в кирпич.
Если кирпичная кладка выполняется в половину или в четверть кирпича, ее необходимо армировать. Для этого используются металлическая сетка или арматурная проволока, которые укладываются в швы через 4–6 рядов.
Инструменты
Основные инструменты, используемые при ведении кирпичной кладки, – кельма (мастерок), молоток-кирочка и расшивка. Кельма – стальная лопатка с деревянной ручкой. Она применяется для разравнивания раствора, заполнения им вертикальных швов кирпичной кладки и подрезки лишнего раствора. Если возникает необходимость разрубить целый кирпич на части, используют молоток-кирочку. Расшивки различных видов служат для выполнения одноименных операций.
Для контроля качества кирпичной кладки применяются отвес, правило, уровень,
шнур-причалка и порядовка. Отвес служит для проверки вертикальности кирпичной кладки. Уровень применяется для контроля горизонтальности кирпичной кладки.
С помощью правила (гладкой деревянной рейки длиной 1,2–2 метра) контролируется лицевая поверхность кирпичной кладки. Шнур-причалка – крученый шнур (диаметром 3 мм), который натягивается между порядовками. Он используется для обеспечения прямолинейности и горизонтальности рядов кирпичной кладки, а также для контроля толщины горизонтальных швов.
Порядовка – это две деревянные или металлические рейки, на которые через 77 мм (для одинарного кирпича) нанесены засечки. Это расстояние складывается из толщины кирпича (65 мм) и толщины шва (12 мм).
Применяется порядовка для разметки рядов кирпичной кладки, а при наличии проемов – для определения их габаритов. На кирпичной кладке порядовка закрепляется специальными стальными держателями-скобами с поперечной планкой.
Порядок кирпичной кладки
Для качественного выполнения кирпичной кладки необходимо обратить особое внимание на равномерность распределения раствора на постели. От правильного расстилания раствора зависит плотность и прочность шва. При выполнении ложкового ряда раствор расстилается слоем (грядкой) шириной 80–100 мм, для тычкового – 200–220 мм. Толщина грядки должна составлять 15–20 мм, что обеспечивает толщину шва 10–12 мм.
Перед кладкой кирпичи на некоторое время замачивают в воде, так как сухой кирпич забирает воду из раствора, что приводит к снижению прочности кирпичной кладки.
Способы ведения кирпичной кладки
Существует несколько способов ведения кирпичной кладки. Основные из них – вприжим и впритык. Они определяются степенью пластичности раствора.
Способ вприжим пригоден для кладки с использованием жесткого раствора (7–9 см осадки конуса) с полным заполнением и последующей расшивкой швов. В этом случае раствор расстилается с отступом 10–15 мм от лицевой поверхности стены и затем разравнивается кельмой по направлению от ранее уложенного кирпича с цель подготовки растворной постели для нескольких кирпичей. После чего ребром кельмы часть раствора подгребается к ранее уложенному кирпичу и прижимается к его вертикальной грани.
Очередной кирпич опускается на постель и прижимается к полотну кельмы. После этого кельма резко вынимается, и раствор фиксируется между вертикальными гранями кирпичей. Далее кирпич осаживается на постели, и лишний раствор подрезается кельмой.
В результате получается прочная кирпичная кладка с полным заполнением швов.
Способ впритык применяется при кладке на подвижном растворе (12–13 см осадки конуса) с неполным заполнением швов с лицевой стороны стены, т.е. впустошовку.
При этом раствор загребается с грядки непосредственно гранью кирпича, начиная на расстоянии 8–12 см от ранее уложенного кирпича.
Кирпич прижимается к постели, и часть раствора, снятая с нее, заполняет вертикальный шов. Далее кирпич осаживается на постели. Раствор при этом расстилается с отступом 20–30 мм от лицевой части стены и при кладке не выжимается наружу.
Способ впритык с подрезкой является комбинацией двух вышеописанных методов кирпичной кладки. При этом стена получается с полным заполнением швов. Раствор расстилается так же, как при кладке вприжим, но сама кладка производится впритык. Необходимая для этого подвижность раствора составляет 10–12 см осадки конуса. Наиболее трудоемкой является кладка вприжим, наименее – впритык. Способ впритык с подрезкой по сложности находится между ними.
Расшивка швов кирпичной кладки
После укладки некоторого количества рядов, но до засыхания раствора, производится расшивка швов. Это необходимо для придания поверхности кирпичной кладки четкого рисунка и уплотнения раствора в швах кирпичной кладки. Для таких операций применяются расшивки с рабочей частью различной конфигурации. При этом получаются прямоугольная заглубленная, выпуклая, вогнутая, треугольная двухсрезная и др. формы швов кирпичной кладки.
После окончания кладки и расшивки швов кирпичная стена может быть дополнительно облицована. Простейший вариант такой облицовки – покрытие штукатуркой с последующей огрунтовкой и окраской. Кроме того, возможно применение различных декоративных отделочных материалов.
Объект – жилое 9-и этажное кирпичное здание размером осей в плане 28.7.1x16 м.
Технологическая карта разработана на устройство производство кирпичной кладки надземной части здания. Наружные стены здания ведутся сплошной неармированной кладкой.
Строительство ведется в г. Всеволожск. Климатический район 2, зона влажная, расчётная температура наружного воздуха -45–-40°С.
Работы выполняются в 2 смены.
Материал наружных стен – кирпич ТЕРМОЛЮКС [73].
| № п.п. |
Наименование |
Характеристика |
| 1 |
2 |
3 |
| 1 |
Размеры |
250x120x65 |
| 2 |
Марка |
М100 |
| 3 |
Водопоглощение |
28% |
| 4 |
Морозостойкость |
F25 |
| 5 |
Масса |
2.5 кг |
| 6 |
Пустоты несквозные щелевые |
8 мм |
| 7 |
Плотность |
900 кг/м3
|
| X |
Теплопроводность кладки |
0.19Вт/м°С |
Основные характеристики кирпича
Материал внутренних стен – глиняный кирпич 250x120x65.
В состав работ, рассматриваемых картой, входят:
кладка наружных и внутренних стен;
монтаж лестничных маршей;
монтаж балконных плит;
монтаж плит перекрытия и покрытия
До начала работ по кирпичной кладке надземной части должны быть:
закончены работы нулевого цикла;
выполнены внутрипостроечные работы в соответствии со стройгенпланом надземной части;
подготовлены необходимые механизмы, оборудование и инвентарь, указанные в карте;
завезены материалы необходимые для работы на 3–5 дней.
Вертикальный транспорт материалов и монтаж сборных конструкций осуществляется с помощью башенного крана КБ-308.
Доставка кирпича на площадку – централизованно автотранспортом на поддонах. Раствор для кладки принимается из автосамосвалов в растворные ящики или установку для приема и перемешивания раствора с последующей подачей краном к месту кирпичной кладки.
Кирпичную кладку производить поточно-кольцевым методом. Для этого здание в плане разделено на 4 захватки, каждый этаж разделен на 3 яруса.
Для кладки стен 2-го яруса применять инвентарные шарнирно-панельные подмости, которые для кладки 3-го яруса устанавливать на откидные опоры.
Уровень кладки после каждого перемещения средств подмащивания должен быть не менее чем на 0.7 м выше уровня рабочего настила или перекрытия. В случае необходимости производства кладки ниже этого уровня, кладку необходимо выполнять, применяя предохранительные пояса или специальные сетчатые ограждения.
Кладка ведется по пятирядной системе перевязки швов (для выполнения условии перевязки ложковых рядов тычковыми через каждые 0,4 м).
Первый (нижний) ряд укладывают тычками. Второй ряд укладывают как при однорядной цепной системе перевязки. Последующие ряды 3, 4 и 5-й выкладываются ложками с перевязкой в полкирпича. Продольные вертикальные швы на высоту четырех рядов не перевязывают. Тычковые ряды в кладке укладываются из целых кирпичей независимо от принятой системы перевязки швов. Укладка тычковых рядов является обязательной в нижнем и верхнем рядах возводимых конструкций. При многорядной системе перевязки швов укладка тычковых рядов является обязательной под опорной частью плит перекрытия, балконов, прогонов.
Подачу материалов и деталей для последующих за кладкой работ производить до монтажа перекрытий.
Одновременно с кладкой наружных стен должны закладываться крюки для крепления кронштейнов защитных козырьков и стоек трубчатых лесов.
По ходу кладки в стены закладываются деревянные антисептированные вкладыши по четыре штуки на проем для крепления дверных и оконных коробок. Материалы на подмостях размещать по всему периметру захватки.
Оконные блоки и дверные блоки подавать на этаж краном до монтажа плит перекрытия. Все работы по кирпичной кладке стен и монтажу производить в соответствии со СНиП 3.03.01–87 «Несущие и ограждающие конструкции».
Состав комплексной бригады составляет 16 человек.
Основной производственной единицей принято звено из 2 человек, которое ведет кирпичную кладку по всей толщине стены. Звенья бригады перемещаются в процессе работы непрерывным потоком по периметру захватки друг за другом так, чтобы возводимая стена находилась по ходу кладки справа от каменщиков.
Подручный каменщика раскладывает кирпич на стене плашмя под углом 45° относительно продольной оси внутренней версты, а затем расстилает раствор в зоне укладки лицевого ряда. Ведущий каменщик, продвигаясь по периметру захватки, ведет кладку. В конце рабочей смены каменщики не выравнивают кладку, а оставляют ее для сменщиков.
Следующая смена сразу же «вживается» в нормальный производственный ритм, продолжая временно прерванный цикл потока.
По окончании рабочего дня разрыв в кирпичной кладке по высоте продольных стен и примыканий выполнять в виде убежной или вертикальной штрабы.
Монтаж плит перекрытия производить после подачи материалов на этаж для работ последующих за кирпичной кладкой.
Укладку плит перекрытий на стены производить по выровненному слою раствора, той же марки, который применялся для кладки стен нижележащего этажа.
Панели, изготовленные с одним заделанным торцом, укладывать этим торцом на внутреннюю стену. Торцы панелей в наружных стенных заделать бетоном на глубину не менее 20 см.
После, монтажа плит перекрытия в швы уложить металлические анкера. Крестовину анкера заделать кирпичной кладкой и произвести замоноличивание швов между плитами цементным раствором.
Анкерные связи сварить платком при зацеплении за петлю.
Сварку производить электродом Э-42. Толщина шва должна быть не менее 6 мм. При 2-х сторонне сварке длина шва должна быть >50 мм. При односторонней сварке длина шва должна быть > 100 мм.
После сварки все металлические части заделать цементным раствором М-100 слоем 3 см.
Отверстия для пропуска трубопроводов сверлить в плитах по месту d=6% 10 см, а в монолитных участках предусмотреть отверстия
4.9 Мероприятия по технике безопасности и противопожарной технике при производстве СМР
В соответствии со СНиП 12–03–2001, ГОСТ 12.0.004–90 и ГОСТ 12.1.004–91 должна обеспечиваться система техники безопасности и пожарной защиты при проведении строительных работ.
Для обучения рабочих правилам безопасности труда и производственной санитарии производится инструктаж: вводный, первичный, на рабочем месте, повторный, внеплановый, текущий. Принимаемые на работу рабочие в обязательном порядке получают инструктаж о мерах пожарной безопасности и действия, на случай возникновения пожара, применение первичных средств пожаротушения.
Вводный инструктаж проводит инженер по технике безопасности или уполномоченное лицо по приказу в строй – организации (предприятии) по технике безопасности и противопожарным мероприятиям.
Первичный инструктаж проводится со всеми принимаемыми на работу, а так же с командированными и практикантами по утверждённой программе с учётом системных стандартов безопасности труда (ССБТ) и особенностей производства. Программа утверждается руководителем или главным инженером организации (предприятия) по согласованию с профсоюзным комитетом, о проведении вводного инструктажа и проверки знаний рабочих регистрируются в журнале с обязательными подписями инструктируемого и инструктирующего.
Первичный инструктаж на рабочем месте, повторный, внеплановый и текущий проводит непосредственный руководитель работ (производитель работ, мастер) с каждым рабочим индивидуально с показом практически безопасных приёмов труда и противопожарных средств.
Текущий инструктаж проводит с рабочими перед выполнением работ, на которые и оформляется наряд – допуск.
4.10 Мероприятия по технике безопасности и противопожарной технике при производстве СМР
В соответствии со СНиП 12–03–2001, ГОСТ 12.0.004–90 и ГОСТ 12.1.004–91 должна обеспечиваться система техники безопасности и пожарной защиты при проведении строительных работ.
Для обучения рабочих правилам безопасности труда и производственной санитарии производится инструктаж: вводный, первичный, на рабочем месте, повторный, внеплановый, текущий. Принимаемые на работу рабочие в обязательном порядке получают инструктаж о мерах пожарной безопасности и действия, на случай возникновения пожара, применение первичных средств пожаротушения.
Вводный инструктаж проводит инженер по технике безопасности или уполномоченное лицо по приказу в строй – организации (предприятии) по технике безопасности и противопожарным мероприятиям.
Первичный инструктаж проводится со всеми принимаемыми на работу, а так же с командированными и практикантами по утверждённой программе с учётом системных стандартов безопасности труда (ССБТ) и особенностей производства. Программа утверждается руководителем или главным инженером организации (предприятия) по согласованию с профсоюзным комитетом, о проведении вводного инструктажа и проверки знаний рабочих регистрируются в журнале с обязательными подписями инструктируемого и инструктирующего.
Первичный инструктаж на рабочем месте, повторный, внеплановый и текущий проводит непосредственный руководитель работ (производитель работ, мастер) с каждым рабочим индивидуально с показом практически безопасных приёмов труда и противопожарных средств.
Текущий инструктаж проводит с рабочими перед выполнением работ, на которые и оформляется наряд – допуск.
После проведения первичного инструктажа рабочие в течение первых 2…5 смен выполняют работу под наблюдением мастера или бригадира, после чего оформляется допуск к самостоятельной работе, регистрируемый в журнале.
Повторный инструктаж независимо от квалификации, образования и стажа со всеми рабочими не реже, чем через шесть месяцев с целью проверки и освоения уровня знаний правил и инструкций одной профессии, инструктаж проводят при изменении правил по охране труда, изменений технологического процесса, замене или модернизации оборудования и инструмента, материалов и т.п. При регистрации внепланового инструктажа указывают причину его проведения.
Предъявляются повышенные требования к знаниям техники безопасности и проводится специальное обучение испытание и выдача специальных удостоверений на право производства работ для следующий профессий: машинисты строительно-дорожных машин монтажники – верхолазы, газосварщики, асфальтобетонщики, взрывники, землекопы – проходники, работающие в выемках глубиной более 2 м, маляры (работы с нитрокрасками и т.д.), плотники (пропитка древесины антисептиками), трубоукладчики, электросварщики, рабочие при работах с ядохимикатами, бензином и пр. транспортные рабочие.
Все лица на строй площадках обязаны носить защитные каски (ГОСТ 12.4.087–84), на строительных объектах должны быть санитарно-бытовые помещения: комнаты (вагончики), для смены одежды, отдыха и обогрева, душевые, сушилки дляодежды, комнаты гигиены женщин, помещения для приёма пищи (вагончики), туалеты.
На каждом строй объекте должен быть медпункт или выделено место в комнате для смены одежды (вагончике) для размещения аптечек с медикаментами, носилок и других средств для оказания первичной медицинской помощи пострадавшим.
Проверку знаний правил безопасности труда и производственной санитарии инженерно-техническими работниками-мастерами, прорабами, начальниками строй участков и других по списку вышестоящих организаций проводит не реже одного раза в год комиссия вышестоящей организации. Рабочие, инженерно-технические работники и служащие должны обеспечивать спецодеждой, спец обувью и другими средствами индивидуальной защиты согласно ГОСТ 12.4.011–89 номенклатуры специальной одежды, специальной обуви и других средств индивидуальной защиты. Рабочие и линейные инженерно-технические рабочие, занятые на работах с вредными и опасными условиями труда, должны проходить медицинский осмотр в порядке и срока, установленные 'Минздравом.
О каждом несчастном случае на стройке пострадавший или свидетель должен немедленно известить мастера, начальника участка или руководителя работ.
Контроль за своевременным и правильным расследованием и устранением причин по несчастным случаям осуществляют внестоящие организации, построечные комитеты профсоюзов, общественные инструкторы по охране труда, технические инспектора профсоюзов, органы госгортехнадзора и энергонадзора.
При производстве работ соблюдать правила техники безопасности СНиП 12–03–2001, 12–04–2002 (в пределах действующих разделов) «Безопасность труда в строительстве».
Обратить внимание на следующие пункты:
1. При перемещении и подаче на рабочее место грузоподъемными кранами кирпича, керамических камней и мелких блоков следует применять поддоны, контейнеры и грузозахватные устройства, исключающие падение груза при подъеме.
2. Не допускается кладка наружных стен толщиной до 0,75 м в положении стоя на стене.
3. Не допускается кладка стен зданий последующего этажа без установки несущих конструкций междуэтажного перекрытия, а также площадок и маршей в лестничных клетках.
4. При кладке стен высотой более 7 м необходимо применять защитные козырьки по периметру здания, удовлетворяющие следующим требованиям:
ширина защитных козырьков должна быть не менее 1,5 м, и они должны быть установлены с уклоном к стене так, чтобы угол, образуемый между нижней частью стены здания и поверхностью козырька, был 110 градусов, а зазор между стеной здания и настилом козырька не превышал 50 мм;
защитные козырьки должны выдерживать равномерно распределенную снеговую нагрузку, установленную для данного климатического района, и сосредоточенную нагрузку не менее 1600 Н (160 кгс), приложенную в середине пролета; первый ряд защитных козырьков должен иметь сплошной настил на высоте не более 6 м от земли и сохраняться до полного окончания кладки стен, а второй ряд, изготовленный сплошным или из сетчатых материалов с ячейкой не более 50x50 мм, – устанавливаться на высоте 6–7 м над первым рядом, а затем по ходу кладки переставляться через каждые 6–7 м.
5.Рабочие, занятые на установке, очистке или снятии защитных козырьков, должны работать с предохранительными поясами. Ходить по козырькам, использовать их в качестве подмостей, а также складывать на них материалы не допускается.
6.Снимать временные крепления элементов карниза или облицовки стен допускается после достижения раствором прочности, ус танов ленной проектом.
7.В период естественного оттаивания и твердения раствора в каменных конструкциях, выполненных способом замораживания, следует установить постоянное наблюдение за ними. Пребывание в здании или сооружении лиц, не участвующих в мероприятиях по обеспечению устойчивости указанных конструкций, не допускается.
8. Обрабатывать естественные камни в пределах территории строительной площадки следует в специально выделенных местах, где не допускается нахождение лиц, не участвующих в данной работе.
Рабочие места, расположенные на расстоянии менее 3 м друг от друга, должны быть разделены защитными экранами.
В ходе работ каменщик сам постоянно следит за правильностью перевязки, толщиной и заполнением швов, горизонтальностью и вертикальностью углов, точностью размеров, правильным расположением каналов и т.д.
При приемке кладки особое внимание уделяют скрытым работам, которые закрываются последующими элементами кладки и других конструкций. К скрытым работам относятся устройство оснований и фундаментов, гидроизоляция кладки, укладка арматуры, установка закладных деталей, закрепление карнизов, положение различных конструкций и их заделка в кладке.
Скрытые работы контролируют и принимаются в процессе их выполнения. На каждый вид работ составляют акт, в котором оценивают качество, отмечают соответствие проекту и СНиПу. Производство последующих работ разрешается только после этого. Если при приемке выяснится, что отклонения превышают допуски, предусмотренные нормативами, или есть отступления от проекта, работа считается браком и подлежит исправлению. Отклонения поверхностей стен от вертикали, определяемые с помощью отвеса, не должны превышать для стен из кирпича, бетонных и других камней правильной формы 10 мм на этаж и 30 мм на все здание. Качество кладки и монтажа конструкций обеспечивается постоянным контролем.
Организация стройплощадки для ведения работ на ней должна обеспечить безопасность труда работающих на всех этапах выполнения строительных работ. Во избежание доступа посторонних лиц, опасные зоны должны быть ограждены защитными ограждениями и предупредительными знаками, удовлетворяющими требованиям ГОСТ 23407–48.
На всех стройплощадках, участках работ, рабочие места, проходы и проезды к ним в темное время суток должны быть освещены в соответствии и «Инструкцией по проектированию электрического освещения стройплощадок». Производство работ в неосвещенных местах не допускается. У въезда на стройплощадку устанавливают схему движения транспорта. Скорость движения по объекту и вблизи мест производства работ не должна превышать 10 км/час на прямых участках, и 0,5 км/час на поворотах. Проезды проходы и рабочие места необходимо очищать от грязи и не загромождать. Ширина проходов к рабочим местам и непосредственно на них должна быть не менее 0,6 м, а высота проходов не менее 1,8 м.
Погрузочно-разгрузочные работы выполняются в соответствии с ГОСТ 123002–75, ГОСТ 123009–76 и нормативно-технической документацией, утвержденной органами государственного надзора.
Для обеспечения безопасности условий труда при погрузочно-разгрузочных работах, необходимо в первую очередь максимально механизировать трудоемкие процессы, оснастить все пункты разгрузки вспомогательными грузоподъемными устройствами и приспособлениями, а также применять комплексную механизацию. Погрузочно-разгрузочные работы производятся под руководством административно-технического персонала. Площадка, на которой ведутся погрузочно-разгрузочные работы должна быть тщательно спланирована и в темное время суток освещена.
Запрещается поручать погрузочно-разгрузочные работы, обслуживание транспортных средств и средств малой механизации и переноску тяжестей подросткам в возрасте до 16 лет. Погрузку и разгрузку вручную разрешается производить только при небольшом объеме работ, причем масса груза переносимая одним человеком вручную не должна превышать:
от 16 лет до 18 лет для девушек – 10 кг
для юношей – 16 кг
старше 18 лет для женщин – 20 кг
для мужчин – 50 кг
Расстояние переноски груза не более 60 м и поднимать не более 3 м. Переносить материалы на носилках грузы по лестнице. Легковоспламеняющиеся жидкости переносят только в закрытой таре с исправными крышками.
Машины, изделия, приборы и оборудование при хранении укладывают следующим образом:
– кирпич на поддон в один ярус с проходами между ними 0,9 м
– фундаментные подушки и блоки в штабелях высотой не более 2,6 м на прокладках и подкладках.
– железобетонные перемычки и плиты перекрытия в штабелях до 2 м.
– нагревательные приборы в виде отдельных секций и всобранном виде в штабелях, высотой до 1 м.
– стекло в ящиках, а рулонный материал вертикально в один ряд на подкладках.
Складирование материалов должно осуществляться в соответствии с требованиями СНиП-2–80.
Все работающие на строительной площадке должны быть обеспечены монтажными касками, а рабочие верхолазы еще и монтажными поясами.
В проекте предусматриваться следующие мероприятия по охране окружающей среды: максимальное сохранение существующего ландшафта, деревьев, травяного покрова, восстановление земельного участка, озеленение участка, устройство организованного поверхностного стока атмосферных осадков, устройство специальных мест для сбора твердых отходов.
Система канализации принята и запроектирована с условием обеспечения мероприятий: исключающих загрязнение воздуха, почвы и водоемов.
5. Экономическая часть
5.1 Отраслевые особенности структуры строительного предприятия
Строительству во многом характерны черты промышленного производства, действующие в рыночных условиях.
В производственную структуру строительного предприятия входят основные, вспомогательные и обслуживающие предприятия или подразделения (участки, цехи, отделы).
К основным относятся предприятия, участки, выполняющие основные строительно-монтажные работы.
К вспомогательным – предприятия, цеха, участки, выполняющие вспомогательные, технологические работы (ремонтно-механические, работы по временному энерго-, тепло- и водоснабжению, канализации).
К обслуживающим относятся предприятия, хозяйства, отделы, оказывающие услуги (транспортные, по охране труда, контролю выполняемых строительно-монтажных работ).
Организационная структура строительного предприятиясостоит из отделов и служб, предназначенных для координации всей хозяйственной деятельности предприятия: создания системы менеджмента, разработки и осуществления управленческих, экономических и технологических решений по выполнению программы строительной организации. На современном этапе организационная структура имеет различные модификации, в зависимости от объемов строительно-монтажных работ, а также территориальной разбросанности строящихся объектов. Их различают по следующим признакам:
а) по характеру договорных отношений – генподрядные и субподрядные;
б) по виду выполняемых работ – общестроительные, выполняющие основные виды работ: земляные, бетонные, монтаж конструкций и т.д., и специализированные, выполняющие один или несколько видов однородных работ: отделочные, кровельные, сантехнические, электромонтажные, монтаж технологического оборудования и др.
Существуют строительные организации, специализированные по видам строительства – промышленного, жилищного, гражданского, транспортного, энергетического, сельскохозяйственного и др. Строительные организации городского и территориального типа производят работы в рамках города или региона. Федеральные строительно-монтажные организации являются специализированными и выполняют работы в различных регионах России.
5.2 Производственный потенциал строительных предприятий
Основные средства – это часть имущества строительной фирмы, используемая в качестве средств труда для материального производства, и также в непроизводственной сфере в течение периода, превышающего один год, и стоимостью более 100-кратного размера минимальной месячной оплаты труда (ММОТ). Основные фонды полностью или частично сохраняют свою натуральную форму за всё время службы, по частям перенося свою стоимость на производственную продукцию и возмещая из накопленного фонда амортизации.
Основные средства делятся на три части: нематериальные активы, объекты в материально-вещественной форме и финансовые активы.
К нематериальным активам относятся:
а) концессии, права по охране промышленной собственности (авторские свидетельства, патенты и т.п.), а также лицензии на такие права;
б) стоимость фирмы, которая также называется репутацией. Она определяется как разница между суммой, израсходованной на приобретение фирмы, и чистыми активами фирмы на момент её продажи.
Для производственной деятельности предприятиям необходимы основные средства
(средства труда); они многократно участвуют в производственном процессе, частями переносят свою стоимость на создаваемый продукт, не изменяя при этом своей вещественно-натуральной формы. К основным средствам относятся также: жилые здания и здания культурно-бытового назначения, хозяйственный инвентарь, вычислительная техника, взрослый рабочий и продуктивный скот, многолетние насаждения стоимостью более 50 минимальных заработных плат за единицу, срок службы которых превышает один год.
Объекты основных средств группируются в учете в соответствии с требованиями статистической отчетности на производственные и непроизводственные (последние по отраслям: здравоохранение, жилищно-коммунальные и т.п.), и далее по функциональным группам: здания, сооружения, рабочие машины и оборудование, силовые машины и т.д.
Амортизационные отчисления – это часть стоимости основных средств, которая в каждый отчетный период списывается как расходы на протяжении всего срока эксплуатации объекта.
Стоимость основных средств предприятий погашается путем начисления износа (амортизированной стоимости) и списания на издержки производства (обращения) в течение нормативного срока их полезного использования по нормам, утвержденным в установленном законодательством порядке.
В целях создания условий для ускорения внедрения в производство научно-технических достижений и повышения заинтересованности предприятий в ускорении обновления и техническом развитии активной части основных фондов предприятия имеютправо применять метод ускореннойамортизации активной части основных фондов.
Нормы амортизационных отчислений выражены в процентах к балансовой стоимости классификационных групп основных средств.
В теории и на практике выделяют два вида износа:
Физический износ – когда машины, приборы в процессе их эксплуатации физически изнашиваются, т.е. приходят в негодность. Износ происходит как от интенсивного их использования (первая форма износа), так и под воздействием сил природы, природных условий, независимо от того, используются они или нет (вторая форма износа). Под влиянием природных физико-химических и биологических процессов металлические части зданий, машин подвергаются окислению, деревянные – гниению. Резиновые изделия теряют эластичность и разрушаются.
Моральный износ – обесценивание и снижение эффективности их использования ещё до полного физического износа. Различают два вида:
– появление нового более совершенного оборудования;
– старые основные фонды обесцениваются из-за снижения издержек производство в отраслях, поставляющие основные фонды
Показатели использования основных фондов условно делятся на общие (стоимостные) и частные (натуральные).
К общим показателям относятся фондоотдача и фондоёмкость. Фондоотдача зависит от уровня производительности труда и фондовооруженности.
Показатели фондоотдачи (Фотд) определяется по формуле:
Фотд = Ссмр / Фп
Где: Ссмр – объём строительно-монтажных работ в руб.;
Фп – стоимость основных производственных фондов в руб.
По строящему объекту: Фотд = 396376.86 / 90000000 = 1.1
Показатель рентабельность даёт возможность определить эффективность использования основных фондов при сравнении результатов разных строительных организаций. Фондоотдача является стоимостным показателем, на него оказывают влияние макроэкономические факторы (инфляция, экономический кризис и т.п.), а также влияние использование основных фондов сторонних организаций в виде аренды, лизинга и т.д.
Показатель рентабельности основных фондов:
Фр = П / Фп
Где: Фр – рентабельность основных фондов в руб.;
П – прибыль организации в руб.;
Фп – стоимость основных производственных фондов в
Оборотными средствами называют часть капитала изменяющая свою натуральную вещественную форму и полностью переносящая свою стоимость на годовую продукцию в течении одного производственного цикла.
Под производственным циклом понимается промежуток времени от момента приобретения запасов до момента поступления денег от реализации продукции.
Основная задача оборотного капитала – обеспечить непрерывность, бесперебойность производственно-хозяйственной деятельности. Поэтому размер оборотного капитала предприятия, его составляющая структура должна обеспечивать выполнение этой задачи всё то время, пока из сырья делается продукция и продаётся в сфере обращения.
Оборотный капитал предприятия (в отличие от основного) совершая кругооборот, обслуживает и сферу производства, и сферу обращения. Из сферы обращения он переходит в сферу производства, а затем из сферы производства – вновь в сферу обращения. При этом натурально – вещественная форма оборотного капитала всё время меняется. В соответствии с выполняемыми функциями натурально – вещественный состав оборотного капитала подразделяется на оборотные производственные фонды и фонды обращения.
Собственные оборотные средства обеспечивают минимальную потребность в обеспечении нормальной и бесперебойной работы предприятия. Они формируются за счёт уставного капитала, прибыли, добавочного и резервного капитала.
Уставный капитал образуется за счёт денежных вкладов учредителей и имущества предприятия при его создании.
Добавочный капитал формируется за счёт переоценки основных фондов, безвозмездного поступления различных активов и продажи собственных ценных бумаг.
Резервный капитал образуется за счёт прибыли предприятия и предназначен для непредвиденных расходов.
К заёмным оборотным средствам относятся кредиты банков, кредиторская задолженность (по зарплате, перед бюджетом, в социальные фонды) и другие пассивы.
Оборотные средства делятся на нормированные и ненормированные. Величина нормируемых оборотных средств должна соответствовать реальному объёму производимой продукции.
Нормирование оборотных средств по незавершенному производству отражается в СМР, находящихся на разных стадиях строительства. Размер этого норматива зависит от продолжительности строительства, годовой программы работ, степени нарастания затрат и других факторов.
Нормирование оборотных средств на расходы будущих периодов учитывает остатки на начало года и расходы в текущем году за вычетом той части, которая списывается в текущем году на себестоимость СМР.
Коэффициент оборачиваемости определяется как отношение выручки от выполненных строительно-монтажных работ и реализации товаров и услуг к среднему остатку оборотных средств:
Коб = В: ОС
Где: В-выручка от СМР и реализации товаров и услуг;
ОС – среднегодовой остаток оборотных средств.
По строящему объекту: Коб = 85000000: 59000000 = 1.4.
Увеличение количества оборотов при неизменной выручке составляет средне – годовой остаток оборотных средств и высвобождает денежные актив предприятия.
Длительность одного оборота в днях определяется как отношение числа дней в текущем периоде к коэффициенту оборачиваемости:
Доб = Т: Коб
Где: Т – длительность текущего периода.
По строящему объекту: Доб = 360: 1.4 = 257.
Коэффициент загрузки оборотных средств определяется как отношение среднегодового остатка оборотных средств к выручке от СМР и реализации товаров и услуг:
Кз = ОС: В.
По строящему объекту: Кз = 59000000: 85000000 = 0,7.
Коэффициент загрузки оборотных средств является обратным показателем коэффициента оборачиваемости и определяет, какое количество оборотных средств необходимо на 1 рубль выполненного объёма работ и реализации товаров и услуг.
Оплата труда – это система отношений, связанных с обеспечением выплат работникам за их труд в соответствии с законами о труде, нормативными правовыми актами, коллективными договорами, соглашениями, локальными актами, трудовыми договорами.
Система оплаты труда служит для создания мотивации в увеличении выработки, повышения качества выполнения СМР, эффективности производства в целом.
Заработная плата – это прежде всего вознаграждение за трудовые показатели, в зависимости от квалификации работника, сложности, количества выполненной работы, условий труда, компенсационных и стимулирующих выплат за сложные, опасные и вредные условия.
Минимальный размер оплаты труда – это гарантируемый федеральным законом размер месячной заработной платы за труд неквалифицированного работника, полностью отработавшего норму рабочего времени при выполнении простых работ в нормальных условиях на рабочем месте.
В строительстве оплата труда организуется но основе:
1. Трудового кодекса РФ.
2. Отраслевого тарифного соглашения по строительству и промышленности строительных материалов РФ.
3. Методических рекомендаций по определению размера средств на оплату труда в договорных ценах и сметах на строительство и оплату труда работников строительно-монтажных и ремонтно-строительных организаций МДС 83–1.99, утвержденных Госстроем РФ.
4. Прочих нормативных актов.
Заработная плата как вознаграждение за труд может быть выдана как в денежном, так и в натуральном эквиваленте, она основывается на тарифной системе.
Тарифная система – совокупность нормативов, с помощью которых осуществляется дифференциация заработной платы работников разных категорий.
Тарифная ставка (оклад) – фиксированный размер оплаты труда работника за выполнение нормы труда (обязанностей) определенной сложности за единицу времени.
Тарификация работы – отнесение видов труда к тарифным разрядам в зависимости от сложности выполняемых работ.
Тарифный разряд – величина, отражающая сложность труда и квалификацию работника.
Квалификационный разряд – величина, отражающая уровень профессиональной подготовки работника.
Тарифная сетка – совокупность тарифных разрядов, определяемых в зависимости от сложности работ и квалификационных характеристик работников с помощью тарифных коэффициентов.
Тарифный коэффициент – это часовая тарифная ставка соответствующего разряда к часовой тарифной ставке первого разряда.
Для измерения производительности труда применяются три основных метода: стоимостной, натуральный и трудовой, которые различаются единицами измерения работы.
При стоимостном методе измерения производительности труда объем работы приводится в денежном исчислении.
Стоимостной метод позволяет сравнивать производительность труда работников разных профессий, квалификаций, например кондитера и повара, токаря и водителя. Достоинствами этого метода являются простота исчисления, возможность сравнения уровней продуктивности труда разных производств, а также определения его динамики в разные периоды времени. Но недостатком метода является влияние неценовых факторов: конъюнктуры рынка, инфляции, а также материалоемкости работы.
Натуральный метод измерения производительности труда применяется в случае производства (выпуска) однородной продукции. Объем работы в этом случае определяется с помощью натуральных измерителей, таких, как тонны, штуки, метры, литры и др. Уровень произведенных работ в натурально-вещественном измерении является наиболее объективным и достоверным показателем производительности труда. Посредством этого метода можно измерять и сравнивать производительность труда отдельных бригад и работников, планировать их численность, определять профессиональный и квалификационный состав, сопоставлять производительность труда разных предприятий.
Натуральный метод измерения производительности труда отличается простотой и наглядностью расчетов. Однако его использование ограничено: им нельзя пользоваться при расчетах производительности труда на тех участках, где производится или выпускается разнородная продукция, например машины и инструменты. Кроме того, он не учитывает изменение запасов незавершенного производства. По видам работ натуральный показатель выработки можно определить по формуле:
Вн = Vн.и.: Ч
Где: Вн – выработка рабочего в натуральных показателях;
Vн.и. – объём отдельного вида работ в натуральных измерениях (кубометр, погонные метры, квадратные метры);
Ч – численность рабочих по данному виду работ.
По строящему объекту:
Определение выработки в натуральном выражении – кирпичная кладка:
Vн.и = 2815: 75 = 37.5 
Вн = 37,5: 8 = 4,7
Разновидностью натурального методы является условно-натуральный метод, когда объем работы учитывается в условных единицах однородной продукции. Так, разные по емкости вагоны переводятся в двухосные, консервные банки разной емкости – в условные банки, а различная обувь – в условную пару. Пересчет в условные измерители производится, как правило, с помощью переводных единиц (коэффициентов).
Условно-натуральный метод расчета производительности труда удобен для применения, так как производство (продажу) многих разнообразных товаров (услуг) с помощью переводных коэффициентов можно привести в сопоставимый вид. Например, затраты на реализацию муки, хлеба и макаронных изделий можно выразить через коэффициенты пересчета в затраты на реализацию одного условного килограмма хлебобулочных изделий. Такой подход приближает условно-натуральный метод к трудовому методу, в основе которого лежит измерение объемов продукции с помощью условной трудоемкости производства продукции или продажи товаров.
Трудовой (нормативный) метод измерения производительности труда показывает соотношение фактических затрат труда на определенный объем работы с затратами труда, полагающимися по норме, т.е. он характеризует степень выполнения нормы выработки рабочим. Расчет производительности труда этим методом представляет собой объем работы с учетом нормативной трудоемкости (чел. ч), приходящийся на единицу фактически отработанного времени. При измерении производительности труда трудовым методом используются нормативы времени на производство единицы продукции или продажу единицы товара:
Пm=Om
Bф
где Пm – производительность труда, измеренная трудовым методом;
Оm – объем работы в единицах нормативного времени работы;
Вф – фактическое время работы.
Преимуществом трудового метода является возможность его применения ко всем видам работ и услуг. Но для широкого использования метода необходимы нормативы времени на каждый вид работы, которые имеются далеко не всегда и не везде. Этим методом нельзя пользоваться для расчета производительности труда работников, находящихся на повременной оплате труда, если в их трудовой деятельности не применяются нормы времени. В масштабах экономики страны общественная производительность труда измеряется валовым внутренним продуктом (ВВП), приходящимся на годовую среднесписочную численность работников, т.е. занятых в экономике.
Трудоёмкость – сумма затрат живого труда не производство единицы продукции. Затраты на всё производство делятся на объём выпущенной продукции за определённый период. Этот показатель не подвержен влиянию посторонних по отношению к данному строительству факторов. Поэтому фактическая трудоёмкость продукции более объективна, чем показатель стоимости выработки.
Технологическая трудоёмкость (Т1) определяется затратами труда основных рабочих-сдельщиков и повременщиков. Она рассчитывается по производственным операциям, деталям, узлам и готовым изделиям.
Трудоёмкость обслуживания (Т2) – это затраты труда вспомогательных рабочих основных цехов и всех рабочих вспомогательных цехов и подразделений, занятых обслуживанием строительного производства. Расчёт производится по каждой операции, изделию либо пропорционально технологической трудоёмкости изделия или работ.
Производственная трудоёмкость (Т3) – это затраты труда основных и вспомогательных рабочих на выполнение единицы работ.
Трудоёмкость управления (Т4) складывается из затрат труда руководителей, специалистов, служащих. Часть этих затрат непосредственно связана с
изготовлением изделий, прямо относится на трудоёмкость этих изделий, другая часть затрат, которая непосредственно не связана с изготовлением изделий, относятся к ним пропорционально производственной трудоёмкости.
Полная трудоёмкость продукции включает затраты труда всех категорий работников, (в человеко-часах), определяется по формуле:
Т = Т1 +Т2 +Т3 + Т4.
По строящему объекту:
Т – берём из календарного графика.
2847 8 =25623
5.3 Структура сметной стоимости строительства
Сметная стоимость строительства по методам расчёта и экономическому содержанию, входящая в локальные сметы, состоит из прямых затрат, накладных расходов и сметной прибыли (плановых накоплений).
Прямые затраты включают: заработную плату рабочих; стоимость материалов, деталей, конструкций; расходы на эксплуатацию строительных машин и механизмов.
Заработную плату рабочих в условиях рыночной экономики заказчик и подрядчик определяют в составе договорных цен на строительную продукцию (работы, услуги). Расчёт средств на оплату труда зависит от метода определения сметной стоимости строительства и наличия исходной информации по конкретному строительному предприятию.
Стоимость материальных ресурсов определяется с учётом данных норматив – ной потребности материалов, изделий и конструкций, а также соответствующей цены на вид материальных ресурсов.
Нормативная потребность в материальных ресурсах определяется путём расчёта ресурсных показателей в локальных сметах и по проектным материалам.
Нормативная потребность в строительных машинах и механизмах определяется:
– на основе локальной сметы на строящийся объект;
– по данным Проекта организации строительства;
– по данным Проекта производства строительных работ.
Накладные расходы предусматриваются для покрытия расходов на управление и хозяйственное обслуживание строительно-монтажных работ и обеспечение условий для функционирования процесса строительного производства.
Сметная себестоимость СМР определяется проектной организацией по нормам и текущим ценам на момент расчёта. Сметная себестоимость является основным показателем, по которому налоговая инспекция контролирует прибыльность договора подряда строительной организации, и является основой для расчёта плановой себестоимости СМР.
Плановая себестоимость СМР должна быть меньше сметной за счёт применения более дешёвых строительных материалов, прогрессивных строительных конструкций и изделий, а также более производительной техники, усовершенствованной технологии и т.п.
Фактическая себестоимость СМР – это сумма затрат, производимых конкретной строительной организацией в ходе выполнения заданного комплекса работ в сложившихся условиях производства.
Фактическая себестоимость СМР позволяет определить фактические финансовые результаты деятельности строительной организации и её подразделений.
Снижение затрат достигается путём экономии всех видов ресурсов, потребляемых в производстве и при проведении СМР.
Снижение трудоёмкости СМР, рост производительности труда и сокращение численности административно-управленческого персонала – одна из актуальных задач снижения затрат производства. Это можно осуществлять за счёт механизации производства, разработки и применения прогрессивных, высокопроизводительных технологий, замены и модернизации устаревших строительных машин и механизмов, их более эффективного использования.
Экономия материальных ресурсов и их рациональное использование имеет большое значение. Это достигается за счёт ресурсосберегающих технологий, рационального снабжения и хранения материальных ресурсов. Необходимо осуществлять входной контроль за качеством поступающих от поставщиков сырья и материалов, конструкций и изделий.
Снижение затрат на строительство и производство может осуществляться за счёт оптимизации величины партии закупаемых материалов, особенно в условиях инфляции или сезонности работ; реорганизации управления строительным производством; выбора рациональных темпов и сроков строительства; оптимизации номенклатуры выпуска продукции и типов работ; диверсификации производства; применения эффективного маркетинга; сокращения накладных расходов; сокращения отходов и потерь; ликвидации брака; оптимизации применения факторов производства и т.п.
5.5 Сметная прибыль, рентабельность
Сметная прибыль (плановые накопления) – это средства для покрытия расходов строительных организаций, не проходящих по статьям прямых затрат и накладных расходов, а именно: плата за кредиты банка; затраты на развитие производства, модернизацию и рекомендацию основных фондов; частичное пополнение собственных оборотных средств; затраты на уплату налога на прибыль; затраты на материальное стимулирование работников; затраты на оказания материальной помощи; затраты на развитие социальной сферы, содержание объектов и учреждений здравоохранения, культуры, спорта, детских лагерей отдыха, жилищного фонда и других объектов непроизводственного назначения; расходы на организацию помощи и бесплатных услуг учебным заведениям и др.
Общеотраслевой норматив сметной прибыли составляет 65% к величине средств на оплату труда рабочих-строителей и механизаторов или 8% от общей суммы сметной стоимости строительства. В тех случаях, когда условия производства работ отличаются от принятых в усредненных нормативах, а прибыль не покрывает расходы строительной организации, не проходящих по статьям прямых затрат и накладных расходов, по согласованию с заказчиком, рекомендуется разрабатывать индивидуальный норматив сметной прибыли.
Для оценки уровня эффективности работы строительной организации и для сравнения его м другими предприятиями отросли определяют показатели рентабельности.
Сметный уровень рентабельности рассчитывается как отношение сметной прибыли (плановых накоплений) к сметной стоимости объекта строительства.
Плановый уровень рентабельности определяется как отношение плановой прибыли к договорной цене объекта.
Фактический уровень рентабельности определяется по окончании строительства объекта и завершения денежных расчётов с заказчиком, который рассчитывается как отношение фактической прибыли к фактическим затратам на строительство объекта.
На рентабельность строительной организации влияют многие факторы, такие как: увеличение объёмов работ, ценообразование, инфляция, научно-технический процесс, организация работ, управление производством, экономия материальных ресурсов и многие другие.
При сокращении продолжительности строительства и досрочной сдаче объекта в эксплуатацию создаётся дополнительный экономический эффект. Он создаётся в сфере заказчика за счёт выпуска дополнительной продукции за период сокращения строительства. Этот эффект в зависимости от имеющейся информации может быть определён по формулам:
Сокращения монтажа:
 ( – ) / 360
Где: – нормативный коэффициент экономической эффективности (для строительства );
- сметная стоимость работ, руб.;
360 – число дней в году, дн.
= 0,17 47614382 (247 – 201) /360 = 1034290 руб.
Экономия условно-постоянной части накладных расходов при уменьшении сроков работ:
= 0,5 НР (1 – / )
Где: 0,5 – доля условно-постоянной части накладных расходов;
НР – накладные расходы (из локальной сметы), руб.;
– продолжительность работ по сетевому графику, дн.;
– продолжительность работ по календарному графику, дн.
= 0,5 71347.8 (1 – 201 / 247) = 6643.72
Общая экономия составит:
= + = 1034290+ 6643.72= 1040933.72 руб.
Инновации и инвестирование на предприятиях СМР.
Инновация – процесс введения изменений в систему производства для изменения рыночного опроса на продукцию на основе новых технических решений.
Инновационный процесс не может обойтись без инвестиций. В самом общем виде инвестиции определяются как денежные средства, банковские вклады, вклады и другие ценные бумаги, технологии, машины, в том числе на товарные знаки, кредиты, любое другое имущество или имущественные права, интеллектуальные ценности, вкладываемые в объекты предпринимательской деятельности в целях получения прибыли (дохода) и достижения социального эффекта.
По финансовому определению инвестиции – это все виды активов (средств), вкладываемых в хозяйственную деятельность в целях получения дохода.
Экономическое определения инвестиции трактуется как расходы на создание, расширение, реконструкцию и техническое перевооружение основного капитала и связанного с ним оборотного капитала.
Сущность инвестиций включает сочетание затрат и результатов. Если затраты ресурсов (инвестиций) не приводят к желаемому результату, то они становятся бесполезными.
– Венчурный капитал представляет собой инвестиции в форме выпуска новых акций, произведённых в новых сферах деятельности, связанных с большим риском венчурный капитал инвестируется в не связанные между собой проекты расчёте на быструю окупаемость вложенных средств.
– Прямые инвестиции – это вложение в капитал хозяйственного субъекта с целью извлечения дохода и получения на участие в управление предприятием.
– инвестиции – связаны с формированием (совокупность, разность инвестиционных ценностей) и представляет собой приобретение ценных бумаг и других активов.
Ценообразование
1 Оплата труда рабочих строителей: 14588.9 x 18.85 = 275000.8
2 Эксплуатация машин: 5434 x 0.37 = 2010.58
3 Оплата труда машинистов: 1853.7 x 18.85 = 34942.2
4 Стоимость материалов: 23782.03
5 Средства на оплату труда: 23782.03 + 34942.2 = 58724.23
6 Прямые затраты: = 71396.41 x0.02 + 71396.41 x 0.12 + 71396.41 = 81391.9
7 Накладные расходы: 81391.9 x 0.18 = 14650.5
8 Сметная стоимость: 104044.2
9 НДС – 20%: 104044.2 x 0.20 = 20808.8
10 Сметная стоимость с учетом НДС: 104044.2 – 20808.8 = 83235.4
11 Прибыль: 83235.4 x 0.08 = 6658.8
12 Договорная цена 83235.4 + 6658.8 = 89894.2
13 Налог на прибыль:
Согласно ст. 284 НК РФ основная ставка налога составляет 24%, из них:
7,5%(6742.4) – федеральный бюджет;
14,5%(13034.7) – субъект РФ;
2%(1797.9) – местный бюджет.
При этом субъекту РФ дано право уменьшать ставку на 4%.
С 01.01.2004 г. налог перераспределяется между бюджетами в следующем порядке:
5%(4494.7) – федеральный бюджет;
17%(15282) – субъект РФ;
2%(1797.9) – местный бюджет.
Литература
1. СНиП П-25–80 «Деревянные конструкции».
2. СНиП 2.02.01–83 «Основания зданий и сооружений».
3. СНиП 2.03.01–84 «Бетонные и железобетонные конструкции».
4. СНиП 2.01.07–85 «Нагрузки и воздействия».
5. Правила выполнения архитектурно-строительных чертежей ГОСТ 21501–93.
6. Цая Т.Н. «Строительные конструкции», том 1.
7. Цая Т.Н. «Строительные конструкции», том 2.
8. Куваддин А.Н. «Примеры расчета железобетонных конструкций зданий».
9. Строительный каталог, часть 3. Типовая документация на конструкции, изделия и узлы зданий и сооружений.
10. Общесоюзный каталог материалов конструкций. Сборник 3.01–15
11. Ломакин В.А. «Технология и организация строительного производства».
12. Смирнов Н.А. «Технология строительного производства».
13. Добронравов С.С. «Строительные машины и механизмы».
14. ГОСТ 21.508–89 «Генеральные планы».
15. СНиП 2.08.01–85 «Жилые здания».
16. Сборник железобетонных конструкций 3.01–22
17. Шерешевский И.А. «Конструирование гражданских зданий».
18. Неелов В.А. «Гражданские здания».
|